Carlos Andrés Pérez y Fabio Arias
Carlos Andrés Pérez Ramírez: Estudiante de la Maestría en Economía Aplicada de la Facultad de Ciencias Sociales y Económicas de la Universidad del Valle e integrante del grupo de investigación de Economía Regional y Ambiental. Dirección electrónica: perez.uv@gmail.com. Dirección postal: Universidad del Valle (CIDSE), apartado 25360. Cali, Colombia. Fabio Alberto Arias Arbeláez: Profesor Asistente de la Facultad de Ciencias Sociales y Económicas de la Universidad del Valle, coordinador del grupo de investigación de Economía Regional y Ambiental. Dirección electrónica: fa-arias@univalle.edu.co. Dirección postal: Universidad del Valle (CIDSE), apartado 25360. Cali, Colombia. Esta investigación se desarrolló dentro del grupo investigación de Economía Regional y Ambiental de la Facultad de Ciencias Sociales y Económicas de la Universidad del Valle.
– Introducción. – I. Salarios hedónicos y diferenciales de salario.– II. Estimaciones hedónicas en Colombia. – III. Supuestos y estructura general del modelo. – IV. Los datos. – V. Estimaciones y análisis de resultados. – Conclusiones. – Anexos. – Bibliografía.
Primera versión recibida en junio de 2006; versión final aceptada en enero de 2007
Resumen: El principal objetivo de este artículo es determinar cuál es la valoración
que las personas tienen por la sensación de bienestar físico asociado de manera directa
al clima. Para ello, se identifican, a través de la estimación de un modelo de salarios
hedónicos, las diferencias de salario entre las trece capitales más importantes de Colombia
en el año 2003; se incluye el indicador de confort térmico entre las variables del modelo.
El artículo prueba la existencia de diferenciales de salario asociadas a características
ambientales y de convivencia y seguridad entre ciudades. También se verifica que las
variables ambientales pueden incidir en los ajustes del mercado de trabajo.
Palabras clave: salarios hedónicos, Colombia, confort térmico, calidad de vida,
mercado laboral. Clasificación JEL: Q51, Q54, R13.
Abstract: This paper estimates people' s valuation for the sensation of physical well-
being directly associated with the weather. In order to accomplish this, it identifies,
using an estimation of a hedonic wage model, the wage differentials between thirteen
of the largest and most important Colombian cities for 2003. It includes, among the
variables, a human thermal comfort index related to average climatic conditions. The
paper finds the existence of wage differentials associated with both weather conditions,
and community and security characteristics. It also finds that climatic variables may
impinge on labor market adjustments.
Keywords: hedonic wages, Colombia, thermal comfort, quality of life, labor market.
Résumé: Cet article fournie une estimation concernant le bien-être physique de la
population associé au climat. Pour ce faire, on identifie les différentiels salariaux dans
les treize villes les plus importantes de Colombie pendant l année 2003, en utilisant un
modèle des salaires hédoniques. On considère un indicateur de confort thermique parmi
les variables du modèle. Nous montrons l existence des différentiels salariaux entre les
villes lesquels sont associés à l environnement, à la coexistence citoyenne et à la sécurité.
Egalement, nous constatons que les variables environnementales ont une incidence
dans les ajustements du marché du travail.
Mots clés: salaires hédoniques, Colombie, confort thermique, qualité de vie, marché
du travail.
El principal objetivo de esta investigación es determinar cuál es la valoración que las personas tienen por la sensación de bienestar físico asociado de manera directa al clima. El concepto de Confort Térmico establece de manera precisa cuáles son las condiciones climáticas requeridas para que el cuerpo humano experimente una sensación de bienestar relacionada con el hecho de que el ritmo al que éste genera calor coincide con el ritmo al que se libera para que la temperatura corporal sea la ideal.1 Esto implica, en términos generales, que el cuerpo humano debe perder calor permanentemente, pero a una tasa adecuada.
Una alternativa para obtener la valoración por las características constitutivas de un bien, como lo es el entorno natural y socioeconómico de una ciudad, son las estimaciones de salarios hedónicos que permiten observar los precios implícitos de dichas características. En particular, un estudio de salarios hedónicos permite probar que los diferenciales de salario explican las preferencias de las personas por determinadas características de las ciudades como socio-culturales, de infraestructura, seguridad, convivencia, etc., y ambientales, como el confort térmico.
