ISSN (impreso) 0121–5167 / ISSN (en línea) 2462–8433
SECCIÓN GENERAL
Juan Carlos Escobar Escobar1 (Colombia)
Felipe Nieto Palacio2 (Colombia)
Sofía Bernal Giraldo3 (Colombia)
Juan Camilo Rengifo López4 (Colombia)
1 Sociólogo. Magíster en Ciencia Política. Doctor en Ciencias Sociales y Humanas. Grupo Estudios Políticos, Instituto de Estudios Políticos, Universidad de Antioquia UdeA. Calle 70 No. 52–21, Medellín, Colombia. Correo electrónico: juan.escobare@udea.edu.co – Orcid 0000–0002–1073–0109 – Google Scholar https://scholar.google.com/citations?hl=es&user=WdvMZDgAAAAJ
2 Politólogo. Magíster en Gobierno y Políticas Públicas. Jefe del Pregrado en Ciencias Políticas y de la Maestría en Gobierno y Políticas Públicas, Escuela de Finanzas, Economía y Gobierno, Universidad EAFIT. Correo electrónico: fnietop@eafit.edu.co – Orcid 0000–0002–8043–9747 – Google Scholar https://scholar.google.com/citations?hl=es&user=ZqxdrMwAAAAJ
3 Politóloga. Responsable del componente Mujeres, participación y representación política, Corporación para la Vida Mujeres que Crean. Correo electrónico: sofia.bernalg@udea.edu.co – Orcid 0009–0002–5734–2581
4 Economista. Especialista en Medio Ambiente y Geoinformática. Magíster en Estudios Urbano Regionales. Profesor ocasional de la Escuela de Planeación Urbano Regional, Facultad de Arquitectura, Universidad Nacional de Colombia, Sede Medellín. Correo electrónico: juanc.rengifo@udea.edu.co – Orcid 0000–0002–4920–5707 – Google Scholar https://scholar.google.com/citations?hl=es&user=w6c05jkAAAAJ
Fecha de recepción: abril de 2025
Fecha de aprobación: agosto de 2025
Cómo citar este artículo: Escobar Escobar, Juan Carlos; Nieto Palacio, Felipe; Bernal Giraldo, Sofía y Rengifo López, Juan Camilo. (2025). La representación política de las mujeres en Urabá, Antioquia. Un estudio sobre las brechas de género en el poder local. Estudios Políticos (Universidad de Antioquia), 74. https://doi.org/10.17533/udea.espo.n74a06
Resumen
La participación y representación política de las mujeres ha sido un objeto de reciente interés en la ciencia política, especialmente, en el ámbito nacional. Sin embargo, aún persisten vacíos para describir y explicar los factores asociados a la participación y representación de las mujeres en cargos de poder en el ámbito subnacional. En ese sentido, este trabajo busca analizar la representación política de las mujeres en los once municipios de la subregión del Urabá antioqueño. Para ello, primero se presentan los niveles de representación descriptiva de las mujeres para las elecciones de Concejo entre 2003 y 2023; y segundo, se plantean algunos factores que permiten explicar este fenómeno. A través de un modelo de regresión de panel de datos se concluye que la dimensión económica, la población urbana y el conflicto armado inciden en la representación política de las mujeres. Este trabajo es relevante porque contribuye con el fortalecimiento de los estudios subnacionales de la política, especialmente en temas asociados con la visibilización de brechas de género en la democracia local.
Palabras clave: Participación Política; Representación de las Mujeres; Elecciones; Política Subnacional; Conflicto Armado; Colombia.
Abstract
Women's political participation and representation has been an object of recent interest in Political Science, especially at the national level. However, there are still gaps to describe and explain the factors associated with women's participation in positions of power at the subnational level. In this sense, this paper seeks to analyze the political representation of women in the eleven municipalities of the Urabá sub–region in the department of Antioquia. To this end, first, the levels of descriptive representation of women in council elections between 2003 and 2023 are presented. Secondly, some factors are proposed to explain this phenomenon. Through a panel data regression model, it is concluded that the economic dimension, the urban population and the armed conflict have an impact on women's political representation. This work is relevant because it contributes to the strengthening of subnational political studies, especially on issues associated with the reduction of gender gaps in local democracy.
Keywords: Political Participation; Women's Representation; Elections; Sub–National Politics; Armed Conflict; Colombia.
Introducción
La participación de las mujeres en la política aún revela desafíos evidentes de cara a cumplir con los principios democráticos que consagran la igualdad de género y la inclusión de las mujeres en la toma de decisiones públicas. Este fenómeno ha sido un objeto de estudio recurrente en la ciencia política. En el caso colombiano, algunos trabajos han abordado la participación política de las mujeres, especialmente, en el ámbito nacional, desde diferentes miradas como las candidaturas, el rol de los partidos, el sistema electoral, las condiciones socioeconómicas, la representación descriptiva, entre otras (Bernal, 2011; Wills y Cardozo, 2010; Pachón, Peña y Wills, 2012; Tula, 2015; Batlle, 2017; 2018). En el ámbito departamental se resaltan aportes como el de la construcción del Índice de Representación Femenina Política Departamental (IRFED), el cual permite analizar los factores regionales e institucionales que inciden en la representación (Moreno y Cuenca, 2024).
Sin embargo, en el ámbito subnacional, escenario en el que se presentan mayores barreras para la participación y representación de las mujeres en política (Bernal, 2006; Massolo, 2007; Batlle, 2018; Camacho, 2016; Lesmes, 2018; Álvarez y Valencia, 2018; Calderón, 2022), se requieren mayores esfuerzos que permitan identificar cómo se expresan estas prácticas en el ámbito territorial y qué factores inciden en la inclusión de las mujeres en los escenarios formales de poder.
En ese sentido, este artículo tiene como objetivo analizar los niveles de representación política de las mujeres en el ámbito subnacional, usando como unidades de observación los once municipios de la subregión de Urabá en el departamento de Antioquia. Para ello, se presentan primero los niveles de representación descriptiva para las elecciones de Concejo entre 2003 y 2023, lo que permite describir la participación en política de las mujeres e identificar los cambios que se han presentado en el territorio; y segundo, se exploran algunos factores que permiten explicar la representación efectiva de las mujeres en la subregión de Urabá.
Los resultados demuestran que variables como el crecimiento económico, la población urbana y el conflicto armado son factores que permiten explicar el nivel de representación descriptiva de las mujeres en los Concejos de los municipios del Urabá antioqueño. El argumento explicativo radica en que poblaciones con mayores ingresos acceden con mayor facilidad a bienes y servicios, y cuentan con más información y tiempo para participar en política, lo que se traduce en niveles más altos de participación y representación de mujeres en espacios de decisión. A su vez, una mayor intensidad del conflicto armado incide negativamente en la garantía de los derechos políticos de las mujeres, toda vez que se exacerban los modelos patriarcales de dominación y se agudizan las situaciones de desigualdad hacia ellas, impidiendo así que ocupen de manera más igualitaria los cargos de poder.
Estudiar la participación política de las mujeres en este territorio es relevante por dos razones fundamentales: primero, porque los procesos de dinamización económica, centrados en la industria bananera, fueron claves para la configuración de una región que estuvo marcada por el desarrollo del conflicto (García, 2004); y segundo, porque aún se presentan niveles bajos de participación y representación de las mujeres en el ámbito local, a pesar de que las dinámicas electorales y partidistas evidencian que en Urabá, desde la década de 1990, incursionaron terceras fuerzas o movimientos políticos regionales que dispersaron las votaciones y la competencia electoral (Bedoya y Botero, 2014), y que en las últimas elecciones presidenciales se han identificado significativos apoyos electorales por expresiones alternativas o de izquierda.
Es importante aclarar que este artículo parte de la premisa de que si bien la propia presencia de las mujeres en cargos de elección popular, la denominada «representación descriptiva», no genera una mayor representación del colectivo ni necesariamente mayor igualdad sustantiva (Bernal, 2011), su estudio es un primer paso para visibilizar a las mujeres en los espacios de toma de decisiones locales, aportando a las discusiones sobre la democracia, la reducción de brechas de género y la eficiencia de los mecanismos institucionales del sistema electoral colombiano.
