ARTÍCULOS
Composición de las exportaciones y crecimiento económico en la Comunidad Andina de Naciones
Export composition and economic growth in the Andean Community of Nations
Composition des exportations et la croissance économique dans la Communauté Andine des Nations
Silvia Reyes*; Sergio Jiménez**
* Profesora Departamento de Economía, Universidad de Pamplona, Colombia. Dirección postal: Condominio Tamarindo Contemporáneo casa M-14, La Parada, Villa del Rosario, Norte de Santander. Dirección electrónica: [email protected].
** Profesor Asistente Departamento de Economía, Universidad de Pamplona, Colombia. Dirección postal: Condominio Tamarindo Contemporáneo casa M-14, La Parada, Villa del Rosario, Norte de Santander. Dirección electrónica: [email protected].
–Introducción. –I. La hipótesis del crecimiento impulsado por las exportaciones. –II. Modelo teórico y metodología empírica. –III. Estimación y resultados. –Conclusiones. –Anexos. –Bibliografía
Primera versión recibida en junio de 2012; versión final aceptada en septiembre de 2012
RESUMEN
Este trabajo analiza la relación entre la composición de las exportaciones y el crecimiento económico. Partiendo de la estructura desarrollada por Feder (1983) y Crespo-Cuaresma y Wörz (2005), se desarrolla un modelo con datos de panel para el periodo 1970-2009 para Bolivia, Colombia, Ecuador, Perú y Venezuela, países miembros de la CAN (excepto Venezuela desde 2011). El análisis se hace para los países en conjunto, e individualmente, mediante el método SURE, avanzando en el grado de desagregación de las exportaciones, y finalmente agrupándolas de acuerdo con el nivel de intensidad tecnológica. Los resultados indican que la influencia de la estructura exportadora es diversa entre estos países y está repartida entre diferentes tipos de exportaciones, pero la mayoría de las exportaciones que afectan positiva y significativamente el crecimiento de los países de la CAN corresponden a la industria manufacturera y a las exportaciones con alto nivel tecnológico, y lo hacen vía efecto externalidad.
Palabras clave:Crecimiento económico, datos de panel, estimación SURE, composición de las exportaciones, CAN.
Clasificación JEL: C23, F14, O47, O54.
ABSTRACT
This paper analyzes the relation between export composition and economic growth. Based on the structure developed by Feder (1983) and Crespo-Cuaresma and Wörz (2005), we develop a panel data model involving Bolivia, Colombia, Ecuador, Peru and Venezuela, member countries of the Andean Community (except Venezuela since 2011), during 1970-2009. The analysis was made for the countries both jointly and individually using the SURE method, then focusing on the degree of disaggregation of exports, and finally grouping exports according to the level of technological intensity. The results suggest that the influence of the export structure is different across countries and is divided between different types of exports; but the majority of the exports that affect positively and significantly economic growth in the Andean Community countries correspond to the manufacturing industry and high technology, and they do so via externality effect.
Key words:Economic growth, panel data, SURE estimation, export composition, Andean Community.
RÉSUMÉ
Cet article analyse le rapport entre la composition des exportations et la croissance. Dans le cadre théorique élaboré par Feder (1983) et Crespo-Carême et Wörz (2005), nous proposons un modèle de données de panneau pour la Bolivie, la Colombie, l'Équateur, le Pérou et le Venezuela pour la période 1970-2009. Il s'agit des pays membres de la Communauté Andine à l'exception du Venezuela depuis 2011. L'analyse est fait pour chaque pays et pour les pays dans son ensemble à travers la méthode SURE. Nous analysons le degré de désagrégation des exportations pour ensuite les regrouper en fonction de leur niveau d'intensité technologique. Les résultats montrent que la structure des exportations est différente pour chaque pays et les effets sont répartis sur les différents types d'exportations. Nous montrons que la plupart des exportations qui ont un impact positif et significatif sur la croissance des pays andins, correspondent à l'industrie manufacturière et aux exportations de haute technologie. Cet impact est mise en œuvre à travers un effet d'externalité.
Mots clés:croissance économique, données de panneau, estimation SURE, composition des exportations, CAN.
Classification JEL: C23, F14, O47, O54.
Introducción
Uno de los principales debates que ha tenido lugar en las últimas décadas en el ámbito académico y político del comercio internacional ha apuntado a si los diferentes países deberían seguir políticas comerciales orientadas a proteger y fortalecer su aparato productivo, o si por el contrario, sería mejor promocionar su sector exportador para potenciar, de esa manera, un mayor crecimiento económico. En los últimos años ha recibido considerable apoyo en la literatura empírica la idea de orientar el sector productivo al exterior, sosteniendo que los países consiguen un mayor crecimiento cuando reducen significativamente sus grados de protección y se abren a la competencia internacional.
En años recientes se han publicado trabajos en los que se ha establecido empíricamente una importante relación entre crecimiento de las exportaciones y crecimiento económico. Aunque desde la década de 1970 algunos autores ya se refirieran formalmente al tema, como Michaely (1977), Balassa (1978) o Krueger (1980), entre otros, el primero en modelizar un mecanismo explícito que relacionara las exportaciones con el crecimiento de la producción agregada fue Feder (1983). Los resultados de su análisis empírico confirmaron la incidencia de las exportaciones mediante dos canales: un diferencial de productividad a favor de los sectores exportadores de la economía, así como un efecto externalidad positivo desde estos hacia los sectores no exportadores.
A pesar de la popularidad de la hipótesis del crecimiento impulsado por las exportaciones (ELG, por su sigla en inglés), la evidencia empírica es ambigua, con justificación tanto a favor como en contra de la misma. En particular, hay diferencias entre los trabajos realizados mediante datos de series de tiempo y aquellos de corte transversal. Como resultado, en el ámbito académico permanecen algunas dudas sobre la validez de dicha hipótesis. De esta relativa incertidumbre, que aún subsiste, han surgido las razones que han motivado este trabajo. Utilizando datos de panel se pretende aprovechar las ventajas tanto de los datos de series de tiempo como de los de corte transversal, y paliar sus desventajas. Además, sin ignorar los intentos que al respecto ya se han hecho, el objetivo principal de este trabajo es demostrar y cuantificar que no solo las exportaciones per se muestran un impacto sobre el crecimiento económico, sino que dicho impacto está determinado por la composición que presenten dichas exportaciones.
Partiendo de la estructura analítica desarrollada por Feder (1983) y Crespo-Cuaresma y Wörz (2005), en este trabajo se ha hecho una ampliación, incluyendo nuevas variables y analizando el impacto de varios sectores exportadores. Para esto se ha estimado un modelo con un panel de datos anuales para el periodo 1970-2009 para Bolivia, Colombia, Ecuador, Perú y Venezuela. La muestra se ha seleccionado porque son países en desarrollo muy similares que durante el periodo de estudio han experimentado diferentes estrategias comerciales, de proteccionismo al inicio y con un reciente cambio hacia políticas de apertura y expansión de sus exportaciones a partir de los años ochenta; y además porque juntos conforman el bloque comercial conocido como la Comunidad Andina de Naciones1.
La estimación se ha realizado a tres niveles. Primero se ha analizado el comportamiento de las exportaciones totales en el crecimiento de los cinco países de la muestra, para todo el periodo. Luego, se ha comprobado la importancia de la composición de las exportaciones, desagregándolas en doce diferentes categorías, para determinar cuáles impactan realmente en el PIB, y este proceso se ha repetido, estimando por el método SURE para mostrar el impacto de la composición de las exportaciones a nivel de cada país. Finalmente, se ha hecho una última prueba, agrupando las doce categorías de exportaciones en tres grandes grupos, dependiendo de su nivel de intensidad tecnológica.
