ARTÍCULOS
Modelo para el pronóstico del precio de la energía eléctrica en Colombia
A model for forecasting electricity prices in Colombia
Modèle de prévision des prix d'électricité en Colombie
Jorge Barrientos*, Edwin Rodas**, Esteban Velilla***, Mauricio Lopera**** y Fernando Villada*****
* Docente del Departamento de Economía, Facultad de Ciencias Económicas, Universidad de Antioquia. Dirección postal: Universidad de Antioquia, calle 67 No. 53-108, Bloque 13, Medellín 050010, Colombia. Dirección electrónica: jbarr@economicas.udea.edu.co.
** Ingeniero Electricista de la compañía XM S.A. E.S.P. Dirección postal: Calle 12 sur # 18-168, bloque 2. Medellín..
*** Docente del Departamento de Ingeniería Eléctrica, Facultad de Ingeniería, Universidad de Antioquia. Dirección postal: Universidad de Antioquia, calle 67 No. 53-108, Bloque 21, Medellín 050010, Colombia. Dirección electrónica: evh@electra.udea.edu.co.
**** Docente del Departamento de Estadística y Matemáticas, Facultad de Ciencias Económicas, Universidad de Antioquia. Dirección postal: Universidad de Antioquia, calle 67 No. 53-108, Bloque 13, Medellín 050010, Colombia. Dirección electrónica: mloperaceconomicas.udea.edu.co.
***** Departamento de Ingeniería Eléctrica, Facultad de Ingeniería, Universidad de Antioquia. Dirección postal: Universidad de Antioquia, calle 67 No. 53-108, Bloque 21, Medellín 050010, Colombia. Dirección electrónica: fvillada@udea.edu.co.
Agradecimientos: Los autores agradecen a Empresas Públicas de Medellín y a la Universidad de Antioquia por el apoyo financiero recibido del Centro de Investigación e Innovación en Energía –CIIEN– en el marco del proyecto ''Estudio de los factores incidentes para la implantación y el mejoramiento de industrias electro-intensivas en Antioquia''.
–Introducción. –I. Metodologías utilizadas para la proyección de los precios de la electricidad. –II. Selección de variables en el modelo de pronóstico. –III. Estimación por modelos de regresión. –IV. Pronóstico del precio de la electricidad utilizando redes neuronales artificiales. –Conclusiones. –Bibliografía.
Primera versión recibida en octubre de 2011; versión final aceptada en septiembre de 2012
RESUMEN
En este trabajo se investigan los factores que determinan el precio de la energía eléctrica en el mercado colombiano. También se lleva a cabo un ejercicio de pronóstico de largo plazo para los precios de la energía transados en la bolsa energética, para este propósito utilizamos técnicas de vectores de corrección de errores y el enfoque de redes neuronales. La conclusión más relevante es que dado el ambiente optimista que rodea la economía colombiana para los próximos años, los precios de la energía en el largo plazo tendrán una tendencia al alza.
Palabras clave: precio, demanda, oferta, función de impulso-respuesta, vectores, redes neuronales.
Clasificación JEL: C22, C26, C45, D43, L94.
ABSTRACT
This paper investigates the factors that determine electric power prices in the Colombian market. In addition, we carry out a long-run forecasting analysis to pool-traded electric power prices by using Vector Error Correction estimation and neuronal networks. Given the optimistic atmosphere that surrounds the Colombian economy for the coming years, our conclusion is that long-run electric power prices will exhibit an upward trend.
Key words: price, demand, supply, impulse response function, vectors, neuronal networks.
JEL Classification: C22, C26, C45, D43, L94.
RÉSUMÉ
Cet article analyse les déterminants du prix d'électricité dans le marché colombien. Nous proposons des prévisions à long terme pour les prix sur le marché de l'énergie à travers l'utilisation des techniques de correction d'erreur vecteurs (VEC ou VCE), ainsi qu'à travers de l'approche de réseaux de neurones. La conclusion la plus importante est que, compte tenu de l'optimisme entourant l'économie colombienne dans les années à venir, les prix de l'énergie sur le long terme auront une tendance à la hausse.
Mots clés: prix, demande, offre, réponse impulsionnelle, vecteurs très généraux, réseaux de neurones.
Classification JEL: C22, C26, C45, D43, L94.
Introducción
El comportamiento de los precios de los bienes en general se determina principalmente por la oferta y la demanda. El precio de la energía eléctrica no se escapa a esta relación, no obstante, la energía es un bien bastante diferente en aspectos importantes como su generación (producción), distribución y consumo. De hecho, el mercado de energía eléctrica se caracteriza por unos pocos generadores y muchos consumidores sin poder de mercado, lo que implica que el mercado no es perfectamente competitivo, y los determinantes de formación de los precios de la energía no reflejan exactamente la disposición a comprar o vender de parte de los agentes involucrados.
Ante el comportamiento no lineal de este tipo de variables, desde la década de los noventa se han propuesto nuevos métodos basados en redes neuronales artificiales. Su principal característica de permitir establecer relaciones lineales y no lineales entre las entradas y salidas de un sistema ha hecho posible mostrar su aplicabilidad en mercados de alta volatilidad, cuyas variables obedecen a comportamientos no lineales en diversas áreas de la ingeniería y en los mercados de electricidad (Villada et al., 2008). En el mercado de divisas, Gradojevic y Yang (2000) utilizaron las redes neuronales para pronosticar la tasa de cambio entre el dólar canadiense y el dólar americano en el rango de 90 días. Para ello utilizó el historial de diez años como datos de entrenamiento, teniendo en cuenta el efecto de dos variables macroeconómicas (tasa de interés y precio del petróleo) y los flujos de órdenes de transacciones. Los resultados mostraron menor error en el pronóstico con redes neuronales en comparación con el modelo del paseo aleatorio y otros modelos lineales.
Muchos de estos trabajos han sido enfocados a modelos de pronóstico del precio de la electricidad a corto plazo, especialmente en el mercado del día siguiente (Day – Ahead), donde han comparado la eficiencia de las redes neuronales artificiales (RNA) con modelos autoregresivos, como es el caso de Azadeh et al. (2009), quien entrenó una red con dos neuronas en la capa de entrada, diez en la capa oculta y una en la capa de salida con el objetivo de pronosticar el precio de la energía eléctrica al día siguiente en el mercado Iraní, el indicador de error utilizado fue el MAPE (Mean Absolute Percentage Error) cuyo valor fue de 2.5%; los resultados de este trabajo confirman la aplicabilidad de las RNA para la predicción del precio de la energía eléctrica en el corto plazo.