En ese sentido, situarse desde una perspectiva de género implica que reconocer que la participación y la representación política no son neutras, pues están atravesadas por relaciones de poder que reproducen desigualdades entre sexos, de tal modo que es necesario visibilizar brechas en el acceso al poder y considerar variables no observables que afectan las condiciones de las mujeres.
1. Urabá: un territorio estratégico con problemas no resueltos
1.1 Algunas características socioeconómicas del Urabá antioqueño
Urabá es una de las nueve subregiones del departamento de Antioquia y está conformada por 11 municipios: Apartadó, Arboletes, Carepa, Chigorodó, Murindó, Mutatá, Necoclí, San Juan de Urabá, San Pedro de Urabá, Turbo y Vigía del Fuerte. Estos reúnen 533 926 habitantes, 7,9% de la población total de Antioquia. La población de Urabá se encuentra concentrada en pocos municipios, donde Turbo y Apartadó albergan más del 55%. En 2020, Urabá contribuyó al 6,2% del PIB departamental, el tercer lugar en Antioquia, y cada vez es más relevante la economía de Urabá para el departamento y el país (DANE, 2020, septiembre). Asimismo, el estudio socioeconómico de la Cámara de Comercio de Urabá de 2021 muestra más de 12 000 unidades empresariales en el territorio (Cámara de Comercio de Urabá, 2022, p. 23).
Pese a lo anterior, la población de Urabá es una de las de menor calidad de vida: 53,18% de las personas en el Urabá antioqueño vive con necesidades básicas insatisfechas. La región tiene 26,6% de pobreza multidimensional y ocupa el segundo lugar en ese indicador entre las 9 subregiones de Antioquia, sólo superada por Bajo Cauca, con 28,5% (DANE, 2020, septiembre). Urabá tiene la tasa de desempleo más alta de todas las regiones de Antioquia, con 12,8% en 2020, y una tasa de informalidad de aproximadamente 41% para el mismo año (Gobernación de Antioquia, 2022).
Estas necesidades insatisfechas y la presencia histórica de distintos actores armados en disputa hacen que Urabá se enfrente constantemente a problemas de violencia y desplazamiento, factores que dificultan su desarrollo. Es así como de los ocho focos territoriales con mayor presencia de grupos armados ilegales en Colombia, con tránsitos constantes y violencias que afectan a las comunidades a su paso, dos involucran a Urabá: el que conecta al norte de Antioquia, sur de Córdoba y sur de Bolívar, y el que conecta al Urabá antioqueño, chocoano y Pacífico chocoano (Indepaz, 2022, pp. 28–29). En estos corredores las comunidades sobreviven a las Autodefensas Gaitanistas de Colombia (AGC), a estructuras pos Fuerzas Armadas Revolucionarias de Colombia–Ejército del Pueblo (FARC–EP), al Ejército de Liberación Nacional (ELN), al grupo narcoparamilitar de Los Caparros, entre otros grupos armados y bandas delincuenciales. A ello se suma la presencia de la Fuerza Pública en respuesta a la alta criminalidad (Indepaz, 2022).
Otra problemática que enfrenta Urabá es la migración. Aquí es clave diferenciar dos fenómenos. De un lado, por su cercanía con el tapón del Darién es una zona que históricamente ha sido una barrera natural para el tránsito migratorio entre Centro y Suramérica, el cual se ha configurado en un escenario de conflictos económicos y socioambientales, puesto que es uno de los principales caminos usados por migrantes para llegar a Estados Unidos. Este fenómeno migratorio se diferencia de la diáspora venezolana observada en los últimos años en el país (Observatorio Nacional de Migración y Salud, 2021), que para mayo de 2022 y de acuerdo con los prerrequisitos del Estatuto Temporal de Protección realizados por Migración Colombia para estos ciudadanos se evidenció que de las 340 231 inscripciones en Antioquia gran parte se concentran en Apartadó (5606), Turbo (3138) y Chigorodó (1504), seguidos de Carepa, Necoclí, Mutatá y Arboletes.
De otro lado, según datos de Migración Colombia (2022), en el primer semestre de 2021 se registraron 16 742 migrantes en Urabá provenientes de 33 países. El problema asociado al fenómeno migratorio en Urabá se complejiza considerando factores como las condiciones geográficas, la situación de frontera y la presencia de grupos armados legales e ilegales.
1.2 La persistente disputa electoral y armada en Urabá
La dinámica político electoral de Urabá durante el siglo xx no se correspondió con los procesos de división bipartidista que se vivieron en el resto del país. Al contrario, la característica principal de la región ha sido ser terreno fértil para el largo dominio del liberalismo o para la presencia de disidencias del oficialismo y los sectores de oposición, e igualmente, para la acción de masas de las agrupaciones guerrilleras. En el siglo xx Urabá fue un bastión de la oposición legal e ilegal. Ese ethos alternativo y radical es explicado por María Teresa Uribe de Hincapié (2023, p. 227), para quien este territorio ha tenido una débil articulación con la vida económica e institucional de la nación.
La lucha agraria de las primeras décadas tuvo también un importante influjo en esa característica disidente de Urabá. Quizás no de forma directa, pero sí en los territorios cordobeses que circundan Urabá, las experiencias socialistas por la distribución de la tierra de Vicente Adamo y Juana Julia Guzmán, lideresa afro indígena por el derecho a la tierra durante la década de 1920 en Montería (Patiño, 2023), fueron importantes en la configuración del ethos mencionado. Estas experiencias no tuvieron la fuerza necesaria y desaparecieron pronto, pero «quedó el fermento de la inconformidad que luego [se] alimentaron con las ideas de Jorge Eliecer Gaitán» (Negrete, 1991, p. 42).
En efecto, Urabá, que había votado Liberal desde la década de 1930, después apoyó a Gaitán y en pleno funcionamiento del Frente Nacional apoyó al Movimiento Revolucionario Liberal (MRL), disidencia del liberalismo encabezada por Alfonso López Pumarejo, y a la Alianza Nacional Popular (Anapo), partido que conformado en la década de 1960 por el general Gustavo Rojas Pinilla.
En la década de 1970, en Urabá se evidenciaron apoyos a alternativas de izquierda y frentes populares comunistas. La máxima expresión de ese apoyo fueron los buenos resultados de la Unión Patriótica en 1986, pues en las elecciones de ese año este partido fue el que obtuvo más votos en Apartadó y Mutatá, y siguió de cerca al Partido Liberal en Turbo, Chigorodó y Murindó (Uribe de Hincapié, 2023).
La década de 1980 estuvo marcada por dos fenómenos importantes para la vida política de la región: de un lado, y como en el resto del país, Urabá asistió a un pluralismo político caracterizado por el ascenso de los partidos alternativos, la legalización e inserción en la vida civil de algunas organizaciones guerrilleras y paramilitares, y la consolidación de organizaciones cívicas y ciudadanas; de otro lado, Urabá vivió el recrudecimiento del conflicto armado que por décadas había acompañado a la región. Los procesos de dinamización económica, centrados en la industria bananera, y la ya mencionada exclusión histórica del territorio, fueron claves para la configuración de una región que estuvo marcada por el desarrollo del conflicto (García, 2004). Desde 1980, el Ejército Popular de Liberación (EPL), que controlaba el norte de la región, y las FARC–EP, que ejercía dominio en el sur, se disputaron el territorio en una lucha que se vinculó con las estructuras sindicales de la zona.