La estructura del artículo es la siguiente. En el próximo apartado se hace una revisión de la literatura sobre la relación entre exportaciones y su composición con el crecimiento económico. En el tercer apartado se expone el modelo teórico y la metodología empleada. En el cuarto apartado se lleva a cabo la estimación y se muestran los resultados, ofreciendo un resumen y las conclusiones en el último apartado.
I. La hipótesis del crecimiento impulsado por las exportaciones
Uno de los temas que ha recibido considerable atención en los últimos años por parte de los economistas, ha sido la relación entre el crecimiento de las exportaciones y el crecimiento de la producción agregada. Entre los argumentos más relevantes a favor de la hipótesis de que las exportaciones influyen positivamente en el producto agregado, más allá de su participación contable, pueden contarse los siguientes: 1) a través de mejoras de eficiencia por incremento de la competencia (Balassa, 1978); 2) relajando la restricción de divisas para permitir incrementos en las importaciones de bienes de capital e intermedios (McKinnon, 1964); 3) aumentando la calidad de los productos por contacto con los consumidores del resto del mundo; 4) mediante el incremento del empleo y salarios reales, si la economía cuenta con exceso de mano de obra; 5) a través de una mayor productividad por la explotación de las economías de escala en la producción (Helpman y Krugman, 1985); y 6) por la mayor difusión de conocimiento técnico, que permite incrementar la tasa de formación de capital y el cambio tecnológico (Grossman y Helpman, 1991)2.
Algunos de los primeros trabajos en resaltar los aspectos benéficos de las exportaciones fueron Balassa (1978), Krueger (1980) y Feder (1983), entre otros. Sin embargo, en años recientes un buen número de estudios han intentado, por medio de diferentes técnicas, contrastar empíricamente la hipótesis ELG, por ejemplo, Michaely (1977), Tyler (1981), Hatemi e Irandoust (2000), Chang et al. (2009), entre otros. Donoso y Martín (2009) ofrecen una amplia revisión de los principales estudios empíricos que se han llevado a cabo para contrastar la hipótesis de las exportaciones como motor del crecimiento económico.
Sería Feder (1983) quien por primera vez desarrollara una estructura analítica para modelizar un vínculo explícito entre exportaciones y crecimiento, centrándose en un interesante mecanismo: la mayor productividad en el sector exportador de la economía que afecta positivamente al crecimiento en el sector no exportador de la economía, tomando la forma de una externalidad positiva (difusión de conocimiento y tecnología). Para el trabajo empírico, Feder utilizó datos de corte trasversal para el periodo 1964-1973, y se centró en un grupo de 31 países en desarrollo o semi-industrializados. Los resultados de sus estimaciones dan apoyo a la hipótesis de que las productividades marginales en el sector exportador son superiores y que las exportaciones generan externalidades positivas en el sector doméstico de la economía.
A partir de la estructura analítica de Feder (1983) han sido varios los autores que han intentado hacer sus aportaciones empíricas a la hipótesis ELG tomando distintas muestras temporales, espaciales y utilizando modelos tanto de series temporales como de corte transversal, entre ellos, Balassa (1985), Ram (1984), Moschos (1989), Salvatore y Hatcher (1991) e Ibrahim y Mac Phee (2003).
La evidencia empírica es ambigua. Los estudios con datos de corte transversal han dado un fuerte apoyo a dicha hipótesis y algunos de estos han concluido que esta se cumple cuando existe un ''efecto umbral'', es decir, cuando los países tienen un grado de desarrollo mínimo a partir del cual el crecimiento de las exportaciones comienza a tener un impacto positivo sobre el crecimiento económico. Al trabajar con datos de series de tiempo, no se puede proporcionar un apoyo uniforme a la hipótesis, ya que algunos trabajos conceden poco apoyo a esta o incluso la rechazan, por ejemplo, Jung y Marshall (1985) y Darratt (1987).
Sin embargo, en los últimos años se han publicado nuevos trabajos que articulan el pasado y el presente sobre la relación exportaciones-crecimiento, los cuales hacen uso de nuevas técnicas econométricas que posibilitan un análisis más certero. Estos estudios no solo evalúan dicha relación sino que además enfatizan la causalidad que puede existir entre esas dos variables. Básicamente, lo que plantean es que el crecimiento de las exportaciones, además de sustentar una mayor expansión de la economía, se beneficia del mejor desempeño económico, evitando así plantear una causalidad estricta entre el crecimiento de las exportaciones y la actividad económica en general. Entre otros pueden relacionarse aquí a Hatemi e Irandoust (2000), Balaguer y Cantavella-Jordá (2001), Ghirmay et al. (2001) y Awokuse (2008).
Mientras los investigadores iban acumulando más evidencia a favor de la hipótesis ELG, tomaba fuerza la idea de que distintos tipos de exportaciones tuvieran diferente grado de incidencia sobre el crecimiento del producto. Por ello, resulta importante analizar la composición de las exportaciones que realmente contribuyen a una mayor tasa de crecimiento.
A. Composición de las exportaciones
Algunos autores han querido profundizar más a partir de la hipótesis ELG indagando sobre el impacto de la composición de las exportaciones, argumentando que es probable que al estudiar cierto grupo de países se pueda encontrar que no solo es importante exportar sino también lo que se exporta. Es decir, para hallar una relación más satisfactoria entre las exportaciones y el crecimiento, es relevante mirar, dentro del contexto del país o grupo de países en estudio, qué exportaciones y qué ramas de la economía son las que realmente impulsan el crecimiento. Basados en esta idea, en las últimas dos décadas han surgido una serie de trabajos que han intentado demostrar los variados impactos que sobre el crecimiento económico pueden tener tipos heterogéneos de exportaciones. Entre estos se encuentran los trabajos de Fosu (1990), Ukpolo (1994), Ghatak et al. (1997), Greenaway et al. (1999), Balaguer y Cantavella-Jordá (2004), Crespo-Cuaresma y Wörz (2005), Hausmann et al. (2007) y Agosín (2009)3.
Una de las características diferenciadoras de estos estudios es el tratamiento de los datos utilizados. Fosu (1990) usa datos de corte transversal para una muestra de 64 países en desarrollo; Ukpolo (1994) hace lo propio para ocho países africanos; Ghatak et al. (1997) y Balaguer y Cantavella-Jordá (2004) utilizan datos de series de tiempo para un país en particular; mientras que Greenaway et al. (1999) y Crespo-Cuaresma y Worz (2005) hacen uso de datos de panel, combinando en sus muestras países industrializados y en desarrollo. En la mayoría de estos estudios la tasa de crecimiento del PIB está relacionada con la tasa de crecimiento de los diferentes tipos de exportaciones y un conjunto de variables explicativas adicionales, usualmente relacionadas con la fuerza de trabajo y la inversión.
En cuanto a la desagregación de las exportaciones, Ukpolo (1994) y Ghatak et al. (1997) toman las exportaciones de bienes primarios sin petróleo, las exportaciones de petróleo y las de productos manufacturados. Fosu (1990) las divide simplemente en exportaciones primarias y manufactureras, mientras que Balaguer y Cantavella-Jordá (2004) y Greenaway et al. (1999) avanzan un poco más en el grado de desagregación al separarlas, el primero en exportaciones de alimentos y bienes agrícolas, de bienes primarios y de bienes manufacturados, y el segundo en las categorías de combustible, alimentos, metales, otros bienes primarios, maquinaria, textiles y otras manufacturas. El trabajo de Crespo-Cuaresma y Worz (2005), desagrega, de una manera particular, las exportaciones. Ellos incluyen 33 sectores exportadores, pero los clasifican en tres grupos diferentes dependiendo de su intensidad tecnológica en: exportaciones no manufactureras, de baja intensidad tecnológica y de alta intensidad tecnológica.