Otros trabajos han confirmado como una estructura de red de retropropagación (backpropagation) puede aproximar una función con un número finito de discontinuidades arbitrarias, utilizando una función de transferencia tangente sigmoidal en su capa oculta y una función de transferencia lineal en la capa de salida. Es el caso de Tang y Gu (2010), quienes presentaron un modelo para pronosticar el precio de la energía eléctrica en el mercado del día siguiente donde también se utilizó el MAPE como indicador del error, para este caso se necesitaron 20 neuronas en la capa oculta para encontrar la estructura de red más adecuada y para la selección de entradas se tuvieron en cuenta los principales factores de ese mercado, el histórico de precios, el histórico de la demanda y las proyecciones de la demanda para un escenario horario.
En Colombia se han realizado varios trabajos tomando variables como el precio de la electricidad y la demanda hora tras hora, el precio diario de los combustibles, el nivel diario de los embalses, la contribución diaria de los ríos a los embalses y el precio del gas semestral; nuevamente para el desarrollo de esta red se utilizó el algoritmo de retropropagación, sin embargo, para este caso se utilizó una función de transferencia tangente sigmoidal en la oculta, y una función de transferencia lineal en la capa de salida (Lira et al., 2009). El objetivo de este trabajo era proyectar el precio del día siguiente teniendo en cuenta tres escenarios diarios de demanda (alto, medio y bajo); el autor expone una clara relación inversa entre el precio de la energía eléctrica y el nivel de los embalses, además de comparar varios modelos para pronosticar el precio de la energía eléctrica. Los resultados obtenidos fueron satisfactorios para el pronóstico con escenario de un día. Al final propone hacer más comparaciones de los métodos más utilizados (es exhaustivo en los modelos existentes) para el pronóstico del precio de la energía eléctrica, teniendo en cuenta técnicas de optimización, usando sistemas expertos y control predictivo, además, realizar pronósticos para diferentes escenarios de tiempo.
En escenarios de pronóstico de mediano plazo (12 a 24 meses), se tienen también modelos como el publicado por Velásquez y Franco (2010). En este artículo se consideran únicamente modelos uni-variados justificados por la ausencia de estudios que permitan relacionar el precio de la electricidad con otras variables físicas o económicas. Los resultados comparan el desempeño de un modelo VEC con una red neuronal dinámica, encontrándose una mejor precisión en esta última al pronosticar el precio de los contratos mensuales de la electricidad en Colombia2.
Ante la gran cantidad de publicaciones dedicadas a pronosticar el precio de la electricidad, el trabajo publicado por Aggarwal et al. (2009) hace una revisión de las más relevantes aplicando series de tiempo, modelos causales y redes neuronales. Estas aplicaciones incluyen escenarios de predicción desde un día hasta doce meses, concluyendo que dada la relativa poca historia de los mercados de electricidad, no se tiene un modelo que sea claramente superior en su desempeño.
Este artículo pretende ir más allá del pronóstico de corto plazo mostrado en la literatura, mediante un modelo basado en redes neuronales artificiales (RNA) para determinar el precio en un escenario de ocho años. A diferencia de la mayoría de los trabajos previamente publicados donde solo se tiene el precio como variable de entrada, en este artículo se incluyen, además, de los valores históricos de los precios, los datos proyectados de la demanda de electricidad, la oferta de la misma y el nivel de los embalses, para obtener el precio de la energía eléctrica entre marzo de 2010 hasta diciembre de 2017, fecha en la cual entra el último proyecto de generación reportado ante la Unidad de Planeación Minero Energética-UPME en su plan de expansión 2010-2024 (UPME, 2010a). Se tendrán en cuenta algunas recomendaciones de referencias anteriores, al ampliar el rango de pronóstico y se comparan los resultados del modelo RNA con un modelo econométrico, utilizando el 70% de los datos para calibrar el modelo y el 30% para validarlo.
Adicional a las redes neuronales, este trabajo pretende hacer proyecciones de los precios de la energía utilizando un enfoque estadístico y econométrico. Utilizando modelos de regresión múltiple con variables estacionarias en covarianza. La estimación se basa en el modelo clásico de mínimos cuadrados ordinarios y corrigiendo por la endogeneidad producida por la doble causalidad entre el precio de la energía y la demanda de energía. Adicionalmente, también se utiliza un modelo de vectores de corrección de errores (VEC) y se hace un análisis de impulso respuesta para observar los choques en la demanda como afectan el precio. Los VEC tienen la ventaja de que al estar basados en vectores autorregresivos no es necesario diferenciar las series temporales, este procedimiento eventualmente conduce a pérdida de información estadística.
Este trabajo se divide en las siguientes secciones. Primero, se presenta una breve descripción de las metodologías utilizadas, las redes neuronales y los modelos econométricos. La segunda sección describe el procedimiento y justificación para la selección de variables utilizadas como explicativas. La tercera sección muestra las estimaciones econométricas. La cuarta secció expone los resultados de la predicción utilizando el enfoque de redes neuronales artificiales. Se finaliza con una sección de conclusiones.
I. Metodologías utilizadas para la proyección de los precios de la electricidad
A. Enfoque econométrico
Sea p el precio de la energía eléctrica, desde el punto de vista estrictamente económico, este precio es una función de la cantidad de energía demandada, D, y de la cantidad ofrecida de bienes y servicios en la economía, Q, y de otras características del sector eléctrico y de la economía en general, las cuales se denotan por, X, en consecuencia, se puede definir la función inversa de demanda3 F como:

Empíricamente, la demanda indirecta se puede formular como una función de las variables de interés más un término de error, denotado por εt, de modo que en el momento t, el comportamiento del precio observado se puede escribir como:

Si se asume que F es lineal en un conjunto de parámetros, entonces la relación (2) se puede escribir como un modelo clásico de regresión:

Una manera alternativa, y más completa, para analizar el comportamiento de los precios en el largo plazo es usar un vector de corrección de error-VEC con p retardos de la variable dependiente (la longitud del retardo se contrasta sobre la base de un VAR, a través criterios estadísticos como el de Schwartz o Akaike), el cual adopta la siguiente forma:

El VEC se deriva de un VAR y adopta la siguiente forma funcional:

Donde Xt es un vector de variables estrictamente exógenas y:

Donde Π es la matriz de relaciones cointegrantes de largo plazo, Bφ son vectores de parámetros de los retardos del precio de la energía respectivamente, φ es la matriz de parámetros asociadas a las variables exógenas como constantes, tendencias, variables binarias, etc.
La diferencia en la estimación de (3) y (4) radica en que el modelo (3), requiere que las diferentes variables sean estacionarios en covarianza, de lo contrario es necesario diferenciar las variables cuantas veces sea necesario para eliminar las tendencias que conllevan a relaciones espurias; esto genera una pérdida de información tanto en las variables como en el modelo, ya que desde un punto de vista económico, no es lo mismo trabajar con las variables en niveles que trabajar con sus primeras diferencias.
El modelo especificado en (4) permite usar las variables en niveles y tener en cuenta la información contenida en las relaciones co-integrantes como la ecuación (3), evitando de ese modo la pérdida de información necesaria que se produce al diferenciar las series. La estimación y pronóstico del precio de la energía en este tipo de relaciones, puede hacerse de varias maneras, a través de modelos semi- y no-paramétricos, donde se estima directamente F, como en el modelo (2), de modelos plenamente paramétricos, como el modelo (3) o (4), y de redes neuronales.
En este caso en particular, la información utilizada en los modelos empíricos es trimestral y p representa el precio de la energía en kilovatios/hora, tomada de la página web de la compañía XM Expertos en Mercado4, D representa la demanda de energía, Q representa los bienes y servicios ofrecidos en la economía como el producto interno bruto-PIB en millones de pesos constantes (o su respectiva tasa de crecimiento); las otra características de la economía contenidas en la matriz X son el índice de precios al consumidor-IPC, el tipo de cambio real-TCR, el nivel de embalses y un índice de precio internacional de combustibles. Con el fin de complementar el análisis de los precios de la electricidad en Colombia realizado desde el enfoque econométrico, se plantea también la metodología de las redes neuronales artificiales, que se expone a continuación.
B. Redes neuronales artificiales
Las redes neuronales artificiales (RNA) son modelos matemáticos que tratan de imitar las habilidades del cerebro humano, ofreciendo ventajas en cuanto a su capacidad de aprendizaje, generalizando situaciones a partir de casos de estudio, funcionamiento en paralelo y tolerancia a fallos por información imprecisa (Haykin, 1994). Los modelos con RNA son preferiblemente utilizados cuando no se tiene un conocimiento previo del comportamiento de las variables analizadas, pero existen mediciones, observaciones, registros, datos, etc. Algunas de las aplicaciones con RNA están relacionadas con clasificación, reconocimiento de patrones, predicción de series temporales (Villada et al., 2008).
Una red neuronal está conformada por varios elementos denominados neuronas, las cuales se encargan de procesar la información de entrada con el fin de producir un estímulo o salida (mapeo no lineal entre las entradas y salidas de un sistema determinado), una representación matemática de una neurona es mostrada en el Gráfico 1, este es el modelo propuesto por McCullogh-Pitts, el cual consta de unas entradas (Xi), una función de activación (función de transferencia FT), unos pesos (Wi) asociados a cada entrada, un offset o bias (b) y la salida de la red (Y), estos parámetros se relacionan a través de la expresión (6):