Los precios implícitos de las características de las ciudades pueden ser empleados en la construcción de indicadores de calidad de vida en términos monetarios. El valor que tome este indicador, estimado para cada uno de los centros urbanos, revela cuál es el monto de la compensación salarial que se le debería reconocer a un individuo por trasladarse de una ciudad a otra con peores condiciones naturales y socioeconómicas.
Entonces, el principal aporte de este trabajo se encuentra en incorporar en un mismo modelo las variables personales como la edad, género y estado civil, al mismo tiempo que las características de las ciudades como determinantes del salario en las 13 principales ciudades de Colombia. Los precios implícitos se utilizan para estimar la calidad de vida en los centros urbanos y obtener así un criterio objetivo de comparación que permita ordenar las ciudades de acuerdo con sus características y con las preferencias que las personas revelan por ellas a través del mercado de trabajo.
La estructura general del documento es la siguiente: primero, se define el concepto de diferencial de salario, se presentan las principales consideraciones metodológicas y empíricas que soportan los ejercicios de salarios hedónicos. Segundo, se procede a hacer un recuento de algunas de las aplicaciones previas a esta investigación en las que se aplica la metodología de precios hedónicos en Colombia. Tercero, se presentan las fuentes de la información utilizada para la estimación del modelo, cuyos resultados son expuestos e interpretados en la siguiente sección donde, además, se emplean los resultados de la estimación para la construcción del indicador de calidad de vida para cada ciudad, lo cual permite hacer un ordenamiento de las ciudades. Las conclusiones del ejercicio son presentadas en la última parte del artículo.
Inicialmente, en esta sección se expone la definición e implicaciones prácticas del concepto de diferencial de salario, luego se presentan los principales referentes teóricos y empíricos que soportan la aplicación de la metodología. También se hace una revisión de los principales referentes empíricos para el caso colombiano.
La teoría de los salarios hedónicos sustenta que los individuos consideran diferenciales de salario. Esto quiere decir que existe un grupo de aspectos del trabajo que representa satisfacciones, pero también existen aspectos de la labor desempeñada que son incomodidades y que se asocian no sólo a la actividad productiva como tal, sino que se pueden referir a la temperatura de la ciudad en la cual se trabaja, el tipo de relaciones interpersonales que se establece en el lugar de trabajo y en la ciudad en la que se desempeña la labor productiva (Rosen, 1979).
Variables como la tasa de homicidios, la composición racial de la población, el número de universidades, la calidad del servicio de transporte o el tamaño de la población son factores que inciden en la determinación del salario de reserva de los individuos. Existe un trade off entre la tasa de salario observada por las personas y aquellos factores que se pueden denominar como satisfactores o comodidades derivadas del empleo y del entorno en el cual éste es desempeñado. De esa forma, los individuos estarían dispuestos a aceptar menores salarios a cambio de trabajos con mayores comodidades o simplemente por aquellos que les gusta desempeñar en determinadas condiciones de la ciudad (Roback, 1982).
Los salarios estarán determinados por las condiciones en las que se debe desempeñar el trabajo y por las cualidades y aptitudes de los trabajadores. De esta manera, el concepto de diferencial compensatoria de salario es utilizado para representar el supuesto de que los trabajadores prefieren empleos en los que existen condiciones y ambiente de trabajo mejores, es decir, si los trabajadores deben elegir entre dos empleos en los que se paga el mismo salario por la misma labor, elegirán aquel en el cual las condiciones de trabajo sean mejores y signifiquen un mayor nivel de bienestar.
El trabajo de Roback (1982), al igual que el de Rosen (1979), se enfoca en la medición de los precios implícitos de algunas características urbanas. El principal aporte de este trabajo fue mostrar la forma en que la migración hacia las ciudades incide no sólo sobre el salario sino también sobre el precio de la vivienda. Además, utiliza el resultado empírico de las estimaciones hedónicas de los mercados de la vivienda y del mercado laboral para construir un indicador de calidad de vida. En ambos trabajos se presta especial atención al efecto que sobre los salarios tienen los índices de violencia y se verifica, como hipótesis, que a mayores niveles de violencia, se pagan mayores salarios para compensar a las personas por exponerse a un ambiente urbano menos seguro.