Todos los trabajos anteriores coinciden al concluir que existe una influencia positiva de las exportaciones sobre el crecimiento, y con excepción de Ukpolo (1994) y Balaguer y Cantavella-Jordá (2004), encuentran que esa influencia puede ser atribuida casi enteramente al contenido manufacturero de las exportaciones. En el caso de Crespo-Cuaresma y Wörz (2005) son las exportaciones más intensivas en tecnología las que son cruciales para las perspectivas de crecimiento de un país.
II. Modelo teórico y metodología empírica
A. Modelo teórico
Se parte de la base teórica desarrollada por Feder (1983) y Crespo-Cuaresma y Wörz (2005). Los últimos incluyen varios sectores exportadores.
El modelo planteado por Feder (1983) parte de una típica función de producción neoclásica con los factores de producción capital y trabajo, y añade a estos las exportaciones. Presenta una visión de la economía como si estuviera conformada por dos sectores distintos: uno que produce para la exportación y otro para el mercado doméstico. Por lo tanto, en vez de una función de producción nacional agregada, formula funciones de producción separadas para cada uno de estos sectores:


Donde N(t) representa la producción no exportadora de la economía, Xi(t) la producción exportadora, y se asume que hay S diferentes sectores exportadores; KN(t), LN(t) y Ki(t), Li(t) son los stocks de capital y trabajo usados en el sector no exportador y en el sector exportador i, respectivamente.
Se asume, además, que las productividades marginales de los factores son diferentes entre sectores, en otras palabras, que los cocientes entre las productividades marginales del sector exportador y el sector doméstico se desvían de la unidad en una cuantía igual a δi, es decir, que son iguales a 1 + δi.

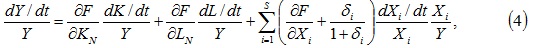
Teniendo en cuenta que el efecto externo de las exportaciones (Xi) sobre el sector no exportador se aproxima con la derivada parcial del producto con respecto a X(Fxi), incluyendo las exportaciones como un factor en la función de producción doméstica y después de algunas manipulaciones, el resultado es una ecuación que muestra la relación entre la tasa de crecimiento del producto total (Y) y el cambio en el acervo de capital (aproximado por la ratio inversión doméstica privada bruta sobre producto total), la tasa de crecimiento del empleo, y la tasa de variación de la ratio exportaciones sobre producto total,

donde,
. Supone además que hay una relación lineal entre la productividad marginal del trabajo en un sector y el producto promedio por trabajador en la economía, por lo que la ecuación (4) puede reescribirse, teniendo en cuenta la división de las exportaciones, como:

Esto permite estimar empíricamente el coeficiente para la última variable, que mide la cantidad en la cual la productividad marginal de los factores en cada sector exportador excede a la del resto de la economía4, aunque los dos canales que componen este impacto diferencial (efecto externalidad y efecto diferencial de productividad) no pueden ser identificados empíricamente.
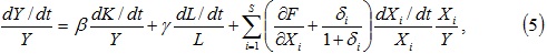
Como plantean Crespo-Cuaresma y Wörz (2005), en el espíritu de Feder (1983), se puede obtener una especificación más adecuada para trabajos aplicados si la función de producción del sector no exportador es parametrizada como:

Para los parámetros Ψi
R i=1,..,S. Esta parametrización implica que
y, así, (5) puede reescribirse como:

en la que se pueden distinguir los dos canales que pueden ser responsables de la influencia de las exportaciones en el PIB: el diferencial de productividad, [(δ/1+δ)], y la externalidad que el sector exportador produce sobre el no exportador, dada por (Ψ).
B. Metodología empírica
Como se ha mencionado, en el ámbito académico existen algunas dudas sobre la validez de la hipótesis ELG, entre otras causas porque se obtienen diferentes resultados entre los trabajos realizados mediante series de tiempo y aquellos de corte transversal. En este sentido, una fortaleza subyacente del estudio que aquí se presenta es el uso de técnicas de datos de panel5.
En cuanto a la muestra de países seleccionada para este estudio (Bolivia, Colombia, Ecuador, Perú y Venezuela) obedece a dos razones. Primero, en la literatura económica se ha privilegiado el análisis empírico de relaciones entre variables de países desarrollados o industrializados. Sin embargo, conforme se avanzaba en las últimas dos décadas del siglo XX, algunos autores empezaron a tener en cuenta en sus trabajos a economías en desarrollo. En lo que se refiere a la contrastación empírica de la hipótesis ELG, existe un considerable número de trabajos publicados en los que se incluye únicamente economías en desarrollo, y otros en los que se combinan unos y otros. Con el fin de observar, quizá, si los países en desarrollo se rigen por los mismos postulados y leyes económicas que los desarrollados, o nada más que por creer que los primeros también pueden ser importantes para un análisis más completo del tema en cuestión.
En segundo lugar, Bolivia, Colombia, Ecuador, Perú y Venezuela conforman una Zona de Libre Comercio conocida como Comunidad Andina de Naciones (CAN). Se constituye en el bloque comercial más antiguo del continente americano, ya que existe desde 1969, tras la firma del Acuerdo de Cartagena.
En la decisión de realizar el análisis del impacto del aumento en las exportaciones y la composición de estas sobre el crecimiento económico aplicándolo a la Comunidad Andina influyó el hecho de que estos países, durante el periodo de estudio, han experimentado diferentes estrategias comerciales, de marcado proteccionismo al inicio y con un reciente cambio hacia políticas de apertura y expansión de sus exportaciones a partir de los años ochenta.
Como resultado de estos cambios, los países de la CAN han visto un aumento en sus exportaciones y un cambio estructural en la composición de estas, pues han logrado en la última década una participación promedio de las exportaciones totales en el PIB del 23,3%, desde un 18,1% en los años setenta del pasado siglo. Entre 1990 y 2009 las mayores ventas externas pertenecieron a la industria manufacturera (46,2% en promedio), seguidas de productos del grupo de explotación de petróleo, gas, minas y canteras (38,4%), y en tercer lugar, por productos de la agricultura, ganadería, caza, pesca y silvicultura (15,4%); mientras que en la primera mitad del periodo (1970-1989), las proporciones para estos tipos de exportaciones fueron 40,9%, 37,6% y 21,6%, respectivamente, mostrando que la importancia relativa de las exportaciones de manufacturas aumentó a lo largo del periodo de estudio en detrimento de las exportaciones agropecuarias. Lo anterior hace a la CAN un caso de estudio especialmente interesante.