Algunas de las funciones de activación más comúnmente utilizadas en las aplicaciones con RNA, son la FT lineal, para la cual el valor de salida es igual al valor de entrada; y la FT tangente hiperbólica sigmoidea (Tansig), la cual entrega un resultado numérico entre -1 y 1, que es calculado con la expresión (7) (Haykin, 1994).

Normalmente una sola neurona no es suficiente para reproducir la respuesta deseada, por lo que se recurre a estructuras o arquitecturas de RNA, siendo la llamada de propagación hacia delante (feed-forward network), la más referenciada. El Gráfico 2 muestra una red de propagación hacia delante con dos capas ocultas y una capa de salida, cada capa se conforma de varias neuronas, las cuales están interconectadas entre sí. El número de entradas es directamente dependiente de la información disponible para ser clasificada, mientras que el número de neuronas de salida es igual al número de clases a ser separadas.
Una vez seleccionado el número de capas, las funciones de activación de las neuronas de cada capa, las bias (bi) y los pesos de la RNA (Wi), son los parámetros que se deben de ajustar con el fin de obtener la respuesta deseada (Target), el ajuste de estos parámetros se logra a través del entrenamiento de la red, proceso en el cual la red aprende de la información suministrada, en este proceso se minimiza el error entre la salida de la RNA (yi) y el valor deseado (ti). Una métrica que permite observar el ajuste de estos parámetros, es el error medio cuadrático, dado por la expresión (8).

En donde N es el número de datos evaluados.
Un método para realizar la optimización de los parámetros y minimizar el error de la expresión (8), es el de Levenberg-Marquardt backpropagation, el cual requiere establecer un jacobiano, que dependerá del número de pesos y bias involucrados en la estructura (Matlab 2012).
Reescribiendo la expresión (8), se tiene:

De esta manera, la ecuación para encontrar los nuevos parámetros (pesos y bias de la red) estará dada por la expresión:

En donde J es el jacobiano, I es la matriz identidad, µk es la tasa de aprendizaje.
II. Selección de variables en el modelo de pronóstico
Análisis estadísticos preliminares indican que el IPC, la tasa de cambio real y el precio internacional de combustibles (debido a que la generación de energía eléctrica en nuestro país es principalmente hidráulica), no afectan el precio de la energía eléctrica apreciablemente en el largo plazo, por el contrario, las variables que tienen un efecto importante sobre el precio del kilovatio/hora de energía son el PIB, la demanda de energía eléctrica y, por supuesto, el nivel de embalses. De hecho, al incluir todas las variables la bondad del ajuste es en promedio 35%, al incluir solo las tres variables mencionadas como relevantes, la bondad del ajuste disminuye solo en 20%, obteniendo una bondad del 29%. Lo que significa que la exclusión del IPC, TRC y el índice de consumo de combustible no afecta significativamente la variabilidad de los precios de la energía eléctrica.
Un análisis complementario utilizando la técnica de descomposición en valores singulares (SVD, por sus siglas en inglés) mostró que la oferta real de electricidad también juega un papel importante y que la modelación del precio en función de la demanda, nivel de los embalses y oferta real de energía podría ser una alternativa sin afectar significativamente la bondad del ajuste.
III. Estimación usando el enfoque econométrico: análisis de regresión
En este orden de ideas, la relación empírica a analizar y sobre la que se basan las proyecciones de precios de energía y las conjeturas sobre el comportamiento futuro, está dada por la siguiente expresión:

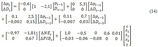
O en forma de vectores de corrección de errores (VEC), el cual parte de un modelo de retardo distribuido:

con:

Es importante anotar que la función logaritmo natural es una transformación monótona que estabiliza la variabilidad de la series, sin alterar su estructura de auto correlación y la correlación con otras variables.
El nivel de embalse es el del embalse agregado y el precio de la energía es el precio de bolsa o de los contratos.
La Tabla 1 muestra los resultados de la estimación del modelo (11) para las variables en niveles y primeras diferencias de las variables dependiente e independientes.
En los resultados de la estimación de la ecuación (11) se observa que la demanda afecta positivamente el nivel de precios, el nivel de embalses tiene un efecto negativo sobre el nivel de precios, es decir incrementos en el nivel de embalses debería disminuir el precio de la energía en 0.3% en promedio y –salvo la columna 3 donde se usa el logaritmo del PIB el lugar de la tasa de crecimiento– un incremento en el crecimiento implica un incremento en el nivel del precios. Estos resultados si bien son interesantes, desde la perspectiva del pronóstico o la proyección no son muy útiles, habida cuenta de la pérdida de información que se presenta en las variables debido a la diferenciación que sufrieron las variables, como se presentan en los modelos de las columnas 2 y 4, donde las variables están en primeras diferencias. Con el fin de evitar pérdidas de información debidas a la diferenciación, se estima el modelo VEC(3). Este modelo no solo tiene en cuenta las variables en niveles sino que asume la posible endogenidad que hay entre las variables precio y demanda. Por lo cual es natural esperar mejores resultados, como de hecho se observa, en la estimación del modelo VEC en la ecuación (12), el cual toma el resto de variables como exógenas:

A partir de este modelo podemos hacer cálculos de la función de impulso respuesta (véase Lutkepohl, 2005) del efecto que tiene un choque de una variable sobre otra durante varios periodos. Los Gráficos 5 al 13 muestran los resultados de choques de demanda y su efecto en el precio (función impulso respuesta), así como las proyecciones de los precios de la energía. El eje de las ordenadas muestra el precio a escala logarítmica y el eje de las abscisas muestra el período de tiempo.
El Gráfico 5, muestra la función de impulso-respuesta de un choque de la demanda de una desviación estándar sobre el nivel de precios. Dados los valores positivos se confirma que cuando inducimos un choque positivo en la demanda se observa que el precio tiene una tendencia a tener incrementos positivos en el futuro. El efecto inducido de tal choque es recogido en la estimación de la función impulso-respuesta para 8, 16 y 32 trimestres respectivamente. Es importante destacar que de acuerdo con la estimación el efecto de un choque en la demanda siempre es positivo, como cabe esperar, pero en los primeros trimestres (corto plazo) es más apreciable. Se observa también que en cuanto los agentes internalizan la subida de los precios en el corto plazo, el efecto en el largo plazo de tal choque se vuelve decreciente.
En el modelo VEC(3) se observa que la variable nivel de embalses tiene un efecto negativo sobre el nivel de precios de energía negociado en la Bolsa de energía, este efecto es significativo además. Esto es consistente con la teoría que indica que un nivel alto de embalse potencialmente debería implicar una disminución del precio de la energía eléctrica de origen hídrico, en especial para usuarios no regulados. Los resultados empíricos también indican que un incremento en el producto interno bruto tiene un efecto positivo sobre la demanda (toda oferta crea su propia demanda), no obstante, no es muy informativo el hecho de que el efecto de incremento en el PIB tenga un impacto negativo sobre el precio de la energía eléctrica. Aunque si la causalidad es correcta, un incremento del PIB significa que la oferta de energía eléctrica crece (más que la demanda), implicando en respuesta a los incentivos, que el precio podría eventualmente caer.
La predicción en un modelo VEC(3) al considerar tres rezagos, tiene en cuenta gran parte de la dinámica de las variables precio y demanda. En cada una de las respectivas ecuaciones se incluyen las primeras diferencias del PIB y el nivel de embalses. Las predicciones hechas a partir de este modelo en escala logarítmica5, van acompañadas por bandas de confianza del 95% de confiabilidad y predicen un incremento y una caída rápida en el corto plazo cuando se hace una predicción para 8 trimestres, pero cuando se hace la predicción para 32 trimestres hacia adelante vemos que la tendencia promedio es un alza del precio de la energía eléctrica. Estas predicciones se muestran en los siguientes Gráficos (8, 9, 10, 11, 12 y 13).
La volatilidad mostrada en la predicción es natural si se tiene en cuenta que dentro del conjunto de variables explicativas se encuentran las variables binarias que indican en que trimestres fue tomado el dato. Al eliminar estas variables la estimación se afecta levemente, pero la predicción del precio se mantiene al alza en el corto, mediano y largo plazo. Los siguientes son los resultados de la estimación y de la predicción del modelo VEC(3) (ver Gráfico 10 y Gráfico 11) sin las variables estaciónales, es importante tener en cuenta que dados los comportamientos estacionales, eliminar tales variables puede sesgar los resultados.