Un trabajo posterior, en el que se utilizó una base de datos en la que se incluían muchas más características de las ciudades involucradas, es el de Blomquist et al. (1988). En este se hizo un ordenamiento según la calidad de vida revelada por un indicador construido a partir de los precios implícitos estimados. El trabajo se hizo para 253 condados de Estados Unidos prestando atención a la valoración que las personas hacen por aspectos ambientales y climáticos de las ciudades, pero en la estimación se emplean demasiadas variables de este tipo y ello incide en los resultados, pues, a la postre, varias de estas resultan ser no significativas.
Otras aplicaciones de la metodología de salarios hedónicos apuntan a calcular el valor del riesgo a enfermedades y accidentes en el lugar de trabajo. Algunas de las investigaciones más destacadas, y que se inscriben en la línea del cálculo del valor estadístico de la vida a través de diferenciales de salario en trabajos con diferentes niveles de riesgo, son las de Viscusi (1987 y 1993). Los resultados obtenidos en estos estudios son útiles para definir políticas y programas de seguridad laboral civil.
Lucas (1977), incursionó en la labor de identificar las diferenciales de salario asociados específicamente a las diferencias en las condiciones laborales de tipo estructural, jerárquico y de índole cultural, además del retorno de la educación en los diferentes empleos. Sus resultados dejan ver que las personas valoran estos aspectos y que sus decisiones de movilidad entre ciudades están influenciadas por ello.
La literatura más reciente se caracteriza por presentar exposiciones del modelo teórico y definir su principal aplicación en el campo de la valoración de las características de las ciudades. Freeman III (1993), hace una presentación del cuerpo teórico de los modelos de salario hedónico y describe la utilidad de sus aplicaciones. Menciona las relacionadas con la valoración del riesgo de accidente fatal o de enfermedad en el lugar de trabajo y aquellas en las que se identifica la valoración de características de las ciudades. Deja de lado la exposición de las aplicaciones en las que la metodología se emplea para calcular la valoración de aspectos como los que Lucas (1977) incorpora.
Freeman III (1993), demuestra la necesidad de realizar las regresiones hedónicas tanto para el mercado de la vivienda como para el mercado laboral. No es cierto entonces que sólo los diferenciales de salario miden los valores monetarios de las diferencias en el conjunto de características de las áreas urbanas. La implicación empírica de esta afirmación es que el precio marginal implícito de las características de las ciudades será una subestimación de la valoración marginal real que los individuos tienen por esos atributos de ciudad, todo debido a que estos últimos inciden tanto en el mercado laboral como en la determinación de la renta de la tierra en las ciudades.
Pero existe una alternativa para no incluir en el estudio el comportamiento de los precios de la vivienda. En un trabajo efectuado para 3.000 condados de Estados Unidos, Nordhaus (1996) evita realizar las dos estimaciones trabajando la información de salarios en términos reales, es decir, ajustada al costo de vida en cada uno de los condados. Siguiendo ese criterio, en la presente investigación se trabaja con la variable de salario por hora en términos reales. Se ajusta el salario de cada persona de acuerdo a la variación del IPC desde el año 1998 en la ciudad en la que esta habita, así que los resultados obtenidos están expresados en pesos de ese año2 y esos valores incorporan las variaciones en el nivel de precios del mercado de vivienda en cada ciudad.
Realizar una única regresión, la del salario, no es una limitación del ejercicio si se realiza el ajuste de los salarios de la manera arriba sugerida. En el trabajo de Clark y Kahn (1988) se realiza un ajuste a los salarios de las diferentes ciudades para asociar los dos mercados en una sola ecuación, evitando la necesidad de realizar las dos regresiones y concentrar el análisis en verificar la hipótesis de que en el mercado laboral este tipo de valoraciones se efectúan. Si el ajuste no es realizado, el cálculo de la disponibilidad a pagar por las amenidades estará subestimado, pues no se incorpora la parte de la valoración por la amenidad que se refleja en el mercado de vivienda.
En Colombia no se han realizado ejercicios de salarios hedónicos, ni como una aproximación a la explicación del mercado laboral ni como una metodología de valoración de algún tipo de bien o amenidad en las ciudades. La metodología de los precios hedónicos, en contraste, ha venido en boga y se han realizado varios trabajos aplicados para los mercados de vivienda urbana y rural y de la tierra como factor productivo. En el contexto latinoamericano sólo se conoce del trabajo de Vásquez (2005). En esta investigación el autor se esmera en probar la necesidad de realizar una estimación simultánea de las dos ecuaciones hedónicas y de corregir el sesgo de selección.