Pero la dinámica de ingreso de nuevos actores políticos en el escenario electoral y el recrudecimiento de la guerra en el territorio generaron al principio dos hechos que ejemplifican la paradoja de la política colombiana: una democracia electoral estable que se ha desarrollado en medio de niveles significativos de violencia homicida (Gutiérrez, 2014). En Urabá, los buenos resultados electorales de opciones distintas al liberalismo desde principios de la década de 1980, especialmente de opciones de izquierda, fue contrarrestada por una creciente criminalización de la política, situación que tuvo su pico justo al final de esa misma década. Entre 1988 y 1989 fueron asesinados, además de otros actores políticos y sindicales de la región, nueve concejales; además, el alcalde electo de Apartadó para el periodo 1988–1990, adscrito a la Unión Patriótica, debió salir de la región por amenazas contra su vida (Consejería presidencial para la Reconciliación, Normalización y Rehabilitación, 1991 citado en Uribe de Hincapié, 2023). Es importante señalar también que en febrero de 1990 la alcaldesa recién electa de Apartadó, Diana Cardona Saldarriaga, perteneciente al partido Unión Patriótica, fue asesinada en Medellín.
Lo anterior coincide con la presencia en la región desde finales de 1980 de los grupos paramilitares —Autodefensas Campesinas de Urabá y Córdoba— y el proceso de desmovilización del EPL en la década de 1990. Durante esa década, Urabá fue el escenario de una fuerte confrontación entre la izquierda armada y no armada, y entre el Estado y las guerrillas, a lo que se sumó el accionar contrainsurgente de los paramilitares (García y Aramburo, 2011). Con la desmovilización de los grupos paramilitares entre 2004 y 2006, el conflicto se transformó en otras expresiones armadas, como es el caso del Clan del Golfo, estructura heredera del accionar paramilitar que se dedica a actividades delictivas en la región.
Recientemente, partidos surgidos del tronco común de los partidos tradicionales, como el Partido de la U y Cambio Radical, han adquirido una mayor fuerza electoral en la región. A esto se le suma que en las últimas elecciones presidenciales se identificaron importantes apoyos electorales por alternativas de izquierda, como el Movimiento Colombia Humana, liderada por Gustavo Petro, que movilizó electores en municipios como Apartadó, Chigorodó y Turbo en 2018. En la primera vuelta de las elecciones presidenciales de 2022 esta tendencia se mantuvo y el Pacto Histórico, la coalición que avaló esta vez la candidatura de Gustavo Petro, ganó en 9 de los 11 municipios, perdiendo sólo en San Pedro de Urabá con Federico Gutiérrez y en Dabeiba con Rodolfo Hernández. En la segunda vuelta, Petro ganó holgadamente en 7 municipios, superando lo hecho en la misma instancia en 2018, en la que ganó en 4 municipios (Registraduría Nacional del Estado Civil, s. f.). Esta tendencia en lo nacional muestra una especie de «fortín» del petrismo en Urabá en las dos últimas elecciones presidenciales que ha mostrado dificultades para mantenerse en la disputa por el poder subnacional.
Por otro lado, si se analiza con enfoque de género los resultados electorales en esta subregión, se puede encontrar que en las últimas 6 elecciones locales la presencia de mujeres en los Concejos ha sido muy baja, tanto en municipios con un distrito electoral grande —17 curules— como lo es Apartadó —sólo ha tenido 10 concejalas en los últimos 6 eventos electorales—, así como en distritos electorales pequeños como Vigía del Fuerte, que cuenta con 9 curules y en las mismas 6 elecciones sólo han llegado 4 mujeres al Concejo. Los municipios de Carepa y San Pedro de Urabá son las excepciones a la regla. En ambos municipios —con 13 escaños cada uno— 22 mujeres han obtenido curul en el periodo mencionado (Registraduría Nacional del Estado Civil, s. f.).
En este escenario marcado por confrontaciones armadas persistentes y necesidades sociales no satisfechas que tienen un peso significativo sobre las mujeres, y una disputa partidista poco proclive a incentivar liderazgos femeninos, se han afectado las posibilidades de las mujeres para ingresar a la vida política electoral y más aún para ocupar cargos de representación en Urabá, como se verá más adelante.
2. Marco teórico
Dado que este artículo se propone cuantificar la cantidad de mujeres que tuvieron éxito en la competencia electoral al Concejo entre 2003 y 2023 en los once municipios de la subregión de Urabá, y explorar algunos factores del contexto que afectan su llegada a estas instancias, las variables y propuestas desarrolladas aportan a las discusiones sobre la representación política, en este caso, de las mujeres. Por ende, es necesario desarrollar un marco teórico conceptual que delimite cómo se entienden y relacionan las variables presentadas.
2.1 La representación y la participación política feminista
Diversas corrientes teóricas coinciden en que existen distintas concepciones de la representación política. En ese marco, Hanna Pitkin (citada en Escobar Solís, 2014) distingue al menos tres modalidades: la descriptiva, la sustantiva y la simbólica. La representación descriptiva se basa en la similitud demográfica o identitaria entre quien representa y a quienes se representa. Se prioriza que el o la representante compartan características sociales con el grupo que representan a través de atributos como el género, etnia, clase, entre otros. En este sentido, se alude a la incorporación de miembros de un grupo social a un espacio de toma de decisión, en términos cuantitativos. Por otro lado, la representación sustantiva se centra en las acciones, decisiones y agendas que el o la representante promuevan a favor de los intereses o necesidades de las o los representados. Por último, la representación simbólica atiende a los valores que el o la representante evoca en sus electores, esta dimensión se centra en reforzar la identidad colectiva a través de los símbolos, narrativas y prácticas, generando una legitimidad a través de la identificación emocional, más que por resultados concretos. Por su parte, Raquel Pastor (2019) define la dimensión descriptiva de la representación política como el grado en que las instancias de representación reproducen las características sociales de la población que representan, como en este caso, el sexo. La dimensión sustantiva alude a la capacidad de los representantes para incorporar de manera efectiva los intereses de quienes los eligieron dentro de los espacios de decisión política.
Ahora bien, la teoría política feminista parte del supuesto de que los diferentes grupos poblacionales, entre esos, las mujeres, no cuentan con las mismas condiciones para participar políticamente, aunque sean reconocidos como iguales y el sufragio sea reconocido como un derecho universal (Medina, 2010). Desde el feminismo institucional se amplía el concepto tradicional de participación política al reconocer, además de la elección de gobernantes y la incidencia en las políticas públicas, la acción colectiva y las prácticas cotidianas como formas legítimas de ejercer la política. Su apuesta no es que más mujeres lleguen a instancias de poder, sino cambiar las normas y mecanismos que reproducen la desigualdad de género, garantizar la paridad en la representación y romper con el monopolio del poder político masculino (Escobar Solís, 2014).
En ese sentido, este trabajo no busca exponer qué tanto las mujeres electas a los Concejos municipales de la subregión de Urabá en 2003–2023 representan a las demás mujeres de la subregión o defienden agendas de género, sino abordar cómo determinados factores socioeconómicos afectan la cantidad de mujeres electas entre periodos electorales. Por ende, la representación política será entendida en su dimensión descriptiva (Pitkin, 1985). Analizar la dimensión de la representación permite visibilizar la composición real de género en los Concejos municipales, evidenciar avances o retrocesos en la llegada de las mujeres a estos escenarios, y situar las brechas de género en política como una deuda pendiente de la democracia.
2.2 Factores socioeconómicos que condicionan la llegada de las mujeres a cargos de elección popular
Múltiples elementos del contexto influyen en la igualdad de recursos con los que cuentan los individuos para participar en la vida política. En esa línea, diferentes autoras han evidenciado cómo el desarrollo económico, el nivel educativo, el acceso a recursos o la ocupación, entre otros, impactan la participación política de las mujeres (Freidenberg y Garrido, 2021; Pachón, Peña y Wills, 2012; Alva, 2017).
Se sostiene que un mayor desarrollo económico de un territorio disminuye las tasas de pobreza y de desempleo, e incrementa la calidad de vida de vida de sus habitantes, y, por ende, afecta positivamente la participación política. Un menor desarrollo puede socavar la igualdad de oportunidades, limitar el acceso a servicios básicos y, por lo tanto, marginalizar ciertos grupos de la población.
Además, son amplias las discusiones que plantean la fuerte correlación que existe entre la educación y la participación política, pues a mayor nivel educativo se genera mayor conciencia cívica y se fortalece el apoyo a actividades democráticas, además, aumenta la percepción de beneficios de participar en la vida pública, las capacidades críticas para seleccionar a sus líderes y «hace que sea más fácil procesar información política compleja o superar barreras tecnológicas y burocráticas a la participación política» (Hidalgo y Robles, 2020, p. 205).