El Gráfico 13 muestra la proyección del precio de la energía usando como base la estimación de la ecuación (11) en la columna 4 de la Tabla 1, donde se confirma la tendencia al alza de los precios de la energía. Para obtener estas predicciones se usaron pronósticos de las variables independientes a través de modelos ARIMA. Las curvas PL y PU son las bandas de confianza inferior y superior, la línea del medio es la proyección. Este análisis, a diferencia de las predicciones con modelos VEC solo muestra proyecciones a partir de 2010.
A partir de estos análisis se evidencia que el nivel de embalses afecta el precio de energía inversamente, indicando que una mayor oferta del factor principal en la producción de energía de origen hídrico debería disminuir el precio. La evidencia también sugiere que un incremento en el PIB tiene un efecto positivo sobre la demanda, pero negativo sobre el precio de la energía. Si la causalidad es correcta, esto significaría que un incremento del PIB implica una mayor oferta de factores productivos, como por ejemplo la energía eléctrica, oferta que podría crecer más que su demanda implicando una eventual caída de su precio. Los análisis del precio de la energía muestran que el precio de bolsa en el largo plazo tiende al precio de los contratos de futuros. Si se piensa en los planes de expansión, siempre la expansión ha estado muy ajustada al crecimiento de la demanda. El exceso de energía para oferta puede obedecer a condiciones de invierno extremo y si se tiene en cuenta que la regulación de nuestro sistema es en mayor parte estacional, colocar el recurso implica bajar el precio.
IV. Pronóstico del precio de la electricidad utilizando redes neuronales artificiales
A. Estimación del precio en función de la demanda, el nivel de embalses y la oferta de electricidad
Inicialmente se probaron varias estructuras de redes neuronales incluyendo como variables de entrada el PIB, la demanda y el nivel de los embalses. Muchas de ellas tuvieron buen desempeño en el entrenamiento pero al tratar de hacer pronóstico de precios a largo plazo, arrojaron como resultado valores irreales para el precio de la energía eléctrica. Se procedió entonces a analizar las variables utilizadas para el pronóstico y se decidió involucrar una nueva variable de entrada que tiene un efecto apreciable en el precio, la cual es la oferta real de energía. Teniendo en cuenta la relación conocida entre el PIB y la demanda de electricidad, se decide no utilizar la primera en los análisis posteriores y tratar de encontrar otra estructura de RNA que permita determinar el precio de la electricidad en función de la demanda, el nivel de los embalses y la oferta de electricidad.
El modelo neuronal busca de esta manera la determinación del precio en función de la oferta, la demanda y el nivel de embalses. Para el entrenamiento, se tomaron inicialmente datos trimestrales desde el tercer periodo del año 1996 hasta el cuarto trimestre del 2009, lo que corresponde a una muestra total de 54 datos, los cuales fueron divididos en tres grupos para la modelación con RNA: Entrenamiento, Validación y Prueba (test), a los cuales les correspondió el 70%, 10% y 20% respectivamente; los datos de entrenamiento, validación y test se escogieron de forma aleatoria. En el Gráfico 14 se muestra el comportamiento de las variables utilizadas en función del tiempo.
La estructura de RNA utilizada consta de: tres entradas (Oferta, Demanda y Nivel de Embalse); una salida (Precio); dos capas (una oculta y otra de salida) cuyas funciones de activación fueron tangente sigmoidal y lineal, respectivamente. De esta forma se probaron diferentes configuraciones de RNA, variando el número de neuronas en la capa oculta y dejando fija la neurona en la capa de salida. El número de neuronas en la capa oculta se varió desde 2 hasta 25 encontrándose que la mejor estructura constaba de 6 neuronas en la capa oculta con una tasa de aprendizaje de 0.01 y con los resultados para los datos de entrenamiento mostrados en el Gráfico 15.
Para la selección de la mejor estructura se tuvo en cuenta las siguientes medidas de evaluación dentro y fuera de la muestra: MÁX (Error máximo), MÍN (Error mínimo), MSE (Error Medio Cuadrático), RMSE (Raíz del error medio cuadrático), RMSPE (Raíz de error medio cuadrático porcentual), MAE (Error medio absoluto) y el MAPE (Error medio absoluto porcentual).
El Gráfico 15 muestra el buen desempeño de la red neuronal al seguir muy de cerca los resultados reales, sin embargo, cuando se trataron de realizar pronósticos del precio a partir del año 2010 se encontró un pobre desempeño del modelo ya que no mostraba una relación lógica con el nivel de embalses. Se procedió entonces a incluir dos entradas adicionales a la red que correspondían a retardos de tiempo en el nivel de los embalses y se trabajó con datos mensuales ya que al incluir un mayor número de entradas exige mayor volumen de información para entrenar adecuadamente la red.
La nueva estructura de red neuronal mantenía tres capas con la diferencia de que se incrementó a cinco el número de neuronas en la capa de entrada, correspondientes a las siguientes variables: demanda de energía eléctrica, oferta real, nivel de embalses actual, nivel de embalses en el periodo t-1 y nivel de embalses en el periodo t-2. Se tomaron los datos mensuales disponibles desde el segundo semestre de 1996 los cuales fueron divididos en tres grupos: 70% para entrenamiento, 10% para validación y 20% para prueba (test); todos escogidos de forma aleatoria.
