ARTICLES
Do Followers Really Matter in Stackelberg Competition?*
¿Importan realmente los seguidores en la competencia de Stackelberg?
Les followers ont-ils vraiment de l'importance dans le modèle de Stackelberg?
Ludovic Julien**; Olivier Musy*** and Aurélien Saïdi****
** Ludovic Alexandre Julien: Professor at Université de Bourgogne; Associate Professor at Université Paris Ouest-Nanterre; Extramural Fellow at IRES, Université Catholique de Louvain. Email address: ludovic.julien@u-paris10.fr. Postal address: Université de Bourgogne LEG, Bureau 501 2 boulevard Gabriel BP 26611 Dijon Cédex France.
*** Olivier Musy: Researcher at EconomiX, Université Paris Ouest-Nanterre. Email address: omusy@u-paris10.fr. Postal address: Université Paris Ouest-Nanterre Bureau G517C 200 Avenue de la République, 92001 Nanterre Cédex France.
**** Aurélien W. Saïdi: Affiliate Professor at Department of Information & Operations Management, ESCP Europe. Email address: asaidi@escpeurope.eu. Postal address: Université Paris Ouest-Nanterre UFR SEGMI Bureau G517C 200 Avenue de la République 92001 Nanterre Cédex France.
–Introduction. –I. The model. –II. Stackelberg competition in the linear economy. –III. Implications for convergence and welfare. –Conclusion. –Appendix. –References.
Primera versión recibida en abril de 2011; versión final aceptada en octubre de 2011
ABSTRACT
In this paper, we consider a T-stage linear model of Stackelberg oligopoly. First, we show geometrically and analytically that under the two conditions of linear market demand and identical constant marginal costs, the T-stage Stackelberg model reduces to a model where T oligopolies exploit residual demand sequentially. At any stage, leaders behave as if followers did not matter. Second, we study social welfare and convergence toward competitive equilibrium. Especially, we consider the velocity of convergence as the number of firms increases. The convergence is faster when reallocating firms from the most to the less populated cohort until equalizing the size of all cohorts.
Key words: leader's markup discount ratio, linear economy, follower's output index, generalized Stackelberg competition.
JEL classification: L13, L20.
RESUMEN
En este artículo se considera un modelo de oligopolio de Stackelberg lineal en T etapas. En primer lugar, se muestra geométrica y analíticamente que bajo las condiciones de demanda de mercado lineal y costos marginales constantes e idénticos el modelo de Stackelberg en T etapas se reduce a un modelo en el que T firmas explotan la demanda residual secuencialmente. En cualquier etapa, los líderes se comportan como si los seguidores no importaran. En segundo lugar, se estudia el bienestar social y la convergencia hacia el equilibrio competitivo. En particular, se considera la velocidad de convergencia a medida que el número de firmas incrementa. La convergencia es más rápida cuando las firmas se relocalizan desde la cohorte más poblada a la menos poblada hasta que el tamaño de las cohortes se iguala.
Palabras clave: razón de descuento del markup del líder, economía lineal, índice de producto del seguidor, competencia de Stackelberg generalizada.
Clasificación JEL: L13, L20.
RÉSUMÉ
Dans cet article nous considérons un modèle linéaire d'oligopole de Stackelberg avec T cohortes où les entreprises ont des stratégies en quantité. Tout d'abord, nous montrons géométriquement et analytiquement que, si la demande de marché est linéaire et les coûts marginaux sont constants et identiques, le modèle de Stackelberg à T étapes se réduit à un modèle où T oligopoles exploitent la demande résiduelle de manière séquentielle. À n'importe quelle étape, la stratégie des entreprises ne dépend ni du nombre d'entreprises qui jouent après, ni du nombre de cohortes restantes. Les entreprises leaders se comportent "comme si" les entreprises suiveuses n'avaient pas d'importance. Deuxièmement, nous étudions la convergence vers l'équilibre concurrentielle et le bien-être social. Nous considérons notamment la vitesse de convergence lorsque le nombre d'entreprises augmente.
Mots-clés : facteurs d'escompte markup, économie linéaire, modèle généralisé de Stackelberg.
Classification JEL : L13, L20.
INTRODUCTION
In the Von Stackelberg (1934) oligopoly model where firms interact in quantity, firms sequentially choose the quantities to produce and take into account the impact of their own decisions on the decisions of firms playing later. The basic model has notably been extended in order to integrate a larger number of stages and/or players than in the original model (Boyer and Moreaux, 1986; Sherali, 1984; Watt, 2002). An interest of such a structure, which is called a hierarchy,1 is to introduce heterogeneity between firms according to their place in the decision process. Several implications have been derived concerning welfare (Watt, 2002), merging (Daughety, 1990; Heywood and McGinty, 2007, 2008) and profits (Etro, 2008), among others.
It has been stated by Boyer and Moreaux (1986), Anderson and Engers (1992) and Pal and Sarkar (2001) that under the two standard assumptions of linear market demand and identical constant marginal costs, a T-stage Stackelberg model reduces to a model where T monopolies exploit residual demand sequentially. Watt (2002) has extended the framework to integrate multiplayer cohorts.2 These two assumptions constitute the so-called linear model.
The purpose of this paper is twofold. First, we geometrically derive and generalize the preceding statements, which are specific properties of the linear model. By contrast with the relevant literature, we provide an explanation for such a result by showing that leaders behave as if followers did not matter. The number of remaining stages and/or followers does not qualitatively modify the optimization program of a firm. A change in the number of stages and/or followers is embodied in a scale factor that homothetically discounts the objective profit function of the leaders, reducing profit without altering optimal strategies.
Second, we study the welfare implications of the linear model. Especially, we define a simple index of social welfare according to the number of firms and stages and thereby explore the convergence of the economy toward perfect competition. When the total number of firms in the economy or the number of firms in a given cohort becomes arbitrarily large, the T-stage Stackelberg equilibrium converges toward a competitive equilibrium. Furthermore, the convergence is faster when an additional firm enlarges the hierarchy rather than an existing cohort.
Our analysis is based on the existence of two scale factors: the leader's markup discount ratio and the follower's output index. The former represents the reduction of a leader's markup associated with the existence of his/her followers in the hierarchy. Its value differs from one cohort to another, depending negatively on the number of remaining cohorts and corresponding players. The latter represents the decrease in optimal quantities for a follower resulting from a contraction of the residual demand when playing latter in the hierarchy. It is a share of the first cohort production, whether optimal or not. For any follower, this share decreases when going further in the sequence. Its value depends negatively on the number of leading cohorts and on the number of corresponding players (because residual demand decreases with this parameter). Both factors measure the profit reduction of a firm within the hierarchy and are useful to analyze social welfare.
The paper is presented as follows. In section 1, we present the model. Section 2 analyzes the behavior of the firms under the Stackelberg structure, and introduces the two kinds of discount factors. Section 3 derives welfare implications. In the last section, we conclude.
I. The Model
Consider one homogeneous good produced by n firms which oligopolistically
compete in a hierarchical framework. There are T-stages of decisions indexed
by
Each stage embodies one cohort and is associated with a level of
decision. The whole set of cohorts represents a hierarchy. Cohort t is populated
by firms, with
. The distribution of the firms within each cohort is
assumed to be observable and exogenous.3 This latter assumption notably
implies that position of firms and timing of moves are given.4
A firm i which belongs to cohort t has to decide strategically (simultaneously
with firms of the same cohort, and sequentially among the hierarchy) its level of
output denoted by xti . The aggregate output of cohort t is denoted
where xti stands for firm i's output within cohort t. In addition,
will
denote the production of all firms belonging to cohort t but i.
We consider a linear Stackelberg model. Hence, the inverse market demand
function, which specifies the market price p as a function of aggregate output
X, with
, is assumed to be p(X) = a − bX, a, b > 0. In addition, the
cost function of any firm i which belongs to cohort t, is given by cxit , i = 1,...,nt and t =1,...,T . These two assumptions are standard in the literature on oligopoly
analysis (see Daughety, 1990; Carlton and Perloff, 1994; Vives, 1999; among
others).
The nt firms which belong to cohort t, behave as followers with respect to
all firms of cohort
, whose strategies are taken as given. However,
they behave as Stackelberg leaders toward all firms of cohort
They
consider the best-response functions of all firms belonging to these cohorts as
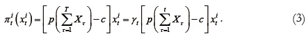
functions of their strategies. Therefore the profit of firm i which belongs to
cohort t may be written:

II. Stackelberg competition in the linear economy
A. Graphical interpretation
Consider two successive stages, say t-1 and t. Let
be the market
price when cohort t enters the market while each cohort τ(τ < t) produces a
quantity of output Xτ. We assume that any leading cohort τ < t expects firms
of cohort t (or more) to act rationally and symmetrically. As in the standard
literature, they maximize their profits for any quantity
produced by their
predecessors. In this case, the rational choice of firms is depicted in Figure 1.
In this Figure, we illustrate the behavior of cohort t. Firms in cohort , behave as Cournotian oligopolists on the residual demand left by firms of cohorts τ (1<τ < t ): it is as if they would not take into consideration firms playing after. So, the equilibrium strategies of firms in the hierarchical model coincide with those of a multistage Cournot model. Then, for every cohort, there is an equivalence between the sequential game and the (successive) static programs. In this paper, we enrich the meaning and implications of property 2, presented as the equivalence of the profit functions in the two models up to a linear transformation. This implies the equivalence of the reaction functions in both models and thereafter of the equilibrium strategies (which is then a consequence rather than a definition of the Cournotian behavior).
B. The equivalence between Stackelberg and Cournot behaviors
We now study formally the equivalence between the Stackelberg game and the successive Cournot games. It requires to exhibit the link between leaders and followers' profits.
Lemma 1 Let
be the leader's markup discount ratio. The markup
earned by a cohort t firm, t < T, in a T-cohort economy is a constant share
γt < 1
of the markup it earns in a t-cohort economy for any given vector of outputs
(X1,..., Xt−1) produced by the previous cohorts:

Proof. See Appendix A.
Notice that under conditions on costs, the markup is always equal across cohorts. The discount factor γt measures the dependence of market power on the number of followers. It represents the reduction of markup of any leader due to the presence of the additional cohorts t +1 to T. It affects less intensively the market power of the last cohorts in the sequence since they face a reduced number of followers. Market power shrinks as t tends to infinity. This case will be discussed in Section 3.
The existence of cohort τ equally impacts by a coefficient 1/(1 +nτ) the markup expected by a leader t (t < τ ) in a t-stage economy, whatever the quantities produced by the first t cohorts (this results directly from assumptions on demand and costs).
Corollary 1. For any strategy xit, the profit obtained by a cohort-t firm in the sequential T-stage structure is a constant share of the profit earned in a t-stage economy:

Proof. This corollary directly results from Lemma 1.
In other words, each cohort can behave as if there were no following
cohorts behind it since it earns a constant share of the profit realized in an
oligopoly structure market where it represents the last cohort, whatever the
aggregate output
produced by the leaders. Provided that cohort-t firms
maximize their profit for any vector of strategies (X1,..., Xt−1), cohort-τ leaders
(τ < t) act as oligopolists ignoring the following cohorts. The existence of these
additional cohorts does not distort fundamentally the maximization program,
whose objective function (that is the profit function) is only discounted by a
constant parameter. We have called this parameter the leader's markup discount
ratio.
Lemma 2. Let ,
be the follower's output index. In this
economy, the output of a firm i in cohort t ≤ T can be expressed as a share of
the output produced by a firm playing previously and belonging to cohort t − h
for
, that is:

Proof. See Appendix B.
The follower's output index represents the contraction of output resulting from playing later in the hierarchy. It indicates the share of cohort t-h's output which is optimal for cohort t to produce.
From Lemmas 1 and 2, the following proposition can be stated:
Proposition 1. When the market demand is linear and marginal costs are identical and constant, any cohort behaves as if followers did not matter. The T-stage Stackelberg linear economy reduces to a succession of staggered static problems in which firms compete oligopolistically on residual demands.
Proof. The proposition directly ensues from Lemmas 1 and 2.
Maximizing the right-hand side of equation (3) (sequential structure program) is tantamount to maximize the left-hand side of equation (3) since γt is a constant term. In the linear economy, strategies of firms do not depend on the number of firms playing after, which equally impact the profit associated to each strategy. As a consequence the optimal strategies and the equilibrium strategies remain unchanged whatever the number of stages and the number of followers in the sequential structure.
The literature only covers the similarity of the equilibrium strategies in both the T-stage Stackelberg linear model and the succession of staggered static problems but does not provide any explanation for this coincidence (see Boyer and Moreaux, 1986; Anderson and Engers, 1992; Watt, 2002).
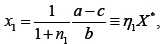
Corollary 2 The equilibrium strategy of cohort 1-firms may thus be obtained from the profit maximization:

where X* = (a − c)/b is equal to the perfect competition aggregate output.
We then deduce the equilibrium strategy of any firm i in cohort 

Notice that in the equilibrium, each firm of cohort t produces a share ηt of the perfect competition equilibrium output.
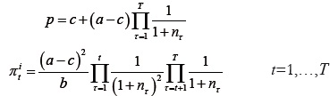
Corollary 3 The equilibrium price and equilibrium profits are given by:

De Quinto and Watt (2003) use a similar term to ηt to analyze welfare through market power and mergers. In our approach, we investigate the issue of welfare through a comparison with perfect competition representing the maximizing global surplus benchmark case.
III. Implications for convergence and welfare
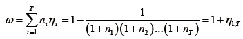
Social welfare is maximized under perfect competition, that is when aggregate output is equal to X*. Let ω be the index of social welfare. This index, included between 0 and 1 (maximum welfare), is measured by the sum of the shares nτ ητ:

It can be asserted from Corollary 2 that the aggregate equilibrium output in the model is given by ωX*.
Lemma 3 When the number of firms becomes arbitrarily large, either vertically (when T tends to infinity) or horizontally (when nτ tends to infinity), the oligopoly equilibrium output converges toward the competitive equilibrium output.
Proof. Immediate from 
Convergence toward perfect competition is then achieved through an increase in the number of cohorts and/or in the number of firms in any cohort.
A specific case of vertical convergence can be found in Boyer and Moreaux
(1986) for
.
From the previous lemma we know that welfare can be improved by increasing the number of firms. When the number of firms is fixed, welfare can be modified when firms are displaced in the decision sequence, either by enlarging the hierarchy or changing the size of existing cohorts.
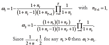
Lemma 4 For any given number of firms, a displacement of any firm results in a higher welfare gain when enlarging the hierarchy rather than modifying the size of an existing cohort.
Proof. Assume a move of a cohort-t firm within the hierarchy. Let 1 ω be the social welfare index when this moves enlarges the hierarchy (adding a cohort T+1) and ω2 be the same index when it modifies the size of an existing cohort (say t').