Si se analizan con una perspectiva de género factores como la educación, el tiempo disponible para invertir en política, el acceso al mercado laboral y los ingresos, es común encontrar grandes desigualdades entre las condiciones de hombres y mujeres: la autonomía financiera, los ingresos y el grado de escolaridad de las mujeres suele ser menor, generando que sus oportunidades financieras para competir por un cargo sean menores (Alva, 2017, p. 243); mientras que el tiempo que invierten en labores de cuidado es mayor, lo cual disminuye sus tiempos para dedicarse a actividades políticas.
Por otro lado, Flavia Freidenberg y Sebastián Garrido (2021) proponen una serie de hipótesis para comprender cómo determinados factores socioeconómicos impactan la representación política de las mujeres en las entidades federativas de México:
Cuanto mayor sea el producto interno bruto per cápita de una entidad federativa, mayor será la representación descriptiva de las mujeres en la legislatura de esa entidad [...]. Cuanto mayor sea el porcentaje de población que vive en comunidades urbanas en una entidad federativa, mayor será la representación descriptiva de las mujeres en las legislaturas de esa entidad. [...] Cuanto mayor sea el porcentaje de población con al menos un año completo de educación superior, mayor será la representación descriptiva de las mujeres en las legislaturas de esa entidad (p. 75).
En ese sentido, las brechas de género de un territorio permiten generar una lectura de los recursos y condiciones con los que cuentan las mujeres para participar y mantenerse en política.
2.3 La relación entre el conflicto armado, el territorio y la participación política de las mujeres
Una de las razones a las que se le ha atribuido el origen y persistencia del conflicto armado en Colombia es que la ausencia de garantías para la participación y la falta de reconocimiento de las demandas de amplios sectores de la población ha impedido que la pluralidad de propuestas e intereses se discutan en espacios democráticos, y que con ello se privilegie la permanencia en el poder de los mismos sectores políticos y clanes familiares. Este cierre de la democracia ha conllevado a una lucha violenta para reclamar inclusión y reconocimiento por parte de diversos actores sociales marginados, creando un círculo vicioso en el que los límites de la democracia generan nuevos ciclos de violencia y, al mismo tiempo, la violencia mengua los procesos democráticos (Comisión de la Verdad, 2022a).
Algunas investigaciones señalan los impactos directos de la violencia en el comportamiento electoral, la participación política y los procesos de democratización en los territorios (Trejos y Guzmán, 2018; Hoyos, 2009; Aguilera, 2002; Fernández y Aguilera, 2002). Entre de las diferentes modalidades e impactos en las que el conflicto armado ha afectado la democracia en Colombia, se encuentran el constreñimiento al voto, la prohibición de la participación de candidatos, la presión e intimidación sobre la población para votar —clientelismo armado—, las alianzas entre grupos armados con burocracias y políticos locales (Hoyos, 2009), la persecución y exterminio a organizaciones y líderes sociales, entre otros. En ese sentido, «la violencia altera el normal desarrollo de los procesos democráticos, incide en el aumento del abstencionismo, disuade a líderes sociales, obliga al retiro de candidaturas y, en general, logra desincentivar la participación política, que trasciende de lo colectivo a lo social» (Comisión de la Verdad, 2022b, p. 259).
Si se analiza con perspectiva de género las afectaciones del conflicto armado a la democracia, se puede encontrar que la guerra tuvo un impacto diferencial en la participación política de las mujeres. Diferentes teóricas feministas (Segato, 2016; Jeffreys, 2008) han estudiado cómo el conflicto exacerba los modelos patriarcales de dominación y, en ese sentido, agudizan las violencias cotidianas y situaciones de desigualdad hacia las mujeres. La violencia de género contra la mujer se utiliza en contextos bélicos con el fin de establecer–mantener un orden moral, social y político, y bajo estos parámetros los actores armados limitan el papel de las mujeres a «esencialismos femeninos» cómo roles de obediencia y servicio, delegando su presencia a la esfera privada y coartando de forma violenta su aparición en lo público (Andrade et al., 2017). Particularmente, «la guerra instaura en la relación masculinidad–feminidad códigos del lenguaje, que clausuran la participación de la mujer en la elaboración de propuestas para mediar y aportar soluciones al conflicto armado, lo cual es una limitación a todo nivel, además de otra de las formas de restricción de su papel como agente de cambio (p. 296).
En ese sentido, las diferentes modalidades de violencia perpetradas durante el conflicto armado, como desplazamientos, despojo de tierras, secuestros, violaciones, atentados o asesinatos selectivos, no sólo exacerbaron los daños contra las mujeres, sino que fueron usadas para expulsarlas del escenario representativo de la democracia. Estas victimizaciones dan cuenta de que su ejercicio político «fue tomado como una afrenta a los órdenes locales e intereses de los armados, de élites políticas, de una sociedad que las seguía viendo exclusivamente como cuidadoras pertenecientes al espacio privado, mas no como protagonistas del mundo político» (Comisión de la Verdad, 2022a, p. 102).
Debido a las condiciones estructurales de discriminación y subordinación de las mujeres, estas enfrentan mayores barreras sociales e institucionales para su ejercicio político, además, llevan «no solo la carga del rol social asignado, sino también con el acumulado cultural que percibe los liderazgos de los hombres como referentes de autoridad» (Comisión de la Verdad, 2022a, p. 102). Por lo tanto, los daños generados a las funcionarias públicas, a las candidatas y a las mujeres en general en medio de la guerra coartan aún más su participación, y, por ende, la democracia. Si de entrada las mujeres ya competían de manera no igualitaria y llegaban a espacios de poder en una menor medida que los hombres, la violencia contra sus procesos las llevó a abandonar sus cargos o carreras, y reprimir cualquier deseo de ingresar a la política (Restrepo, 2016).
Por otro lado, si bien el conflicto armado arraigó de manera violenta los estereotipos de género y condicionó el ejercicio político de las mujeres, también las llevó a asumir nuevos roles (Barros y Rojas, 2015). Las vulneraciones que vivieron convirtieron a muchas de ellas en integrantes activas de procesos de reclamaciones y constructoras de paz, lo que ha generado un empoderamiento político y liderazgo en los territorios que también es importante de analizar al momento de entender los impactos del conflicto en la participación política de las mujeres.
Así pues, el conflicto armado colombiano debe ser estudiado no únicamente cómo un elemento del contexto, sino como un factor que influye en las dinámicas político–electorales de los municipios y en el ejercicio de la participación ciudadana, al condicionar los partidos políticos las formas de organización comunitaria, la independencia de las elecciones y los mandatarios, entre otras. Particularmente, la existencia de conflictos bélicos reconfigura las prácticas políticas de las mujeres, así como su presencia en los espacios de poder; por lo tanto, el estudio de su representación política en territorios con altos índices de violencia debe contemplar esta variable como un aporte explicativo a la variación de su presencia en cargos de poder.
Teniendo en cuenta lo anterior, el marco teórico que guía este artículo establece que poblaciones con mayores ingresos y un grado más alto de urbanización acceden con mayor facilidad a bienes y servicios, y cuentan con más información y tiempo para participar en política, lo que favorece una mayor participación y representación de mujeres en espacios de decisión (Freidenberg y Garrido, 2021; Pachón, Peña y Wills, 2012; Alva, 2017; Hidalgo y Robles, 2020). A su vez, una mayor intensidad del conflicto armado incide negativamente en la llegada de más mujeres a cargos de elección popular (Segato, 2016; Jeffreys, 2008; Andrade et al., 2017), toda vez que se exacerban los modelos patriarcales de dominación, violencia contra sus liderazgos y se agudizan las situaciones de desigualdad hacia ellas, impidiendo así que ocupen de manera más igualitaria los cargos de poder.