Entre las investigaciones de precios hedónicos que se han llevado a cabo en el ámbito nacional resalta la de Castellar (1998), quien muestra la forma en que atributos como el número de cuartos, el área con acceso a riego y atributos regionales tienen una relación positiva con el precio de una finca campesina colombiana.
Por su parte, Torga (2003) evalúa el impacto que tuvo sobre el precio de las viviendas en Bogotá la infraestructura del sistema de transporte masivo Transmilenio. Escobar (2004) realiza un estudio para Bogotá aplicando la metodología de precios hedónicos al mercado de la vivienda y en él emplea indicadores de calidad ambiental por localidades.
Otras aplicaciones que emplean la econometría espacial son los trabajos de Morales et al. (2005) y Goyeneche et al. (2003). El primero muestra que existen dinámicas espaciales que operan en el mercado de la vivienda en Bogotá. El segundo realiza la valoración económica del efecto de la erosión en el precio de la tierra rural productiva en una zona del Valle del Cauca.
Otra línea de trabajo identificada es la de la valoración de características ambientales y socioeconómicas en ciudades. En este marco se inscriben los trabajos de Cortés (1999) y de Ruiz (1997). El primero calcula el costo económico de la criminalidad en Cali a través del impacto de esta sobre el precio de las viviendas. Por su parte, Ruiz identifica el efecto que sobre el precio de las viviendas tiene el deterioro de la calidad del aire en el sector nororiental de la ciudad de Cali.
Dada la inexistencia de la aplicación de la metodología de salarios hedónicos para Colombia este trabajo se torna relevante para mostrar que a través del mercado laboral las personas valoran aspectos socioeconómicos, estructurales y ambientales de las ciudades, entre ellos, el confort térmico.
Se supone un número amplio de ciudades tal que entre ellas existe libertad de desplazamiento para las personas. Existe un conjunto de amenidades que varían entre ciudades pero están fijas dentro de cada ciudad. En cada ciudad se produce y se consume un bien x cuyo precio es igual a uno, que es ajustado por el mercado internacional y para nuestro interés será el numerario. Los costos de transporte son nulos. Cada persona elegirá aquel empleo que deba desempeñar en una ciudad cuyas características le representen un mayor nivel de satisfacción, dada una función de utilidad en la que se incorporan las características de la ciudad en la que habita y trabaja.
El vector de características de las ciudades sólo varía en el nivel de una de las amenidades, s, de forma continua desde s1 hasta sn, siendo m el número de ciudades en consideración. En una condición de equilibrio, en cuanto a la distribución entre ciudades de los trabajadores y las empresas, las diferencias en los salarios de las personas y en el precio de la vivienda, se pueden considerar como una función de varias variables, de las cuales sólo varía el nivel de la característica de ciudad si (Hwang, 1998).
Como es normal, asumiremos que los trabajadores son idénticos en cuanto a sus preferencias y características. El problema de los trabajadores se puede resumir en maximizar su bienestar mediante las decisiones de ubicación espacial.
Max U( x, si ) s.a wr + Ir = x (1)
wr representa el salario real asociado a la labor productiva desempeñada y el ingreso no laboral que pueda existir es I.
Pero como el análisis se quiere centrar en la relación que existe entre los salarios reales y los diferentes niveles de la variable de ciudad, si, se usa la función de utilidad indirecta asociada.
V (wr, si ) = α (2)
Donde α es una constante
De esta manera se muestra que el salario se ajustará de tal manera que la utilidad de todos los trabajadores llegue a ser idéntica en todas las m ciudades. La implicación de este ajuste es que los trabajadores ya no tendrán incentivo alguno para desplazarse de una ciudad a otra, pues esto implicaría, por ejemplo, un mayor nivel de la característica de ciudad si, pero también un menor salario real de tal forma que su nivel de utilidad sería el mismo.
Además se asume que:
Vwr ≥ 0, Vsi ≥ 0
Las derivadas parciales de la función de utilidad indirecta con respecto a cada variable que la compone son positivas.