For a constant number of firms, adding new cohorts is always welfare improving. Said differently, introducing position-based asymmetries is welfare enhancing. It echoes and generalizes the result of Daughety (1990), which is restricted to T=2.
When both the number of stages and the number of firms are fixed, the following lemma shows how to improve welfare.
Lemma 5 For a fixed number of firms and cohorts, welfare improves as long as firms are relocated between cohorts until the difference of sizes between any two cohorts is at most equal to 1. For each relocation, welfare enhancement is greater when the firm is moved from the largest to the smallest cohort.
Proof. See Appendix C.
It can now be stressed the assumptions upon which positions of firms do not matter for social welfare, i.e. are invariant to specific modifications in the decision process. This property is called hierarchy neutrality.
Lemma 6 The linear economy is hierarchy neutral when relocation of firms consists of switching the whole cohorts within the hierarchy: this relocation does not affect social welfare.
Proof. Immediate: switching nt and nt' backward or forward in η1,T does not change the value of ω.
From the preceding lemmas, one can state the following proposition relative to the link between welfare and the structure of the economy.
Proposition 2 In this linear economy, maximizing social welfare can be achieved through two ways:
(i) As a priority, by enlarging the hierarchy.
(ii) Then, by successively relocating firms from the most to the less populated cohort until equalizing the size of all cohorts.
Proof. Proposition 2 ensues from Lemmas 4 to 7.
This proposition could also be used to analyze how entry affects welfare. If new firms enter the economy, the increase in welfare is greater if new cohorts are created rather than if those firms integrate existing cohorts.
Conclusion
The paper investigates a hierarchic T-stage oligopoly model. It states that followers do not matter in the linear case, i.e. under constant identical marginal costs and linear demand. This means that at any stage each firm behaves as a Cournotian oligopolist on residual demand. In addition, the two discount factors presented in this paper enable us to characterize to fully characterize the market outcome of the linear economy, especially in terms of strategies and welfare.
In Julien, Musy and Saïdi (2011), we show that this property holds in the linear economy exclusively, provided the marginal cost is strictly positive. Once one of the linear assumptions is relaxed, the results disappear. However, the linear economy is a useful benchmark to determine the optimal strategies of firms in more general and complex economies.
References
Amir, Rabah and Grilo, Isabel (1999). ''Stackelberg versus Cournot equilibrium'', Games and Economic Behavior, Volume 26, Isuue 1, pp. 1-21.
Anderson, Simon and Engers, Maxim (1992). ''Stackelberg versus Cournot equilibrium'', International Journal of Industrial Organization, Volume 10, Isuue 1, pp. 127-135.
Boyer, Marcel and Moreaux, Michel (1986). ''Perfect competition as the limit of a hierarchical market game'', Economics Letters, Volume 22, Isuue 2-3, pp. 115-118.
Carlton, Dennis and Perloff, Jeffrey (1994). Modern industrial organization, New- York: HarperCollins. dauGhety, Andrew (1990). ''Beneficial concentration'', American Economic Review, Volume 80, Isuue 5, pp. 1231-1237.
De Quinto, Javier and Watt, Richard (2003). ''Some simple graphical interpretations of the Herfindahl-Hirshman index'', mimeo.
Etro, Federico (2008). ''Stackelberg competition with endogenous entry'', Economic Journal, Volume 118, Isuue 532, pp. 1670-1697.
Heywood, John and McGinty, Matthew (2007). ''Mergers among leaders and mergers among followers'', Economics Bulletin, Volume 12, Isuue 12, pp. 1-7.
Heywood, John and McGinty, Matthew (2008). ''Leading and merging: convex costs, Stackelberg, and the merger paradox'', Southern Economic Journal, Volume 74, Isuue 3, pp. 879-893.
Julie, Ludovic and Musy, Olivier (2011). ''A generalized oligopoly model with conjectural variations'', Metroeconomica, Volume 62, Isuue 3, pp. 411-433.
Julie, Ludovic; Musy, Olivier and Saïdi, Aurélien (2011). ''On hierarchical competition in oligopoly'', mimeo, Université Paris Ouest - Nanterre La Defense (15p).
Matsumura, Toshihiro (1999). ''Quantity-setting oligopoly with endogenous sequencing'', International Journal of Industrial Organization, Volume 17, Isuue 2, pp. 289-296.
Pal, Debashis and Sarkar, Jyotirmoy (2001). ''A Stackelberg oligopoly with nonidentical firms'', Bulletin of Economic Research, Volume 53, Isuue 2, pp. 127- 135.
Sherali, Hanif (1984). ''A multiple leader Stackelberg model and analysis'', Operation Research, Volume 32, pp. 390-404.
Vives, Xavier (1999). Oligopoly pricing. Old ideas and new tools, MIT Press, Cambridge, Massachussets.
Von StackelberG, Heinrich (2010). Market Structure and Equilibrium, Springer, Berlin.
Watt, Richard (2002), ''A generalized oligopoly model'', Metroeconomica, Volume 53, pp. 46-55.
Appendix
Appendix A. Proof of Lemma 1
The proof is by backward induction and structured in three steps.
Step 1: assume equation (2) is true for cohort t = T−1 (with T > 1).
The inverse demand function faced by firms (blue line) is defined by:

where
is the aggregate production of cohort τ. For any quantity of
output XT − 1 produced by cohort T−1, the resulting residual demand faced by
followers of cohort T is:

where
is considered as given by followers. Geometrically, followers must
select a couple (X, p) on the segment [D, A].
When acting symmetrically, the associated marginal revenue of cohort-T firms (red line) is defined by:5