3. Metodología
3.1 Análisis de la participación política de las mujeres en Urabá
Se analizan las elecciones a Concejo entre 2003 y 2023 por dos razones fundamentales: primero, porque la naturaleza plurinominal de esta corporación permite identificar de manera más fiel el grado de inclusión de las mujeres en los escenarios representativos en el ámbito subnacional; y segundo, porque dicha temporalidad, que tiene como punto de partida la reforma política de 2003, posibilita tener una visión longitudinal de la participación electoral de las mujeres en el territorio.
La reforma política de 2003 quiso revertir la fragmentación partidista y promover el fortalecimiento de los partidos políticos. Para ello se propuso cuatro reglas: un umbral que definía un mínimo necesario de votos que debe obtener una lista para entrar a competir por las curules; una nueva fórmula de conversión de votos en curules (sistema D'Hont), que asigna proporcionalmente los puestos en los cuerpos colegiados; la lista única, cada partido debía presentar desde entonces una sola lista por cuerpo colegiado al que se presentara; y el voto preferente, esto es, la posibilidad de presentar listas desbloqueadas en las que el elector puede escoger no sólo su partido, sino su candidato (Acto Legislativo 01 del 3 de julio de 2003).
Para las seis elecciones a Concejo analizadas, es mucho menor el porcentaje promedio de candidaturas de las mujeres con respecto a los hombres, aunque se presentó una disminución de estas diferencias a partir de 2011. Esto refleja los efectos de la Ley 1475 de 2011, que en su artículo 28 establece que las listas que se presenten a elecciones a corporaciones públicas donde se elijan cinco o más curules deben contar al menos con 30% de alguno de los géneros. El establecimiento de la cuota de género permitió duplicar las candidaturas de las mujeres, logrando pasar de 19,20% en promedio en 2007 a 34,98% en 2011. Si bien progresivamente han aumentado las candidaturas de las mujeres, aún persisten brechas evidentes que impiden lograr la paridad en la oportunidad de aspirar a cargos de elección popular (véase gráfica 1).
Gráfica 1. Porcentaje promedio de candidaturas, según el sexo, para Concejo en Urabá (2003–2023).

Fuente: elaboración propia a partir de Registraduría Nacional del Estado Civil (s. f.).
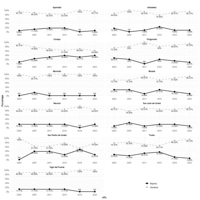
El panorama en términos de la representación política es mucho más adverso para las mujeres. De las 846 curules que han sido provistas entre 2003 y 2023 para 11 municipios de Urabá, 134 han sido ocupadas por mujeres, es decir, 15,83%. La gráfica 2 evidencia la evolución del porcentaje promedio de representación, según el sexo, para las 6 elecciones analizadas. Los datos demuestran que, si bien cada vez se candidatizan más mujeres, esto no refleja un aumento en su representación en los Concejos municipales de Urabá. Paradójicamente, aunque 2023 fue el año que en promedio se presentó el porcentaje más alto de candidaturas mujeres en los últimos veinte años, también fue el año con el porcentaje promedio de representación más bajo, alcanzado sólo 10,69%.
Gráfica 2. Porcentaje promedio de representación, según el sexo, para Concejo Urabá (2003–2023).

Fuente: elaboración propia a partir de Registraduría Nacional del Estado Civil (s. f.).
Ahora bien, el análisis de los datos de manera más detallada permite evidenciar diferencias territoriales en la región. Municipios como Carepa y San Pedro de Urabá evidencian niveles más altos de representación política de mujeres, logrando 38,46% en 2023 y 46,15 % en 2019, respectivamente. Por otro lado, en municipios como Apartadó, Arboletes, Chigorodó, Mutatá, Necoclí, San Juan de Urabá y Turbo la representación de las mujeres ha oscilado entre 5% y 30%, con cambios constantes entre cada elección. Finalmente, los municipios de Murindó y Vigía del Fuerte, en la zona baja de Urabá, presentan los niveles más bajos de representación de mujeres, ya que no lograron representación en las dos últimas elecciones (véase gráfica 3).
Gráfica 3. Porcentaje de representación, según el sexo, para Concejo en Urabá (2003–2023).

Fuente: elaboración propia a partir de Registraduría Nacional del Estado Civil (s. f.).
La representación política de las mujeres en los Concejos del Urabá antioqueño demuestra que en el ámbito subnacional los órganos de decisión aún están lejos de ser paritarios o, incluso, que sus escaños sean conformados —en la mayoría de los municipios—, por al menos 15% de representantes mujeres. Esto evidencia que en lo local hay variables de contexto que profundizan aún más las brechas de género en política.
En este artículo se aplica el supuesto planteado por Freidenberg y Garrido (2021), el cual establece que cuanto mayor sea el nivel de desarrollo económico subnacional, el porcentaje de población que vive en comunidades urbanas y el nivel educativo de la población, mayor será la representación descriptiva de mujeres, dado que se puede adaptar al contexto subnacional colombiano y permiten complejizar los análisis sobre los factores socioeconómicos que afectan el porcentaje de mujeres electas en los territorios. No obstante, no se tuvieron en cuenta sus hipótesis institucionales, ya que el país analizado por los autores remite a un estado federal, el cual permite la existencia de diversas normas o reglas de juego electoral en el ámbito estatal. Por su parte, en Colombia las medidas formales que se han establecido para promover la participación política de las mujeres se aplican de la misma forma en todo el territorio nacional, lo que impide que se presenten diferencias institucionales de este tipo entre entidades territoriales.
Además, se añade la variable del conflicto armado, pues este ha afectado de manera diferencial la vida política de los municipios en Colombia y, en particular, la del Urabá antioqueño, donde se encuentra que, pese a ser un fenómeno tan latente en esta subregión, hay vacíos investigativos sobre su influencia en los niveles de representación política de las mujeres.
3.2 Modelo
Como estrategia metodológica se utiliza la representación descriptiva de las mujeres, operacionalizada mediante la variable dependiente «porcentaje de mujeres que han ocupado un escaño en los Concejos municipales». La unidad de análisis corresponde a los Concejos de los once municipios que integran la subregión de Urabá: Apartadó, Arboletes, Carepa, Chigorodó, Murindó, Mutatá, Necoclí, San Juan de Urabá, San Pedro de Urabá, Turbo y Vigía del Fuerte. La unidad de observación temporal está constituida por los resultados electorales de cada municipio en seis cortes: 2003, 2007, 2011, 2015, 2019 y 2023; lo que permite configurar un diseño longitudinal.
La variable dependiente se calcula como el total de mujeres elegidas dividido entre el total de escaños disponibles en cada Concejo municipal. Para explicar dicha variable, se incluyen tres variables explicativas basadas en las hipótesis propuestas por Freidenberg y Garrido (2021), junto con una variable adicional incorporada en este estudio, que captura el efecto de la dimensión de conflicto (véase cuadro 1).
Cuadro 1. Descripción de variables.
Dimensión |
Tipo de variable |
Descripción |
Unidad de medida |
Fuente |
Política |
Dependiente |
Representación descriptiva de las mujeres |
Porcentaje de mujeres que han ocupado un escaño en los Concejos Municipales |
Registraduría Nacional (s. f.) y trabajo de campo |
Económica |
Explicativa |
Nivel de actividad económica |
Valor agregado municipal per cápita en términos constantes |
DANE (s. f. a) |
Urbana |
Explicativa |
Dinámica poblacional |
Porcentaje de la población que vive en área urbana |
DANE (s. f. a) |
Educación |
Explicativa |
Nivel de educación de la población |
Porcentaje de la población con último año educativo técnico, profesional y posgrado |
Censo general 2005 y CNPV 2018 (DANE, s. f. c; s. f. b) |
Conflicto |
Explicativa |
Incidencia del conflicto |
Número de acciones bélicas, asesinatos colectivos y minas antipersonal, por cada cien mil habitantes |
Observatorio de Memoria y Conflicto (Centro Nacional de Memoria Histórica, s. f.) |
Fuente: elaboración propia.
En este sentido, se plantea un modelo de regresión de panel de datos para indagar qué tanta explicación tienen las variables dependientes sobre la representación descriptiva de las mujeres, en la forma:

Donde los valores de β representan los valores a estimar y ε representa el término de error.