Recordemos en este punto que el bien numerario, x, es el único que se produce, de tal forma que existe una única función de producción cuyas principales características son: 1) presentar rendimientos constantes a escala de los factores y 2) estar en función de la variable de ciudad, si, que en este caso se ha considerado como la única diferente entre las m ciudades. La relación entre la existencia o el nivel de la amenidad si y la estructura de costos de la empresa es positiva. Un ejemplo típico es el de las empresas que prefieren ubicarse en ciudades donde los niveles de contaminación son más elevados, ya que ello implica el pago de tasas retributivas más bajas.
Una empresa ubicada en cualquiera de las m ciudades debe minimizar el costo de producción unitario, C, que deberá igualar el precio del producto. En estas condiciones, las decisiones de las empresas ubicadas en las diferentes ciudades se limitan a ajustar los salarios reales para poder cumplir con la condición arriba señalada.
C = C (wr , si ) = 1 (3)
C = C (wr , sj ) = 1 (4)
Con derivadas parciales: Csj ≤ 0, Cwr ≥ 0.
Se debe notar en este punto que los ajustes que se hacen en los salarios y en la renta son los que permiten alcanzar la condición de equilibrio en la que ningún trabajador y ninguna empresa tienen incentivos para desplazarse de una ciudad a otra. Como lo referencia Blomquist et al. (1988), un equilibrio espacial implica que los trabajadores no pueden aumentar su utilidad y las empresas no pueden reducir sus costos por reubicarse. El equilibrio en los salarios reales se alcanza mediante la igualación de la utilidad entre los trabajadores y el de los costos unitarios de producción de las firmas en todas las ciudades.
El salario real de los trabajadores es determinado a través de la interacción de las condiciones de equilibrio, de tal forma que el efecto económico de los diferentes niveles de si, entre las m ciudades, se aprecia en las diferenciales de salario real de los trabajadores en cada una de las ciudades consideradas.
En equilibrio:
1 = C (wr, si ) (5)
para todas las empresas
U0 = V0 = V (wr, si ) (6)
para todos los trabajadores
El resultado de esta estructura es el hecho de que en las ciudades en las que exista un nivel más elevado de la variable de ciudad, si , los salarios reales serán más bajos, y en las ciudades en las que el nivel de la variable de ciudad es más bajo, los salarios reales serán más elevados.
El modelo a estimar es una estructura funcional que relaciona el salario real, wr, con un grupo de características de la ciudad en la cual se desempeña la labor productiva, si, y otro grupo de características del individuo para el que se consigna el dato, qj.
wr = (si , qj ) (7)
De esta manera se tiene que el precio implícito de la amenidad si estará determinado por:
Psi = - dwr / ds (8)
Para cada ciudad existe un valor de las variables, como el valor de la tasa de homicidios por cien mil habitantes, el tamaño relativo de la malla vial o si las condiciones climáticas de ésta permite alcanzar el confort térmico. De esa forma, conocida la valoración marginal social de cada una de las variables de ciudad y el nivel de estas en cada una de las áreas urbanas, es posible, a través de la sumatoria del producto de los precios implícitos de las características y el nivel de estas en cada una de las ciudades, construir un índice monetario que represente el valor en el que las características de cada ciudad le reportan a sus habitantes un aumento en su calidad de vida.
Definiendo el índice de calidad de vida de la ciudad m como ICVm:
ICVm = ∑i=1nPiSi (9)
i = 1,..., n variables de ciudad
De esta manera es como se pretende hacer comparaciones entre las áreas urbanas consideradas. La diferencia en el valor del índice entre dos ciudades es la prima que, en promedio, paga cada trabajador por vivir en un lugar determinado y dicho pago se hace de forma implícita a través de los mercados de vivienda y de trabajo (Blomquist et al., 1988).
Una interpretación alternativa de la diferencia entre el índice de dos ciudades es la de la prima que un empleador debería pagarle a un trabajador cuando traslada a este de una ciudad cómoda a otra en la que este índice revela una calidad de vida menor para quienes habitan en ella.
Se han empleado diferentes fuentes de información para construir la base de datos necesaria para la estimación de los modelos. La información socioeconómica, entre los que se encuentra la información del salario monetario y en especie, ha sido obtenida de la Encuesta Continua de Hogares (ECH) realizada por el Departamento Administrativo Nacional de estadísticas (Dane) durante el año 2003 y cuyo muestreo garantiza representatividad para las trece ciudades más importantes de Colombia. Los datos obtenidos corresponden, entre otros, a la estructura del hogar encuestado, años de educación, edad, género, tipo de empleo, sector productivo al que se encuentran vinculadas y estado civil de las personas.