Siguiendo un proceso similar a los casos anteriores, se determinó que la mejor estructura constaba de 7 neuronas en la capa oculta. El criterio para determinarla se basó en las siguientes medidas de evaluación dentro y fuera de la muestra: MÁX (Error máximo), MÍN (Error mínimo), MSE (Error Medio Cuadrático), RMSE (Raíz del error medio cuadrático), RMSPE (Raíz de error medio cuadrático porcentual), MAE (Error medio absoluto) y el MAPE (Error medio absoluto porcentual). En la Tabla 2 se muestran los errores obtenidos.
B. Pronóstico del precio de la energía eléctrica mediante el modelo basado en RNA
Los datos que se utilizaron para el pronóstico, son proyecciones realizadas por la UPME y por la compañía XM Expertos en Mercado para la demanda, oferta y nivel de embalses (UPME, 2010a; UPME, 2010b). El modelo de pronóstico para el precio de la energía eléctrica se basó en la mejor estructura de red neuronal encontrada en el numeral B
Para la oferta se tuvo en cuenta el plan de expansión de referencia Generación – Transmisión 2010-2024, y para la demanda la Proyección de Demanda de Energía Eléctrica y Potencia Máxima, ambos publicados por la Unidad de Planeación Minero Energética-UPME, y para el nivel de los embalses se tuvo en cuenta las proyecciones a largo plazo de la compañía XM Expertos en mercado
Las proyecciones de demanda incluyen tres escenarios (alto, medio y bajo), igualmente el nivel de embalses, por lo tanto, se obtienen varios pronósticos: la primera alternativa es tomar constante el escenario de alta demanda y variando el nivel de embalses en sus tres escenarios, la segunda alternativa es el escenario medio de la demanda con variación de embalses y la tercera alternativa es con el escenario bajo de la demanda y con la variación del nivel de embalses.
Para ilustrar el comportamiento medio de cada una de las variables involucradas se toma la demanda media, el nivel de embalses promedio y la oferta. Con estos datos se determina un comportamiento medio para el precio de la energía eléctrica. En la Tabla 3, se encuentran los datos trimestrales involucrados en el mismo y el comportamiento de cada una de las variables de entrada y salida se muestran por separado en el Gráfico 16. A pesar de que el modelo involucra datos mensuales, en la Tabla 3 se muestran solo valores trimestrales por razones de espacio.
En el Gráfico 16 se encuentra que el pronóstico de los precios de la energía eléctrica para el periodo 2010-2017, tiene una media que oscila entre 110 $/kWh y 150 $/kWh. Sin embargo, se observan unos picos del orden de 230 $/kWh para el año 2013. Estas puntas en el precio tienen justificación por el crecimiento paulatino de la demanda mientras que la oferta permanece prácticamente constante por la no entrada en operación de nuevas centrales desde dos años atrás. La coherencia del resultado se corrobora en el mes de enero de 2014, donde se aprecia una caída grande en el precio producto de la entrada en operación de El Quimbo y Sogamoso, las cuales en conjunto aumentan la oferta de electricidad en 1220 MW.
1. Alternativa 1
En esta alternativa se trabaja con el escenario de crecimiento alto en la demanda y se proyecta el precio de la energía eléctrica considerando tres escenarios proyectados para el nivel de embalses. La Tabla 3 presenta las variables involucradas de forma trimestral a pesar de que el modelo se trabajó a nivel mensual, donde la oferta es la suma de la hidráulica, la térmica y la eólica.
En el Gráfico 17 se muestra el resultado de la RNA, tanto en el proceso de entrenamiento como en el pronóstico del precio mensual de la energía eléctrica en bolsa, iniciando en enero de 2010 hasta diciembre de 2017.
En esta alternativa se presentan varios picos en el precio justificados por un crecimiento alto en la demanda. Se encuentra que estos picos en el precio de la energía están relacionados directamente con limitaciones en la oferta real de energía eléctrica, por lo cual empiezan a disminuir una vez aumenta la oferta a través de la entrada en servicios de nuevas plantas de generación. Este efecto se nota especialmente en enero de 2014 con la entrada de Sogamoso y el Quimbo y en enero de 2017 con la entrada de la primera etapa de Hidroituango.
2. Alternativa 2
En esta alternativa se trabaja con el escenario de crecimiento medio en la demanda y se proyecta el precio de la energía eléctrica considerando tres escenarios proyectados para el nivel de embalses. La tabla 4 presenta las variables involucradas.
El Gráfico 18 muestra el resultado de la RNA, tanto en el proceso de entrenamiento como en el pronóstico del precio mensual de la energía eléctrica en bolsa, iniciando en enero de 2010 hasta diciembre de 2017.
Para esta alternativa se puede apreciar el efecto de la demanda en el precio. Un cambio en el escenario de crecimiento de la demanda del escenario alto (alternativa 1) a un escenario moderado ocasionaría un decremento en el precio promedio y un menor número de puntas. Estos picos de precios siguen mostrando dependencia con un bajo incremento en la oferta.
3. Alternativa 3
En esta alternativa se trabaja con el escenario de crecimiento bajo en la demanda y se proyecta el precio de la energía eléctrica considerando tres escenarios proyectados para el nivel de embalses: La tabla 5 presenta las variables involucradas.