El uso de un modelo de regresión de panel se justifica porque permite aprovechar la variación temporal y transversal de los datos, incrementando la eficiencia de las estimaciones y controlando por heterogeneidad no observable entre municipios. Este enfoque es especialmente útil en estudios subnacionales, donde la cantidad de casos es limitada y las dinámicas territoriales pueden influir en los resultados.
Según la información recolectada, se pudo unificar los datos a partir de las elecciones locales de 2011, es decir, se trabaja con cuatro cortes. De esta manera, antes de estimar un modelo estadístico, se plantea un ejercicio mediante matrices de correlaciones y niveles de significancia para testear los signos de las hipótesis planteadas para los once municipios de la subregión. No obstante, el modelo puede presentar limitaciones derivadas del número reducido de cortes temporales —cuatro, a partir de 2011— y del tamaño de la muestra —once municipios—, lo cual puede afectar la robustez estadística. Además, la disponibilidad de información homogénea en todas las variables restringe la inclusión de periodos anteriores o de indicadores más desagregados.
Las cuatro hipótesis son:
Hipótesis 1: cuanto mayor sea el valor agregado per cápita de un municipio, mayor será la representación descriptiva de las mujeres en los Concejos municipales en la subregión de Urabá.
Hipótesis 2: cuanto mayor sea el porcentaje de población que vive en áreas urbanas de un municipio, mayor será la representación descriptiva de las mujeres en los Concejos municipales en la subregión de Urabá.
Hipótesis 3: cuanto mayor sea el porcentaje de población cuyo último nivel educativo alcanzado es educación superior, mayor será la representación descriptiva de las mujeres en los Concejos municipales en la subregión de Urabá.
Hipótesis 4: cuanto mayor sea la incidencia de la violencia y el conflicto, menor será la representación descriptiva de las mujeres en los Concejos municipales en la subregión de Urabá.
4. Resultados
A continuación, para cada una de las dimensiones explicativas de análisis, se reportan los resultados en forma de agrupamientos por municipios. Los grupos corresponden a distintos subconjuntos de municipios definidos según la disponibilidad de datos por elección (2003–2023). Cada grupo incluye únicamente los municipios con información homogénea para el periodo señalado. Además, algunos municipios se repiten en diferentes grupos porque su información se incorporó progresivamente en distintos cortes de tiempo.
En primer lugar, la dimensión económica no cumple con el signo de la hipótesis para los once municipios del Urabá en su conjunto. Sin embargo, para los municipios de Turbo, Apartadó, San Pedro de Urabá y Arboletes, sí se cumple el signo (véase tabla 1). Aunque la significancia estadística global no es fuerte, en estos cuatro municipios se puede afirmar que un mayor valor agregado per cápita incide positivamente en la representación de las mujeres en Concejo.
Tabla 1. Reporte de correlaciones y significancia estadística para la dimensión económica.
|
Grupo 1 |
Grupo 2 |
Grupo 3 |
Grupo 4 |
Turbo |
Turbo |
Turbo |
Turbo |
|
Apartadó |
Apartadó |
Apartadó |
Apartadó |
|
San Pedro de Urabá |
San Pedro de Urabá |
San Pedro de Urabá |
San Pedro de Urabá |
|
|
Arboletes |
Arboletes |
Arboletes |
|
|
|
San Juan de Urabá |
San Juan de Urabá |
|
|
|
|
Mutatá |
|
Correlación |
73,00% |
43,00% |
31,00% |
29,00% |
P – Valor |
0.0074 |
0.098 |
0.18 |
0.17 |
Observaciones |
12 |
16 |
20 |
24 |
Fuente: elaboración propia.
En futuras investigaciones es necesario explorar con integrantes de los partidos políticos o mujeres candidatas si en los territorios con un mayor valor agregado cuentan con más acceso a recursos para financiar sus campañas políticas, si los valores que disponen para las contiendas se asemejan o son competitivos con los de sus copartidarios masculinos, o si al estar en territorios con mayor abundancia económica hay más sectores sociales o ciudadanos que inviertan en sus campañas políticas.
De otro lado, la dimensión de la población urbana sí cumple con el signo de la hipótesis para los once municipios del Urabá en su conjunto. Esto sugiere que un mayor porcentaje de población que habita en áreas urbanas en esos municipios tiende a aumentar la representación descriptiva de las mujeres en los Concejos municipales. No obstante, la significancia estadística global no es fuerte, aunque para Turbo, Apartadó, San Pedro de Urabá y Arboletes sí lo es (véase tabla 2).
Tabla 2. Reporte de correlaciones y significancia estadística para la dimensión urbana.
|
Grupo 1 |
Grupo 2 |
Turbo |
Turbo |
|
Apartadó |
Apartadó |
|
Chigorodó |
Chigorodó |
|
Carepa |
Carepa |
|
Necoclí |
Necoclí |
|
San Pedro de Urabá |
San Pedro de Urabá |
|
Arboletes |
Arboletes |
|
San Juan de Urabá |
San Juan de Urabá |
|
Mutatá |
Mutatá |
|
Vigía del Fuerte |
Vigía del Fuerte |
|
|
Murindó |
|
Correlación |
33,40% |
49,70% |
P – Valor |
0.083 |
0.053 |
Observaciones |
40 |
44 |
Fuente: elaboración propia.
Como lo indica la literatura, un mayor desarrollo económico y un mayor porcentaje de población que vive en zonas urbanas permite que las personas cuenten con mayores recursos e información para participar en política. Particularmente para las mujeres, estas condiciones pueden ayudar a reducir diferentes brechas que se agudizan en territorios más rurales, pues presentan una mayor abundancia de espacios de formación, facilidad para acceder a colectividades políticas y redes barriales, feministas o sindicalistas, hay mayores facilidades en el desplazamiento a puestos de votación y alfabetización digital.
Por su parte, la dimensión de educación no cumple con el signo de la hipótesis para los once municipios de Urabá en su conjunto (véase tabla 3). De manera individual sólo se cumple para el municipio de Carepa. Las significancias sugieren que un mayor logro educativo en el total de los municipios disminuye la representación descriptiva de las mujeres en los Concejos municipales.
Tabla 3. Reporte de correlaciones y significancia estadística para la dimensión educación.
|
Grupo 1 |
Grupo 2 |
Grupo 3 |
Turbo |
Turbo |
Turbo |
|
Apartadó |
Apartadó |
Apartadó |
|
Chigorodó |
Chigorodó |
Chigorodó |
|
Carepa |
Carepa |
Carepa |
|
|
Necoclí |
Necoclí |
|
|
San Pedro de Urabá |
San Pedro de Urabá |
|
|
|
Arboletes |
|
Correlación |
–44,00% |
–39,00% |
–32,00% |
P – Valor |
0.089 |
0.06 |
0.095 |
Observaciones |
16 |
24 |
28 |
Fuente: elaboración propia.
En este punto se debe precisar que pueden existir variables no observables que restringen el efecto de la educación. Factores asociados a las labores del cuidado del hogar, la falta de autonomía económica y los estereotipos de género pueden limitar la participación política de las mujeres en estos escenarios de decisión. También es importante mencionar la existencia de otros factores ligados a las dinámicas partidistas de la subregión que podrían incidir, como las redes clientelares, el capital político local o el rol de organizaciones sociales. Estos factores no observables podrían sesgar los coeficientes estimados y explicar, en parte, los resultados inesperados en la relación entre educación y representación femenina.
Finalmente, la dimensión conflicto cumple con el signo de la hipótesis para los once municipios en conjunto (véase tabla 4). Esto sugiere que, aunque la significancia estadística no es fuerte, un mayor conflicto tiende a disminuir la representación descriptiva de las mujeres en los Concejos municipales. El mecanismo explicativo de esta relación se debe a que en escenarios bélicos en los que las mujeres se ven expuestas a diversas manifestaciones de violencia y a los estereotipos patriarcales se limita su incidencia en los asuntos públicos, generando así cierres democráticos que impiden alcanzar mayores niveles de representación política.