Con base en esta información se definen algunas variables dicotómicas para incorporar diferentes aspectos en la regresión. Entre ellas se encuentran la variable casado o en unión libre (casado-unión), la cual indica que la persona ha contraído matrimonio o que vive en unión libre cuando toma el valor de 1; la posición de la persona en del hogar toma el valor de 1 cuando esta se auto-percibe como el jefe. De manera tradicional, el género del encuestado toma el valor de 1 cuando se trata de personas del género masculino.
Los datos de museos provienen del Ministerio de Cultura (http://www.museoscolombianos.gov.co); la información de universidades proviene del Ministerio de Educación (http://www.mineducación.gov.co); los datos sobre delitos y eventos de tránsito fueron obtenidos del Forencis 2002, publicación anual del Instituto Colombiano de Medicina Legal (Icml); los datos de población de las ciudades son obtenidos de las proyecciones que hace el Dane con base en el censo poblacional de 1993.
Los datos referentes a confort térmico son obtenidos del sistema de información georeferenciada del Instituto de Hidrología, Meteorología y Estudios Ambientales de Colombia (Ideam). Esta información está calculada para el 95% del territorio nacional y es incorporada en el modelo como una variable dicotómica que toma el valor de uno si la ciudad en la que reside el individuo configura las condiciones ideales para la aclimatación del cuerpo humano.3 El gráfico 1 muestra las estimaciones de este indicador.
Fuente: Ideam, http://www.ideam.gov.co/files/atlas/mapas%20jpg/confort.jpg
Gráfico 1. Distribución de la sensación climática en el territorio colombiano
Finalmente, el sector productivo al que se encuentran vinculados los individuos de la muestra es referenciado en las estimaciones según los códigos internacionales CIIU. La clasificación considera 10 sectores productivos básicos que son comercio, servicios comunitarios y sociales, construcción, financiero, industrial, inmobiliario, minería, servicios públicos, transporte y agrícola. En todas las estimaciones el sector productivo de referencia es el de servicios comunitarios y sociales.
Esta sección está subdividida en tres partes, en la primera se presentan los resultados de la estimación de los modelos con las transformaciones Box-Cox de salarios hedónicos. En la segunda parte se calculan la valoración social del confort térmico y de otras variables relevantes. A partir de estos cálculos se construye un indicador de calidad de vida para las ciudades y se muestra el ordenamiento de estas, asociado al valor del indicador cuya unidad de medida son pesos colombianos del año 1998.
Para la estimación del modelo se excluyeron de la muestra, además de las personas con ingresos laborales iguales a cero, algunos registros con inconsistencias o con información incompleta. Lo primero se hace para poder efectuar las estimaciones Box-Cox, que en algunos casos no admiten valores de cero en las variables, sin embargo, se corrige el sesgo de selección (Heckman, 1979), por no trabajar con toda la muestra.5
La variable dependiente seleccionada es el salario real por hora de los individuos, este es calculado a partir del promedio de horas que trabaja mensualmente el individuo y su salario mensual real promedio que incluye el salario monetario y en especie. El sustento empírico para utilizar esta variable como dependiente es que incorpora en el modelo aspectos relacionados con el desempleo por horas y de alguna forma involucra un mínimo aspecto relacionado con el estilo de vida de las personas.
Dentro de las variables explicativas se encuentra la que identifica si el individuo reside en alguna de las cuatro ciudades de la muestra que son catalogadas como agradables en términos del confort térmico que experimentan físicamente sus habitantes. Las ciudades en las que la velocidad del viento, la temperatura del aire, la humedad relativa y la intensidad de la radiación solar se conjugan generando las condiciones óptimas para que el cuerpo humano experimente esa sensación de bienestar son Pereira, Manizales, Medellín y Bucaramanga. Si una persona reside en alguna de estas ciudades, la variable confort tomará el valor de 1, y en el caso contrario tomará el valor de cero.