1. Variables y datos
Partiendo de la base teórica anteriormente descrita, y después de una pequeña manipulación de las ecuaciones (5) y (7) para incluir nuevas variables –habituales en la literatura de crecimiento– que pueden ser influyentes en el crecimiento de los países de la muestra tomada en este estudio, así como la desagregación de las exportaciones totales en varios sub-sectores exportadores, las ecuaciones a estimar en este estudio son:

En las que ΔYit/Yit es la tasa de crecimiento anual del PIB real para el país i en el periodo t, ΔIit/Yit es el capital, aproximado por la tasa de crecimiento anual de la ratio de formación bruta de capital fijo sobre el PIB, (INV), ΔLit/Lit es la tasa de crecimiento anual de la fuerza laboral (L), ΔKHit/KHit es la tasa de crecimiento del capital humano, aproximado por los años medios de estudio en escuela secundaria6 (KH), (INFL) es la inflación, tomada como porcentaje de cambio anual de los precios al consumidor, (PREX) es el precio de las exportaciones, (ΔXr,it/Xr,it)(Xr,it/Yr,it) es la tasa de crecimiento anual del sector exportador r ponderado por su participación en el PIB, ρr muestra el impacto vía externalidad del sector exportador r, πr = δr/1+δr muestra el impacto vía diferencial de productividad, mientras que φr da el efecto combinado de ambas vías.
El análisis empírico usa un panel de datos anuales para el periodo 1970-2009 para los cinco países miembros de la CAN. Los datos de PIB, fuerza laboral e inflación fueron obtenidos del World Development Indicators (2010) del Banco Mundial. Los datos de capital humano fueron tomados de Barro y Lee (2010). Los datos de exportaciones son tomados del ''Banco de Datos Estadísticos de Comercio Exterior – BADECEL'' de la Base de Datos en Línea BADESTAT de la CEPAL.
Las exportaciones solo están disponibles en valores corrientes, y no se publican los precios correspondientes desagregados; por esta razón se ha incluido una variable de precio de las exportaciones(PREX), igual para todas las desagregaciones de exportaciones, que pretende descontar la (a menudo importante) variación de precios en el crecimiento de las exportaciones latinoamericanas. Los datos para esta variable se obtuvieron a partir de los datos sobre exportaciones agregadas constantes y corrientes de la Penn World Table (versión 7.0).
La estimación de las ecuaciones, teniendo en cuenta las diferentes desagregaciones de las exportaciones, se hace en dos etapas, por lo que el número de sectores exportadores (s) en las ecuaciones a estimar varía dependiendo de la fase en la que se haga el análisis. Las exportaciones se toman primero de manera agregada, como exportaciones totales (X), y luego se dividen en 12 categorías: exportaciones de agricultura, ganadería, caza, pesca y silvicultura (XAGR), producción de petróleo crudo, gas natural, explotación de minas de carbón, extracción de minerales metálicos y otros (XMIN), productos alimenticios, bebidas y tabaco (XALBT), textiles, prendas de vestir e industria del cuero (XTVC ), industria de la madera y productos de madera (XMAD), fabricación de papel, productos de papel e imprenta (XPAP), fabricación de sustancias y productos químicos (XQUI)7, fabricación de productos de caucho y plástico (XCAUPLA), productos minerales no metálicos (XMINOM), industrias metálicas básicas, fabricación de productos metálicos (XMINMET), fabricación de maquinaria y equipo eléctrico, electrónico y científico, y equipo de transporte, (MAQYEQ), y otras manufacturas (XOINMANU).
III. Estimación y resultados
En esta sección se presentan los resultados de la estimación del modelo empírico para las ecuaciones (8) y (9). La estimación se realizó bajo el método de MCO, aplicando la técnica de datos de panel para el modelo, que permite el análisis de los efectos fijos para cada uno de los cinco países8. Los efectos fijos reflejan el conjunto particular de circunstancias constantes a lo largo del tiempo que influyen en los resultados productivos de cada país y no son captados por los factores específicos usados en la función de producción tales como las condiciones climáticas, la estructura productiva o factores institucionales propios de cada país. En el Anexo 1 se presentan los estadísticos descriptivos de las variables empleadas, mientras que en el Anexo 2 se muestra la matriz de correlaciones.
A. Exportaciones agregadas
Los resultados de la estimación para la especificación dada en (8) y (9) para las exportaciones totales agregadas se presentan en la Tabla 1. La columna A muestra los resultados de la ecuación (8) que permite ver el impacto diferencial global de los factores del sector exportador sobre el crecimiento. La columna B muestra los resultados de la ecuación (9) en la cual se pueden distinguir por separado los dos canales que componen el impacto diferencial, es decir, en la que se identifica específicamente el efecto de externalidad inter-sectorial y el diferencial de productividad en sí. Al comparar las dos columnas puede destacarse cómo aumenta el poder explicativo de la ecuación cuando se miden los dos efectos de las exportaciones por separado, además del impacto de la inflación y el crecimiento de los precios de exportación sobre el PIB.
Como se esperaba, el coeficiente de la variable capital (INV) tiene signo positivo y es estadísticamente significativo al nivel del 1%. El impacto del aumento de la fuerza laboral es negativo y el del capital humano positivo. En la columna B el capital humano cambia de signo pero sin significatividad. Asimismo, el coeficiente negativo y significativo de la inflación en la columna B confirma el efecto adverso que esta variable tuvo sobre el crecimiento económico en estos cinco países durante el periodo de estudio. La variable PREX (variación del precio de las exportaciones) presenta resultados alternos y sin significatividad estadística9.
La hipótesis asumida por Feder de que las productividades marginales en el sector exportador son mayores y que las exportaciones generan externalidades positivas, parece no cumplirse en el caso de los países de esta muestra tomando las exportaciones agregadas, pues los resultados de la estimación en la columna A las exportaciones muestran una correlación negativa con el crecimiento del PIB. Al medir por separado los efectos del diferencial de productividad (columna B), el parámetro de externalidad inter-sectorial (ρ) es positivo y significativo, indicando que las exportaciones tienen un efecto de externalidad positivo sobre el sector doméstico.
En cuanto al diferencial de productividad, el coeficiente significativo para la variable TCX/Y (columna B) y el valor resultante de δ = -0,092 indica que el sector exportador agregado de los países de la muestra está caracterizado por un nivel de productividad menor que el del sector doméstico.
Una interpretación de estos resultados puede relacionarse con la que hacen Ibrahim y MacPhee (2003). Para seis de los 30 países semi-industrializados de su muestra obtienen un diferencial de productividad negativo para el sector exportador y lo atribuyen a que las exportaciones de esos países están concentradas especialmente en productos primarios. Este puede ser el caso de países como Colombia, Venezuela y Ecuador, en los que más del 60% de sus exportaciones pertenecen a sectores primarios, de donde puede resultar el diferencial de productividad (d) negativo. Para averiguar si esto es cierto, ha de desagregarse el efecto de los diferentes tipos de exportaciones.
B. Exportaciones desagregadas
En aras de ganar profundidad en la identificación del canal de impacto de las exportaciones sobre el crecimiento, en esta segunda fase estas se desagregan. Se busca entonces una mejor explicación sobre cuáles sectores exportadores son los que realmente impactan en el crecimiento de estos países, y por medio de qué vía. La Tabla 2 muestra los resultados. Los parámetros de las variables capital, trabajo, capital humano, inflación y precios de las exportaciones conservan el comportamiento que mostraban en las estimaciones anteriores. Analizando el impacto global de las exportaciones (columna A), solamente las exportaciones de productos químicos (XQUI) presentan un impacto positivo y significativo sobre el crecimiento económico. En contraste, las exportaciones de productos agropecuarios (XAGR), las de productos minerales no metálicos (XMINOM) y las de productos metálicos excepto maquinaria y equipo (XMINMET) muestran un impacto negativo en el crecimiento de estos países. En los resultados de la columna B ninguna de las cuatro agrupaciones de exportaciones con coeficiente positivo alcanza significatividad estadística, mientras que las exportaciones de productos alimenticios, bebidas y tabaco (TCXALBT/Y) tienen un diferencial de productividad mayor y significativo que los sectores domésticos de la producción (δ = 0,144). No obstante, los resultados reflejan la presencia de externalidades negativas de estas exportaciones sobre la economía doméstica.