El Grafico 19 muestra el resultado de la RNA, tanto en el proceso de entrenamiento como en el pronóstico del precio mensual de la energía eléctrica en bolsa, iniciando en enero de 2010 hasta diciembre de 2017.
En los resultados del Gráfico 19 se encuentra que, exceptuando el año 2013, bajo un escenario de bajo nivel de embalses, prácticamente desaparecen los picos de precios mostrados en los escenarios anteriores, lo cual tiene justificación en que se está trabajando con un crecimiento bajo de la demanda. De esta forma, la oferta de energía es suficiente para satisfacer las necesidades de la población con algunas variaciones en el precio afectadas por el nivel de los embalses.
Conclusiones
Si bien el modelo econométrico demuestra la relación inversa entre el precio y el nivel de los embalses, dicha relación es un poco menos notoria en el modelo neuronal, en el cual los picos de precio mostraron mayor dependencia de la relación entre oferta y demanda.
El método econométrico presentó buen desempeño al modelar el precio en función del PIB, nivel de embalses y demanda; encontrando un crecimiento del precio acorde con la tendencia proyectada en el crecimiento de la economía. Es claro de las estimaciones que el nivel de embalses afecta el precio de energía inversamente, indicando que una mayor oferta del factor principal en la producción de energía de origen hídrico debería disminuir el precio. Es destacable de los resultados que el precio de la energía muestra que el precio de bolsa en el largo plazo tiende al precio de los contratos de futuros.
El desempeño de la red neuronal fue muy deficiente al modelar el precio en función del PIB, el nivel de los embalses y el crecimiento de la demanda. Si bien los errores obtenidos al comparar los datos de entrenamiento con los arrojados por el modelo eran aceptables, los precios proyectados a partir del año 2010 eran totalmente alejados de la realidad. Sin embargo, el modelo neuronal del precio en función de la demanda, nivel de embalses y oferta real de energía; mostró un mejor desempeño, encontrándose que los precios medios proyectados para el periodo 2010- 2017 oscilarán entre 100 $/kWh y 150 $/kWh a precios constantes en pesos colombianos de 2009.
Los precios proyectados para el periodo 2010- 2017 son consistentes con los estudios más recientes de la UPME donde consideran que bajo un escenario de crecimiento medio de la economía y con los proyectos de generación que se aprobaron en las subastas de cargo por confiabilidad, los precios de la electricidad podrían oscilar entre 50 y 80 dólares por MWh para una tasa de cambio de 2000 pesos colombianos por dólar americano.
NOTAS
2 En general, puede decirse que la predicción del precio de la energía en los contratos de largo plazo suele ser más precisa, ya que se tiene un mayor conocimiento de los costos de producción de la energía firme a vender.
3 La función directa de demanda es esta en función del precio, esto es D = G(p, Q, X)
5 La transformación logarítmica es monótona, de modo que no afecta ni la estimación ni la predicción.
REFERENCIAS
Aggarwal, Sanjeev K.; Saini, Lalit M. & Kumar, Ashwani. (2009). ''Electricity Price Forecasting in Deregulated Markets: a Review and Evalution'', Electrical Power and Energy Systems, Vol.31, pp.13- 22.
AzadeH, A.; Ghadrei, S.F. & Pourvalikhan, B. (2009). ''One Day – Ahead Price Forecasting for Electricity Market of Iran Using Combined Time Series and Neural network model'', Hybrid Intelligent Models and Applications, Mayo 2009, pp.44 – 47.
Gradojevic, N & Yang, J. (2000). ''The Application of Artificial Neural Networks to Exchange Rate Forecasting: the Role of Market Microstructure Variables''; Bank of Canada, Working paper 2000-23, pp.10-27.
Haykin, Simon (1994). Neural Networks. A Comprehensive Foundation. Macmillan College Publishing Company.
Hamilton, James (1994). Time Series Analysis. Princeton
Johnston, John & Dinardo, John (1997). Econometrics Methods. McGraw-Hill.
Lira, F.; Muñoz, C.; Nuñez, F. & Cipriano, A. (2009). ''Short-term Forecasting of Electricity Prices in the Colombian Electricity Market''. IET Generation, Transmission & Distribution, Vol. 3, Issue. 11, pp.980 – 986.
MATLAB (2012). http://www.mathworks.com/help/pdf_doc/nnet/nnet_ug.pdf. 26 de Enero 2012.
Tang, Qi & Gu, Danzhen (2010). ''Day-Ahead Electricity Prices Forecasting Using Artificial Neural Networks'', Artificial Intelligence and Computational Intelligence Vol. 2, pp.511 – 514.
UPME. Unidad de Planeación Minero Energética (2010a), ''Plan de expansión de referencia. Generación Transmisión 2010-2024''. Colombia.
UPME. Unidad de Planeación Minero Energética (2010b), ''Proyección de demanda de energía eléctrica y potencia máxima''. Colombia.
Velásquez, Juan David & Franco, Carlos Jaime (2010). ''Predicción de los precios de contratos de electricidad usando una red neuronal con arquitectura dinámica''; Innovar, Vol. 20, No. 36, pp.7-14.
Villada, Fernando; Cadavid, Diego Raúl & Molina, Juan David (2008). ''Pronóstico del precio de la energía eléctrica usando redes neuronales artificiales'', Revista Facultad de Ingeniería Universidad de Antioquia, N° 44, pp. 111-118.Disponible en: http://ingenieria.udea.edu.co/grupos/revista/revistas/nro044/articulos.html (Noviembre de 2010).