Tabla 4. Reporte de correlaciones y significancia estadística para la dimensión conflicto.
|
Con asesinatos selectivos por cada cien mil habitantes |
Correlación |
–69,50% |
P – Valor |
0.054 |
Fuente: elaboración propia.
Conclusiones
La representación política de las mujeres es cada vez más importante para la ciencia política y los análisis electorales. La literatura existente sobre el tema muestra la centralidad en estos trabajos de factores institucionales, socioeconómicos, culturales o subjetivos, y la forma en que estos determinan la participación y la representación política de las mujeres en diferentes cargos de elección popular. Entre los factores institucionales sobresalen los estudios sobre el impacto de ley de cuotas, los cambios que traen consigo las reformas políticas, el diseño del sistema electoral, entre otros.
Este artículo es un avance en la literatura existente en dos sentidos: de un lado, explora el problema en el ámbito subnacional de un territorio con grandes problemas sociales y económicos, como el Urabá antioqueño, y no en las grandes ciudades, en las que posiblemente existan mejores condiciones para el ejercicio de la política electoral de las mujeres; en segundo lugar, propone un modelo que ayuda a identificar las variables que explican la variación en la representación descriptiva de las mujeres en los Concejos municipales. Un modelo como estos puede ser de gran utilidad para hacer análisis similares en distintos territorios.
Por otro lado, según los datos proporcionados por la Registraduría Nacional del Estado Civil (s. f.), se destacan dos resultados en este territorio: entre 2003 y 2023 el porcentaje promedio de mujeres candidatas a concejales municipales creció, pasando de 15,47% en 2003 a 39,72% en 2023, lo que representa una tasa de crecimiento de más de 100%. Si bien la tendencia en la cantidad de hombres inscritos ha disminuido, se mantiene en niveles superiores a 60%. Ahora bien, respecto al porcentaje promedio de representación efectiva, los hombres electos dominan en más de 70% y las mujeres menos de 25%, lo que demuestra una brecha de género notoria en los escenarios subnacionales de poder. Si este resultado global se desglosa para cada municipio de la subregión, Carepa muestra un mayor crecimiento de representación efectiva de mujeres respecto a los demás municipios.
A partir de un modelo de regresión de panel de datos, los resultados evidencian una tendencia favorable en la dimensión económica, medida a través del valor agregado municipal per cápita para la llegada de mujeres a los Concejos municipales. A su vez, el porcentaje de población que vive en zonas urbanas se correlaciona positivamente con la variable dependiente; no obstante, esta correlación no resulta ser tan significativa como lo es la dimensión económica. Finalmente, el conflicto, medido por el número de asesinatos selectivos por cada cien mil habitantes, sugiere un obstáculo para la representación descriptiva de las mujeres en esta corporación. Por su parte, el hallazgo de que la educación presenta un efecto negativo sobre la representación femenina contradice las expectativas teóricas clásicas. Una posible explicación es que, en contextos como el de Urabá, mayores logros educativos de las mujeres no se traducen automáticamente en capital político, debido a barreras de género persistentes: división sexual del trabajo, sobrecarga en labores de cuidado, discriminación en redes partidistas y menor acceso a financiamiento de campañas. Este resultado merece ser interpretado más allá de la estadística, como evidencia de tensiones estructurales entre avances educativos y la persistencia de prácticas patriarcales en la política local.
Una agenda de investigación que gire alrededor de la participación y representación política de las mujeres en escenarios locales debe centrarse en tres aspectos fundamentales: primero, urgen estudios comparados que permitan establecer diferencias y similitudes en contextos rurales y urbanos, subnacionales y nacionales, países con mayores avances normativos que otros, así como distintos factores culturales y sociales que sean susceptibles de comparación, con el fin de profundizar en las diferentes barreras que se presentan para las mujeres; segundo, es importante ahondar en metodologías mixtas que conjuguen el uso adecuado de datos robustos y fiables con aproximaciones cualitativas igualmente rigurosas, para ampliar los alcances explicativos sobre la subrepresentación política de mujeres; y por último, estudios que muestren de forma más sistemática los avances del liderazgo político de las mujeres en un mundo que ha sido, hasta ahora, excluyente y patriarcal como el mundo de la política, los partidos políticos y las elecciones.
Notas
* Artículo derivado de la investigación Democracia, Política Local y Participación de las mujeres. El caso del Urabá antioqueño 2003–2021, financiado por la Vicerrectoría de Investigación y el Instituto de Estudios Políticos, Universidad de Antioquia, y por la Corporación para la Vida Mujeres que Crean.
Referencias bibliográficas
1. Aguilera, Armando. (2002). Implicaciones de la violencia política en la intención de voto y en el comportamiento electoral. Reflexión Política, 4 (7), pp. 2–13.
2. Alva, Raymundo. (2017). Rompiendo techos de billetes. El uso del financiamiento público con perspectiva de género en los partidos políticos mexicanos. En: Freidenberg, Flavia (ed.). La representación política de las mujeres en México (pp. 243–272). INE–IIJ–UNAM.
3. Álvarez, Daiana Andrea y Valencia Giraldo, Mónica Liliana. (2018). La participación política de las mujeres a la luz de la Ley Estatutaria 1475 de 2011. Revista Indisciplinas, 4 (7), pp. 101–126.
4. Andrade, José Alonso; Alvis, Libia; Jiménez, Luz Karine; Redondo, Miladys Paola y Rodríguez, Lidia. (2017). La vulnerabilidad de la mujer en la guerra y su papel en el posconflicto. El Ágora USB, 17 (1), pp. 290–308. https://doi.org/10.21500/16578031.2827
5. Barros, María Adelaida y Rojas, Natalia. (2015). El rol de la mujer en el conflicto armado colombiano. (Tesis inédita de maestría). Universidad Externado de Colombia, Bogotá, D. C.
6. Batlle, Margarita. (2017). Mujeres en el Congreso colombiano: un análisis a partir de la primera implementación de la Ley de cuota de género en las elecciones de 2014. Colombia Internacional, 89, pp. 17–49. https://doi.org/10.7440/colombiaint89.2017.01
7. Batlle, Margarita. (2018). Mujeres y elecciones en Colombia: una mirada a la competencia en el nivel subnacional (2002–2015). En: Freidenberg, Flavia; Caminotti, Mariana; Muñoz–Pogossian, Betilde; Došek, Tomáš (eds.). Mujeres en la Política. Experiencias nacionales y subnacionales en América Latina (pp. 193–221). IECM–UNAM.
8. Bedoya, John Fredy y Botero, Carolina. (2014). Sistema de partidos subnacional: estudio del comportamiento electoral y de partidos entre 1997 y 2011 en el Urabá Antioqueño. Forum, 6, pp. 13–36.
9. Bernal, Angélica. (2006). Mujeres y participación política local: el desencanto por la política o la nostalgia de lo comunitario. (Tesis inédita de maestría). Universidad Nacional de Colombia, Bogotá, D. C.
10. Bernal, Angélica. (2011). Elecciones parlamentarias de 2010: análisis de la inclusión de mujeres. Colombia Internacional, 74, pp. 89–118. https://doi.org/10.7440/colombiaint74.2011.05
11. Calderón, María Isabel. (2022). Los estereotipos de género en la participación política de las mujeres en el Concejo del municipio de Valledupar–Colombia, 2015–2021. (Tesis de maestría). Pontificia Universidad Javeriana, Bogotá, D. C.
12. Camacho, Alba. (2016). Análisis de la participación política de las mujeres en cuatro (4) elecciones al Concejo de Bogotá 2000–2011. (Tesis inédita de maestría), Universidad Nacional de Colombia, Bogotá, D. C.