Por su parte, las exportaciones agropecuarias (TCXAGR/Y) están caracterizadas por un nivel de productividad menor que el del sector no exportador (δ = -0,138), al igual que las de textiles, prendas de vestir y artículos de cuero (TCXTVC/Y) y las de productos minerales no metálicos (TCXMINOM/Y), (con δ = -0,056 y -0,009 respectivamente), aunque el coeficiente positivo y significativo del efecto externalidad de estas tres agrupaciones (0,1820; 0,0752 y 0,0106, respectivamente) permite ver que un aumento de este tipo de exportaciones, por medio de un impacto indirecto, repercute de forma positiva en el crecimiento del PIB.
En general, al analizar los países de la muestra en su conjunto, se observa que la tasa de crecimiento de las exportaciones agregadas (Tabla 1 columna A) impacta en el crecimiento del PIB de manera positiva por medio de un efecto externalidad y negativa por el efecto productividad, siendo mayor el primero de estos. Aunque al desagregar a 12 tipos de exportaciones puede verse de una manera más amplia el impacto de las diversas opciones exportadoras de estos países sobre su crecimiento económico, sería interesante ver y analizar los diferentes impactos de estas en cada uno de los países con el ánimo de intentar identificar una tipología clara de exportaciones con efectos positivos o negativos sobre el crecimiento del PIB. Esto se intenta a continuación.C. Estimaciones SURE
Los resultados poco concluyentes obtenidos en la sección anterior pueden deberse también a que, pese a la relativa similitud que presentan estas cinco economías en sus niveles de desarrollo y de estructura económica y productiva, es probable que las diferencias en la composición y evolución de sus exportaciones –no captadas por los efectos fijos–, impidan obtener un comportamiento promedio estadísticamente significativo en los efectos de sus exportaciones.
Teniendo en cuenta esta consideración, y con el objeto de explotar en mayor grado los datos se estimará el modelo de una nueva forma en la que se pretende analizar el comportamiento de las exportaciones de manera individual en cada país. Para esto se realiza una estimación usando el método SURE (Seemingly Unrelated Regresion Estimation)10.
Las matrices de correlaciones de los residuos para las estimaciones de cada nivel de desagregación de las exportaciones muestran que el método SURE es apropiado en este caso, puesto que, efectivamente, las covarianzas son mayoritariamente distintas de cero y, en varios casos, elevadas, mostrando importantes correlaciones contemporáneas que es necesario tener en cuenta en la estimación . Se prueba la ecuación (9) para la desagregación en doce tipos de exportaciones. Los resultados que se presentan en la Tabla 3, como primera medida, muestran que, aunque pueden coincidir en varios casos, cada país tiene un comportamiento particular de sus sectores exportadores que repercute de forma diferente en el crecimiento del PIB.
El signo positivo y significativo que se obtuvo para el coeficiente de la tasa de crecimiento de las XAGR en la Tabla 2, en esta nueva estimación se confirma solamente para Ecuador, mientras que como novedad aparece el abultado efecto negativo de estas exportaciones sobre la economía venezolana. De la misma manera, en la estimación conjunta, la tasa de crecimiento de XALBT mostraba un impacto negativo, vía externalidad, pero al mirar la estimación por países, puede verse que estas tienen un importante impacto positivo y significativo sobre Colombia y Perú, aunque negativo para Venezuela. La tasa de crecimiento de las XMINOM para los países en conjunto, mostró un coeficiente positivo y estadísticamente significativo, pero ahora, al desagregar por países, se encuentra un impacto positivo de este tipo de exportaciones, vía externalidad, solo para Ecuador y Perú, y negativo para Bolivia.
Analizando por países, en Bolivia, hay sectores exportadores que inciden positivamente sobre el crecimiento económico por la vía de las externalidades y hay otros diferentes que hacen lo propio mediante un mayor diferencial de productividad. Entre los primeros se cuentan XMAD, XPAP y XOINMANU, mientras que para el segundo caso se tiene a XCAUPLA, XMINOM y XMAQYEQ. Aquí debe destacarse a las exportaciones de madera y productos de madera junto con las exportaciones de productos minerales no metálicos por ser los dos sectores que arrojan el mayor coeficiente en cada caso. En Colombia, los datos muestran que el impacto positivo sobre el crecimiento viene por medio de las externalidades que sobre él tienen las exportaciones de MIN, ALBT, MAD y MINMET, aunque, cabe resaltar que las exportaciones de textiles, prendas de vestir e industria del cuero (TVC), junto con las exportaciones de productos de caucho y de plástico (CAUPLA), muestran sendos diferenciales de productividad mayores al de los sectores domésticos, los cuales inciden por esta vía positivamente sobre el crecimiento del PIB del país. En Ecuador son las exportaciones de AGR, TVC, MAD, PAP y MINOMlas que inciden en el crecimiento vía externalidad positiva, pero, además, aparecen potenciando el crecimiento económico por medio de una mayor productividad marginal de los factores las exportaciones de productos minero-energéticos (MIN) y las de maquinaria y equipo eléctrico, electrónico y científico (MAQYEQ). En Perú, 10 sectores exportadores contribuyen positivamente al crecimiento del PIB, pues las exportaciones de ALBT, PAP, QUI, MINOM y MINMET, lo hacen vía externalidad, y XMIN, XMAD, CAUPLA, y MAQYEQ y OINMANU, presentan un diferencial de productividad mayor que el de la producción doméstica. Finalmente, en Venezuela, las exportaciones de los sectores MAD, PAP, QUI y CAUPLA inciden en un mayor crecimiento del PIB vía externalidad positiva, mientras que los sectores exportadores AGR, MIN, ALBT y OINMANU contribuyen a aumentar el crecimiento económico merced a la mayor productividad marginal de los factores con que cuentan.
En resumen, los coeficientes muestran que generalmente los sectores que aportan al crecimiento vía externalidad no son los mismos que presentan mayores niveles de productividad con respecto al sector doméstico. Los sectores exportadores que son comunes entre la mayoría de los países por presentar efectos positivos sobre el crecimiento del PIB por medio de externalidades sobre el sector doméstico son MAD, PAP y QUI, todos incluidos dentro del grupo de los manufactureros. Así mismo, puede señalarse a sectores exportadores como MIN, CAUPLA y MAQYEQ como los más comunes entre la mayoría de países por mostrar efectos positivos sobre su crecimiento económico gracias a una mayor productividad marginal de los factores. Las dos últimas se enmarcan dentro de las exportaciones manufactureras.
En general, puede verse que la influencia de la estructura exportadora es diversa entre países y repartida entre los tres grandes sectores exportadores. Con esto queda aclarado el asunto de la presunta debilidad que presentaban los resultados para el conjunto de los cinco países (Tabla 3), pues a nivel individual puede observarse la heterogeneidad en el impacto de cada sector exportador en cada país. Es de destacar, sin embargo, que para todos los países la mayoría de las exportaciones que impactan positiva y significativamente, sea vía externalidad o por mayor nivel de productividad, corresponden a la industria manufacturera.