Considering the following derivatives:

it comes that:

Finally, applying Thales' theorem to triangles ABC and ADF leads to:

Actually, EF is the markup of a leader after the entrance of the last cohort, while DF is the markup of a leader before the entrance of cohort T. Equation (A.1) can be rewritten as:

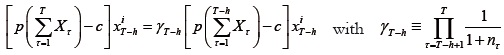
Step 2: assume equation (2) is true for any cohort t = T − h (1 ≤ h ≤ T−2) then it is true for cohort T – h – 1.
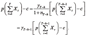
If equation (2) holds for cohort T − h then:

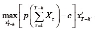
Thus, maximizing firm i's profit is tantamount to maximize the T−h-stage profit defined as follows:

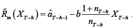
When firms of cohort T−h act symmetrically, the corresponding marginal revenue (red line) is defined by:6

In the same way as in step 1, it can be shown that:

By assumption, the following property is satisfied:

We deduce from the two previous equations that:

Step 3: from steps 1 and 2 we conclude by backward induction that equation (2) is true for any cohort t (with 1 ≤ t ≤ T−1).
Appendix B. Proof of Lemma 2
Applying Thales' theorem to triangles ABC and ADF leads to:

Actually, CF is the optimal output produced by cohort t, that is Xt, while AF is the maximal quantities cohort t can produce to generate non-negative profit (equal to the difference between the perfect competition equilibrium supply and the output already produced by the previous cohorts). The property above can be rewritten as:

Notice that AC is also the maximal quantities cohort t + 1 can produce to generate non-negative profit. Then, equation (B.1) applied to cohorts t and t + 1 becomes:

By backward induction, it turns out that:

Appendix C. Proof of Lemma 6
Maximizing the welfare index ω is tantamount to maximize:

Substituting nT by
into the objective function, deriving with
respect to
, and assuming the n'τs are infinitely divisible yields the
following first-order conditions:

or equivalently (in addition with the definition of nT):

Notice that for this value of nτ the omitted constraint
is satisfied
for any
.

where I is the identity matrix. The eigenvalues of
and
(the associated eigenspaces have dimension 1 and T−1 respectively).
Matrix M is then negative definite:
• The unique solution to the first-order conditions is a global maximum when n/T is an integer.
• There are multiple optima when n/T is not an integer. Due to the strict
concavity of the objective function, these optima must be as close as possible
to the hypothetical solution above. In other words they must minimize the
distances
The minimum value of
these distances is 1 and can be obtained as follows.
Let m < T be an integer such that (n −m)/T = [n/T]. An optimum is such that there are T−m cohorts populated by [n/T] firms and the other m cohorts by [n/T] +1 firms. The number of combinations of m cohorts out of T defines the number of optima.
Notice that the most populated cohorts embody one more firm than the less populated cohorts.
When n/T is not an integer and for given values of the nτ's, the more
efficient way to get closer to the hypothetical optimal as one firm is relocated
consists in reducing the largest distance, e.g.
Without loss of generality,
assume that the difference
is positive. Then, it is not efficient for social
welfare to relocate the firm in a cohort t' with
since this move decreases
but increases
. The firm must be relocated in a cohort τ such that
. Within this set of cohorts, the cohort with the largest
will be
selected since the reduction of the distance is the highest.
The argument is similar when the difference
is negative. As a
conclusion, social welfare is more efficiently improved when relocating a firm
from the most to the less populated cohort.
NOTAS
* We are grateful to C. Bidard for his comments and remarks.
1 This denomination comes from Boyer and Moreaux (1986).
2 Julien and Musy (2011) develop Watt (2002) by considering various degrees of competition between the followers.
3 The standard Stackelberg duopoly prevails when T = 2 and n1 n2 = 1 .
4 We therefore do not question the way a specific firm could or should become a leader (see Anderson and Engers, 1992; Amir and Grilo, 1999; Matsumura, 1999).
5 This function is derived from the total revenue of a follower i:
. The symmetric behavior assumed for followers yields: xiT = xT for all
.
6 The associated marginal revenue is: 