13. Cámara de Comercio de Urabá. (2022). Informe socioeconómico 2021. https://ccuraba.org.co/site/wp–content/uploads/2022/01/INFORME–SOCIOECONOMICO–2021–1.pdf
14. Centro Nacional de Memoria Histórica. (s. f.). Observatorio de Memoria y Conflicto. https://micrositios.centrodememoriahistorica.gov.co/observatorio/
15. Colombia. Congreso de la República. Acto Legislativo 01. (3 de julio de 2003). Por el cual se adopta una Reforma Política Constitucional y se dictan otras disposiciones. https://www.registraduria.gov.co/IMG/pdf/Acto_Legislativo_01_de_2003.pdf
16. Colombia. Congreso de la República. Ley 1475. (14 de julio de 2011). Por la cual se adoptan reglas de organización y funcionamiento de los partidos y movimientos políticos, de los procesos electorales y se dictan otras disposiciones. http://www.secretariasenado.gov.co/senado/basedoc/ley_1475_2011.html
17. Comisión para el Esclarecimiento de la Verdad, la Convivencia y la No Repetición (Comisión de la Verdad). (2022a). Mi cuerpo es la verdad. Experiencias de mujeres y personas LGTBIQ+ en el conflicto armado colombiano. Comisión de la Verdad.
18. Comisión para el Esclarecimiento de la Verdad, la Convivencia y la No Repetición (Comisión de la Verdad). (2022b). Sufrir la guerra y rehacer la vida. Impactos, afrontamientos y resistencias. Comisión de la Verdad.
19. Departamento Administrativo Nacional de Estadística (DANE). (2020, septiembre). Panorama sociodemográfico de la juventud en Colombia. https://www.dane.gov.co/files/investigaciones/genero/informes/informe–panorama–sociodemografico–juventud–en–colombia.pdf
20. Departamento Administrativo Nacional de Estadística (DANE). (s. f. a). Cuentas nacionales departamentales: PIB por departamento. Valor agregado por municipio. https://www.dane.gov.co/index.php/estadisticas–por–tema/cuentas–nacionales/cuentas–nacionales–departamentales
21. Departamento Administrativo Nacional de Estadística (DANE). (s. f. b). Censo Nacional de Población y Vivienda 2018. https://www.dane.gov.co/index.php/estadisticas–por–tema/demografia–y–poblacion/censo–nacional–de–poblacion–y–vivenda–2018
22. Departamento Administrativo Nacional de Estadística (DANE). (s. f. c). Censo Nacional 2005. https://www.dane.gov.co/index.php/estadisticas–por–tema/demografia–y–poblacion/censo–general–2005–1
23. Escobar Solís, Katherine. (2014). Dinámica de la participación política de las mujeres en el Congreso de la República de Colombia 1998–2014. (Tesis inédita de pregrado). Universidad del Valle, Cali.
24. Fernández, Lya y Aguilera, Armando. (2002). Violencia y elecciones en Santander. Reflexión Política, 4 (8), pp. 192–199.
25. Freidenberg, Flavia y Garrido, Sebastián. (2021). Régimen electoral de género y representación política de las mujeres a nivel subnacional en México. Revista de Ciencia Política, 41 (1), pp. 67–101. https://dx.doi.org/10.4067/S0718–090X2021005000103
26. García, Clara y Aramburo, Clara. (2011). Geografías de la guerra, el poder y la resistencia: Oriente y Urabá antioqueños 1990–2008. Cinep–Universidad de Antioquia.
27. García, Clara. (2004). Resistencias. Análisis comparado de la acción colectiva frente a la guerra en Urabá y Oriente antioqueño. Nómadas, 20, pp. 102–110.
28. Gobernación de Antioquia. (2022). Agenda Antioquia 2040. Informe parcial, Medellín. https://www.antioquiadatos.gov.co/index.php/agenda2040/
29. Gutiérrez, Francisco. (2014). El orangután con sacoleva. Cien años de democracia y represión en Colombia (1910–2010). Debate–Universidad Nacional de Colombia.
30. Hidalgo–Hidalgo, Marisa y Robles–Zurita, José Antonio. (2020). Participación política en España: El papel de la educación. Papeles de Economía Española, 166, pp. 203–215.
31. Hoyos, Diana. (2009). Dinámicas político–electorales en zonas de influencia paramilitar. Análisis de la competencia electoral y la participación electoral. Análisis Político, 6, pp. 13–32.
32. Instituto de Estudios para el Desarrollo y la Paz (Indepaz). (2022). Desafío a la Paz Total. Lo que recibió el gobierno de Gustavo Petro Informe sobre presencia de grupos armados en Colombia 2021–2022. Indepaz.
33. Jeffreys, Sheila. (2008). The Industrial Vagina: The Political Economy of the Global Sex Trade. Routledge.
34. Lesmes, Angélica María. (2018). Participación de la mujer en el escenario político colombiano. Una mirada general a la participación política de la mujer en Colombia. Registraduría Nacional del Estado Civil– Centro de Estudios en Democracia y Asuntos Electorales.
35. Massolo, Alejandra. (2007). Participación política de las mujeres en el ámbito local en América Latina. INSTRAW.
36. Medina Espino, Adriana. (2010). La participación política de las mujeres. Elementos teórico–conceptuales.En: La participación política de las mujeres. De las cuotas de género a la paridad (pp. 15–28). CEAMEG y Cámara de Diputados, LX Legislatura.
37. Migración Colombia. (2022). Boletín Anual de Estadísticas de Flujos Migratorios 2021. Ministerio de Relaciones exteriores.
38. Moreno León, Carlos y Cuenca Echeverry, Jackeline. (2024). Presentación del índice de representación femenina política departamental (Irfed): una aproximación para medir la presencia femenina en cargos de elección popular en el orden regional en Colombia. Colombia Internacional, 117, pp. 61–86. https://doi.org/10.7440/colombiaint117.2024.03
39. Negrete. Víctor. (1991).Historia de la violencia en Córdoba. La Revista, 14.
40. Observatorio Nacional de Migración y Salud. (2021). Fenómeno migratorio en la región del Urabá Colombiano: en busca del tránsito hacia el norte del continente americano. Boletín Migración y Salud, 2. https://www.minsalud.gov.co/sites/rid/Lists/BibliotecaDigital/RIDE/VS/ED/boletin–onms–n02–2021.pdf
41. Pachón, Mónica; Peña, Ximena y Wills, Mónica. (2012). Participación política en América Latina: Un análisis desde la perspectiva de género. Revista de Ciencia Política, 32 (2), pp. 359–381. https://dx.doi.org/10.4067/S0718–090X2012000200002
42. Pastor, Raquel. (2019). La dimensión sustantiva de la representación política de la mujer: delimitación conceptual y factores explicativos. Revista de las Cortes Generales, 106, pp. 43–72.
43. Patiño, Diana Milena. (2023). La lucha feminista de Juana Julia Guzmán. Revista de Estudios Sociales, 84, pp. 41–57. https://doi.org/10.7440/res84.2023.03
44. Pitkin, Hanna. (1985). El concepto de representación. Centro de Estudios Constitucionales de Madrid.
45. Registraduría Nacional del Estado Civil. (s. f.). Observatorio Electoral. https://observatorio.registraduria.gov.co/views/electoral/historicos–resultados.php
46. Restrepo Sanín, Juliana. (2016). Mujeres y participación política en Colombia: el fenómeno de la violencia contra las mujeres en política. NIMD.
47. Segato, Rita. (2016). La guerra contra las mujeres. Traficantes de Sueños.
48. Trejos, Luis Fernando y Guzmán Cantillo, Jolie. (2018). Clientelismo armado en el Caribe colombiano por medio de la Reconfiguración cooptada del Estado. El caso del Bloque Norte de la Autodefensas Unidas de Colombia. Justicia, 23 (34), pp. 555–578. https://doi.org/10.17081/just.23.34.3408
49. Tula, María Inés. (2015). Mujeres y política. Un panorama sobre la adopción de las cuotas de género y sus efectos en América Latina y Colombia. Opera, 16, pp. 9–33. https://doi.org/10.18601/16578651.n16.03
50. Uribe de Hincapié, María Teres. (2023). Urabá: ¿región o territorio? Universidad de Antioquia.
51. Wills, María Emma y Cardozo, Florentina. (2010). Los partidos colombianos y la representación de las mujeres (1990–2006). ¿Compromiso de fondo o superficial? Colombia Internacional, 71, pp. 127–149. https://doi.org/10.7440/colombiaint71.2010.07