En síntesis, los resultados muestran que, aunque efectivamente las exportaciones sí contribuyen al crecimiento del PIB, las dos vías por las que se produce este impacto están repartidas entre los sectores exportadores (en su mayoría manufactureros), en el sentido de que, los que aportan a través de incrementos en productividad, son diferentes a los que están impulsando el crecimiento económico en estos países por medio de efectos de externalidades positivas.D. Exportaciones con diferente intensidad tecnológica
Motivados por los indicios obtenidos en el apartado anterior y por los resultados del estudio de Crespo-Cuaresma y Wörz (2005), en el que plantean que ''la reestructuración hacia patrones de exportación más intensivos en tecnología es crucial para las perspectivas de crecimiento de largo plazo de un país'' (Crespo-Cuaresma y Wörz, 2005, p. 48), a continuación se hace una última prueba en la que se agrupan las doce categorías exportadoras en tres grupos diferentes de acuerdo con su nivel de intensidad tecnológica, basados en la clasificación hecha por estos mismos autores. Con esta base, se identifican tres sectores exportadores: XNT son las exportaciones no manufactureras, XLT representa las exportaciones de baja tecnología y XHT las exportaciones intensivas en tecnología, como se muestra en la Tabla 4.
Esta clasificación se hizo teniendo en cuenta una particularidad. Debido a que la muestra de países de este estudio son economías en desarrollo y con un nivel de sofisticación industrial relativamente bajo, y además, la desagregación de las exportaciones disponible en la base de datos empleada no es muy amplia, algunas de las industrias más intensivas en tecnología para estos países, tan solo se considerarían de media o media-alta intensidad tecnológica para otros, por ejemplo los de la OCDE.
En la Tabla 5 se presentan los resultados del análisis de panel con esta reclasificación de las exportaciones, los cuales exponen que para la muestra de países en desarrollo de este estudio son las exportaciones no manufactureras y las de alta intensidad tecnológica las que, vía externalidad, están impactando en el crecimiento económico. El aspecto más importante a destacar es que el diferencial de productividad (δ) de las XHT es positivo y significativo (0,060) indicando que la productividad marginal de los factores en los sectores de exportaciones intensivas en tecnología es mayor que la del sector doméstico de estos países. Significa que las XHT inciden positivamente sobre el crecimiento del PIB mediante los dos canales analizados en este estudio: vía externalidad y vía mayor productividad.
Así, en los países de la CAN, el exportar bienes no manufactureros (AGR y MIN) y bienes intensivos en tecnología (QUI, MINOM, MINMET y MAQYEQ) está generando un incremento en el crecimiento de la producción agregada debido a los positivos efectos externalidad (difusión de conocimiento y/o tecnología) que este tipo de exportaciones aporta al sector doméstico, y al mayor diferencial de productividad (solo para el caso de las XHT) respecto al sector no exportador. Los coeficientes indican que, por medio del primer canal, un aumento de 1% en las exportaciones no manufactureras produce un incremento del PIB de 0,15%, y un aumento de 1% de las exportaciones de alto nivel tecnológico repercute en un crecimiento del PIB de un 0,038%. Entre tanto, mediante el segundo canal, el coeficiente indica que un incremento de 1% en las exportaciones de bienes intensivos en tecnología causa un aumento del PIB del orden del 0,057%. Sin duda, estos resultados abren espacio para que la política industrial y la política comercial incorporen elementos que apunten a potenciar los sectores exportadores que son intensivos en tecnología, como lo afirman Crespo-Cuaresma y Wörz (2005), ''aun cuando estos países cuenten con ventajas comparativas provenientes de bajos costos laborales y abundancia de ciertos recursos naturales'' (Crespo-Cuaresma y Wörz, 2005, p. 47). El efecto negativo de 0,133% en el crecimiento del PIB por un aumento de 1% en las exportaciones de baja intensidad tecnológica a través de externalidades es en términos promedio, lo que no excluye que existan algunos sectores tales como fabricación de productos de madera y papel que tengan un efecto individual positivo sobre el crecimiento.
Como ha sido costumbre en el presente trabajo, también aquí se lleva a cabo la estimación mediante el método SURE para evaluar cuál es el sector exportador, de acuerdo con su nivel tecnológico, que impacta en el crecimiento de cada país. En la Tabla 6 se presentan los hallazgos. Los resultados por países parecen ahora más matizados. Así, el sector exportador no manufacturero tiene un impacto positivo y significativo, vía efecto externalidad, en Ecuador y Venezuela, mientras que en los restantes tres países muestra un coeficiente positivo, pero sin significatividad estadística. Por otro lado, aunque las XNT en Ecuador, Colombia y Venezuela presentan un menor nivel de productividad que en el sector doméstico, tan solo en el primero de ellos es significativo. En Bolivia y Perú son mayores, pero no significativos.
El sector de baja intensidad tecnológica (XLT) tiene coeficientes significativos para el nivel de productividad, con valores d positivos que muestran que este sector tiene un mayor nivel de productividad que el sector no exportador en Bolivia y Perú, aunque su impacto vía externalidad es negativo pero no significativo. Cabe resaltar en este punto que dichas exportaciones impactan negativamente sobre el crecimiento económico de Ecuador y Venezuela por medio del efecto externalidad y también por medio del efecto productividad.
En cuanto al sector exportador de alta intensidad tecnológica (XHT), los resultados indican que en Colombia, Ecuador y Venezuela éste impacta de manera positiva sobre el crecimiento del PIB vía externalidad, aunque solo goza de significatividad estadística el coeficiente de Ecuador. Por su parte, el nivel de productividad de las (XHT) respecto al sector doméstico resulta mayor en Ecuador y Venezuela, mientras en los otros tres países es negativo aunque no significativo para Colombia.
En síntesis, puede observase que, en conjunto, aunque el sector exportador no manufacturero tiene un importante efecto en el crecimiento de los países andinos vía externalidades positivas, el sector exportador de alta intensidad tecnológica es el que tiene un mayor impacto positivo en el crecimiento de estos países, vía difusión de conocimiento y tecnología y mediante un mayor nivel de productividad. Además, parece claro que las exportaciones de bajo contenido tecnológico inciden de manera negativa sobre el crecimiento del PIB de dichos países (con excepción de Bolivia y Perú). Aunque analizando por países, a partir de la Tabla 6, vía externalidad las exportaciones que resultan positivas y significativas son las no manufactureras en Ecuador y Venezuela y las de alto contenido tecnológico en Ecuador. Así mismo, vía mayor diferencial de productividad las exportaciones que impactan positivamente sobre el crecimiento son las de baja intensidad tecnológica en Bolivia y Perú y las de alta intensidad tecnológica en Ecuador y Venezuela. En Colombia se presenta un comportamiento muy similar al de Ecuador, pero en ningún caso los coeficientes alcanzan significatividad estadística.
En general, los resultados obtenidos en este estudio ayudan a confirmar, que también en estos países, las exportaciones han tenido un impacto positivo sobre el crecimiento económico, pero, a diferencia de los trabajos de Feder y Crespo-Cuaresma y Wörz, sobresale el efecto externalidad (vía spillovers de conocimiento y/o tecnológicos) en vez del diferencial de productividades, pues el nivel de productividad aunque es mayor en una variedad de sectores exportadores, todavía no marca una diferencia contundente con la productividad del sector doméstico.
En línea con las conclusiones de autores como Fosu (1990), Ghatak et al. (1997) y Greenaway et al. (1999), entre otros (pero teniendo en cuenta que ellos usaron otros métodos econométricos y diferentes países de estudio y muestra temporal), después de comprobar que las exportaciones sí afectan al crecimiento, en la búsqueda de qué tipo de exportaciones son las que dirigen este resultado, se comprueba que específicamente para la muestra de los cinco países en desarrollo que estamos estudiando, las exportaciones que realmente están impactando de forma positiva en el crecimiento son las del sector de manufacturas. Esto puede deberse a que son estas las que probablemente vienen acompañadas de una mayor difusión tecnológica y podrían involucrar más vínculos hacia adelante y atrás que un sector exportador primario, ya que generalmente las manufacturas suponen un entrenamiento relativamente mayor de sus trabajadores y la introducción de tecnologías relativamente más avanzadas. Tales innovaciones pueden entonces difundirse a las correspondientes industrias no-exportadoras y dar lugar a mayores crecimientos de la productividad en general.
Con la última prueba hecha en este trabajo (dividiendo los sectores exportadores de acuerdo con su nivel de intensidad tecnológica), aunque por métodos diferentes, se llega a la misma conclusión que Crespo-Cuaresma y Wörz (2005) en lo referente a que son las exportaciones intensivas en alta tecnología las que tienen un impacto positivo mayor en el crecimiento de las economías, teniendo en cuenta que ellos subdividen su muestra en países OCDE y no-OCDE y confirman sus resultados para los últimos. Sin embargo, estos autores demuestran que el efecto positivo se da por medio de un diferencial de productividad positivo del sector intensivo en tecnología y no hallan un efecto significativo de las externalidades del sector exportador sobre el doméstico; mientras que los resultados planteados en este estudio (ver Tabla 5) dan una clara evidencia de que el impacto positivo de las exportaciones de alta tecnología para los países de la región andina se da por medio de ambos efectos: presencia de externalidades positivas y un nivel de productividad mayor que el del sector no exportador de la economía.
Conclusiones
En este estudio se ha intentado aportar evidencia empírica sobre la hipótesis del crecimiento impulsado por las exportaciones, centrando la atención en el mecanismo por el cual las exportaciones impactan en el crecimiento económico de los países de la CAN. En el modelo que se estimó, además de contrastar el impacto de las exportaciones totales y confirmar su papel en el crecimiento, también se analizó el efecto de la composición de las exportaciones, desagregándolas, primero, en tres grandes grupos, después, en doce subsectores, y finalmente, clasificando estas doce categorías de acuerdo con su nivel de intensidad tecnológica en exportaciones no manufactureras, exportaciones de baja intensidad tecnológica y exportaciones de alta intensidad tecnológica.
Los resultados del análisis para los países en conjunto, indicaron que las exportaciones agregadas impactan en el crecimiento del PIB de manera positiva por medio del efecto externalidad. Esto mismo pudo observarse al desagregarlas en agropecuarias, minero-energéticas y manufactureras, así como en la subdivisión en 12 sectores exportadores, aunque en este último caso se presentaron ciertos matices debido a la no significatividad estadística de varias de estas agrupaciones. Estos resultados poco concluyentes en cuanto a identificar una tipología clara de exportaciones con efectos positivos sobre el crecimiento del PIB, pueden deberse a que el impacto de las exportaciones ha podido variar a lo largo del periodo de estudio y ser notoriamente diferente entre países.
Mediante la aplicación del método SURE se pretendió observar el comportamiento de las exportaciones de manera individual en cada país. Los resultados permitieron aclarar que la relativa debilidad de los datos para los países en conjunto se debía en gran parte a que la influencia de la estructura exportadora es diversa entre países y repartida entre los tres grandes sectores exportadores. Aunque cada país tiene un grupo de exportaciones particular que impacta de forma positiva en el crecimiento, los resultados mostraron que para todos, la mayoría de las exportaciones que impactan positiva y significativamente, tanto vía externalidad como por mayor nivel de productividad, corresponden a la industria manufacturera.
Cuando la estimación se realizó con la clasificación de los sectores exportadores de acuerdo a su intensidad tecnológica, los resultados apoyaron la hipótesis de que son las exportaciones de alta intensidad tecnológica las que tienen un mayor impacto positivo sobre el crecimiento económico en estos países y que dicho impacto se da mediante ambas vías, el efecto externalidad y la mayor productividad marginal de los factores. Si bien, las exportaciones de productos no manufactureros inciden positivamente en países como Ecuador y Venezuela por medio de la primera vía, así como las de bienes de baja intensidad tecnológica impactan en el mismo sentido en Bolivia y Perú mediante la segunda vía.
En síntesis, los resultados muestran que, primero, aunque hay una clara relación positiva entre las exportaciones y el crecimiento económico, la composición de estas sí marca una diferencia, y segundo, que la influencia positiva en estos países se atribuye principalmente a las exportaciones de manufacturas (de diferente tipo en cada país) y especialmente a las de mayor intensidad tecnológica. Además, los resultados agregados apuntan a que el impacto se da principalmente vía externalidades positivas que el sector exportador derrama sobre el sector doméstico, ya que el nivel de productividad del sector exportador agregado es menor que el del sector no exportador, y al desagregarse, solo se ven algunos sectores exportadores (pocos dentro de cada país) con un mayor nivel de productividad; por esto no puede observarse un impacto significativo conjunto por esta vía.
Teniendo en cuenta que una gran proporción de las exportaciones de estos países se concentra en el sector agropecuario y el minero-energético12 y la relativa posición de desventaja en exportaciones manufactureras que presentan cuando se comparan con países más desarrollados, los resultados aquí obtenidos podrían ser sugerentes para el diseño y reestructuración de unas políticas industriales y comerciales más eficaces que transfieran recursos de los sectores menos productivos a los sectores que están influyendo en mayor medida en el crecimiento económico, los de manufacturas con alto contenido tecnológico, tal como sugiere Melitz (2003). Dando mayores incentivos al surgimiento, expansión y consolidación de estos renglones de la producción, los países de la CAN13 podrían experimentar mayores tasas de crecimiento del PIB real y mejores estándares de vida en las próximas décadas
NOTAS
1 Venezuela formó parte de la CAN hasta 2011, ya que tuvo que cumplir 5 años de permanencia luego de haber solicitado la salida de dicho bloque comercial en julio de 2006. Por su parte, Chile, en 2006 se reincorpora a la CAN como Miembro Asociado.
2 Véase las referencias individuales en Hatemi e Irandoust (2000).
3 Melitz (2003) desarrolla una interesante explicación sobre esta relación al plantear que en un entorno de apertura comercial las empresas más productivas exportarán buena parte de su producción mientras que las menos productivas continuarán produciendo solo para el mercado doméstico. Esto lleva a reasignaciones entre empresas privilegiando a las más productivas. Tal reasignación genera un crecimiento de la productividad agregada de la industria lo cual contribuye a aumentar el bienestar general.
4 En palabras de Feder, este término ''mide la diferencia entre la contribución marginal al PIB de los factores de producción en los dos sectores, en relación con las contribuciones marginales de esos factores al producto del sector exportador'' (Feder, 1983, p. 63, Traducción de los autores).
5 Como señala Gujarati (2004), son varias las ventajas de los datos de panel respecto a los datos transversales o de series de tiempo: 1) al combinar las series de tiempo de las observaciones transversales, los datos de panel proporcionan una mayor cantidad de datos informativos, más variabilidad, menos colinealidad entre variables, más grados de libertad y una mayor eficiencia; 2) al estudiar la sección transversal repetida de observaciones, los datos de panel resultan más adecuados para estudiar la dinámica del cambio, como por ejemplo los datos sobre producción agregada o desempleo; 3) puesto que los datos relacionan individuos, empresas, países, etc., a lo largo del tiempo, no existe límite alguno para la heterogeneidad en estas unidades. Las técnicas de estimación de datos de panel pueden tener en cuenta de manera explícita tal heterogeneidad, al permitir la existencia de variables específicas individuales; y 4) los datos de panel pueden detectar y medir mejor los efectos que no pueden ni siquiera observarse en datos únicamente transversales o de series temporales.
6 Se prefiere este indicador a las tasas de matriculación. Al estar disponibles solo cada cinco años, se calculó la tasa promedio de crecimiento para obtener los datos anuales.
7 Incluye la industria petroquímica.
8 Se estimó el modelo de efectos fijos al igual que el de efectos comunes, pero se decidió realizar todas las estimaciones con el primero de estos, tras contrastarlos estadísticamente. Para tal fin se utilizó el contraste de significatividad de los efectos de grupo empleado por Greene (1999). El estadístico de contraste es:
. Los resultados están a disposición por parte del autor.
9 Se introdujeron variables dummy temporales para observar el efecto de eventos ocurridos a lo largo del periodo estudiado en la economía mundial sobre la relación entre crecimiento de las exportaciones y el crecimiento de la producción sin observar patrones claros, pues años clave como 1994, 2001 y 2002 no alcanzaron significancia estadística.
10 Este método estima la ecuación de cada país individualmente pero permite correlación contemporánea entre los residuos, de modo que la relación estará sujeta al mismo tipo de shocks externos para todos los países.
11 Las matrices no se presentan por falta de espacio pero están disponibles por parte de los autores.
12 El porcentaje que representaron, en promedio para el periodo estudiado, las exportaciones agropecuarias y minero-energéticas juntas, dentro del total de exportaciones fue notablemente alto en países como Ecuador (78%), Venezuela (63%), Colombia (60%) y Bolivia (53%), mientras que en Perú fue algo más moderado (31%).
13 Debe recordarse que desde 2011 son solo cuatro los miembros de la CAN, tras la salida de Venezuela en ese año.
REFERENCIAS
Agosín, Manuel (2009). ''Crecimiento y diversificación de exportaciones en economías emergentes'', Revista Cepal No. 97, abril de 2009, pp. 117-134.
Awokuse, Titus (2008). ''Trade Openness and Economic Growth: is Growth Export-led or Import-led?'', Applied Economics No. 40, pp. 161-173.
Balaguer, Jacint & Cantavella-Jordá, Manuel (2001). ''Examing the Export-Led Growth Hipothesis for Spain in the Last Century'', Applied Economics Letters No. 8, pp. 681-685.
Balaguer, Jacint & Cantavella-Jordá, Manuel (2004). ''Export Composition and Spanish Economic Growth: Evidence from the 20th Century''. Journal of Policy Modeling No. 26, pp. 165-179.
Balassa, Béla (1978). ''Exports and Economic Growth: further evidence'', Journal of Development Economics No. 5 (2), pp. 181-189.
Balassa, Béla (1985). ''Exports, Policy Choices and Economic Growth in Developing Countries after the 1973 Shock'', Journal of Development Economics No. 18, pp. 23-35.
Banco Mundial (2010). World Development Indicators. Disponible en www.worldbank.org. Washington D.C.
Barro, Robert & Lee, Jong Wha. (2010). ''A New Data Set of Educational Attainment in the World, 1950-2010'', NBER Working Paper No. 15902.
Cepal (2011). ''Banco de Datos Estadísticos de Comercio Exterior – BADECEL'', disponible en la Base de Datos en Línea BADESTAT de la CEPAL, www.cepal.org.
Chang, Roberto; Kaltani, Linda & Loaysa, Norman (2009). ''Openness can be good for growth: the role of policy complementarities'', Journal of Development Economics 90, pp. 33-49.
Crespo-Cuaresma, Jesús & Wörz, Julia (2005). ''On Export Composition and Growth'', Review of World Economics, Vol. 141, No. 1, pp. 33-49.
Darratt, Ali (1987). ''Are Exports an Engine of Growth'', Applied Economics No.19, pp. 277-283.
Donoso, Vicente & Martín, Víctor (2009). ''Exportaciones y crecimiento económico: estudios empíricos'', WP05/09. Instituto Complutense de Estudios Internacionales, Universidad Complutense de Madrid, España.
Feder, Gershon (1983). ''On Exports and Economic Growth'', Journal of Development Economics 12, pp. 59-73.
Fosu, Augustin (1990). ''Export Composition and the Impact of Exports on Economic Growth of Developing Economics'', Economics Letters No. 34, pp. 67-71.
Ghatak, Subrata; Milner, Chris & Utkulu, Utku (1997). ''Exports, Export Composition and Growth: Cointegration and Causality Evidence for Malaysia'', Applied Economics No. 29, pp. 213-223.
Ghirmay, Teame; Grabowski, Richard & SHARMA, Subhash (2001): ''Exports, investment, efficiency and economic growth in LDC: an empirical investigation'', Applied Economics No. 33, pp. 689-700.
Greenaway, David; Morgan, Wyn & Wright, Peter (1999). ''Exports, Export Composition and Growth'', The Journal of International Trade and Economic Development, Vol. 8, No. 1, pp. 41-51.
Gujarati, Damodar (2004). Econometría. 4a edición. McGraw-Hill.
Hausmann, Ricardo; Hwang, Jason & Rodrick, Dani (2007). ''What You Export Matters'', Journal of Economic Growth, Vol. 12, No. 1, pp. 1-25.
Hatemi, Abdulnasser & Irandoust, Manuchehr (2000). ''Time Series Evidence for Balassa's Export-Led Growth Hypothesis'', The Journal of International Trade and Economic Development, Vol. 9, No. 3, pp. 355-365.
Heston, Alan; Summers Robert & Aten, Bettina (2011). Penn World Table version 7.0, Center for International Comparisons at the University of Pennsylvania (CICUP), June.
Ibrahim, Izani & Mac Phee, Craig (2003). ''Export Externalities and Economic Growth'', The Journal of International Trade and Economic Development No. 12 (3), pp. 257-283.
Jung, Woo & Marshall, Peyton (1985). ''Exports, Growth and Causality in Developing Countries'', Journal of Development Economics No. 18, pp. 1-12.
Krueger, Anne (1980). ''Trade Policy as an Input for Development'', American Economic Review, Vol. 70, No. 2, pp. 288-292.
Melitz, Marc (2003). ''The impact of trade on intra-industry reallocations and aggregate industry productivity'', Econometrica, Vol. 71, No. 6, pp. 1695-1725.
Michaely, Michael (1977). ''Exports and Growth: an empirical investigation'', Journal of Development Economics, No. 4, pp. 49-53.
Moschos, Demetrios (1989). ''Export Expansion, Growth and the Level of Economic Development'', Journal of Development Economics, No. 30, pp. 93-102.
Ram, Rati (1985). ''Exports and Economic Growth in Developing Countries: evidence from time series and cross-section data'', Economic Development and Cultural Change, No. 33, pp. 415-425.
Salvatore, Dominick & Hatcher, Thomas (1991). ''Inward and Outward Oriented Trade Strategies'', Journal of Development Studies, No. 27, pp. 7-25.
Tyler, William (1981). ''Growth and Export Expansion in Developing Countries: some empirical evidence'', Journal of Development Economics, No. 9, pp. 121-130.
Ukpolo, Víctor (1994). ''Export Composition and Growth of Selected Low-Income African Countries: evidence from time series data'', Applied Economics No. 26, pp. 445-449.