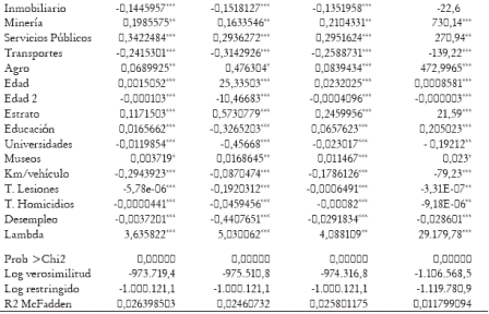
En la tabla 1 se presenta la estimación de los modelos por el método de máxima verosimilitud. Las pruebas de parámetros y los criterios de selección de modelos se encuentran en el anexo 2.
El modelo seleccionado es aquel en el que se realiza la transformación a ambos lados de la ecuación, pero con parámetros diferentes. Los criterios de selección fueron el valor de Akaike, Schwarz, el logaritmo de la función de verosimilitud y el R2 de McFadden. Los modelos lineal y log-log no son estimados, pues las pruebas realizadas en la estimación de cada uno de los modelos presentados arriba rechazan la posibilidad de que esas especificaciones sean correctas.
Tabla 1. Transformación Box-Cox. Variable dependiente: salario real por hora


*/** Estadísticamente significativo a un nivel de confianza = 99%
** Estadísticamente significativo a un nivel de confianza = 95%
* Estadísticamente significativo a un nivel de confianza = 90%
A través de las diferentes estimaciones se observa que las variables típicas de un modelo Minceriano tienen coeficientes con el signo esperado. Sólo para el caso de la variable género se obtiene un estimador con signo no esperado, pero esto puede ser explicado por la corrección del sesgo de selección que se realizó en la etapa preliminar.
El trabajo de Tenjo et al. (2005) muestra que en Colombia se ha presentado una tendencia hacia la igualación salarial entre hombres y mujeres. Inclusive, se encuentra que el salario femenino promedio por hora es mayor que el masculino al excluir de la muestra a las empleadas domésticas.
Por otra parte, se valida el supuesto de rendimientos marginales decrecientes de experiencia y que la educación, medida a través de años de escolaridad, contribuye de manera positiva a la explicación del salario. Las variables jefe de hogar y casado o en unión libre muestran estimadores positivos. Lo primero coincide con lo esperado, pues normalmente quienes se auto-perciben como jefes son a la vez quienes perciben mayores ingresos al interior del hogar.
Los coeficientes estimados para las variables que muestran el sector productivo al que las personas están vinculadas laboralmente indican que quienes trabajan en los sectores financiero, agrícola y de minería tienen mayores salarios que las personas empleadas en los sectores de la construcción, el comercio, la industria y transportes y comunicaciones. Al respecto, cabe destacar el hecho de que no es en el sector industrial en el que se encuentran los salarios más altos y sí ocurra que en las actividades agrícolas y de minería las personas revelen mayores ingresos; una posible explicación a ello es que las encuestas son realizadas en las zonas urbanas y seguramente la mayoría de las personas relacionadas con el sector agrícola, se desempeñan en actividades de tipo agroindustrial, y aquellas relacionadas con el sector de la minería muy probablemente sean personas con alto elevado nivel educativo, pero la clasificación CIIU los ubica en esos sectores.
La constante en un modelo de este tipo no debe ser interpretada como un salario mínimo, sino como la tasa salarial que una persona obtiene cuando las variables explicatorias toman el valor de cero. En este caso específico, el valor negativo del estimador de la constante en el modelo captura también el efecto de trabajar en el sector de referencia, ser mujer, residir en una ciudad carente de confort térmico, residir en una ciudad sin costa marina y no estar casado o en unión libre.
La estimación sugiere que en el mercado laboral las preferencias por el nivel de convivencia de la ciudad en la que se habita se revelan de manera inapropiada. Vargas (2005) sugiere que en países en desarrollo la existencia de una elevada flexibilidad laboral, la no movilidad perfecta de los trabajadores y las restricciones de renta hacen que la valoración por aspectos como la seguridad pase a un segundo plano.
Para el caso colombiano, estudios recientes como el de Sánchez (2005) sugieren que el conflicto armado incide de manera directa en el desarrollo económico de los municipios y deja ver que de alguna forma los efectos de la violencia y del conflicto armado interno son los que se dejan ver en un ejercicio como el aquí propuesto y esto, sumado a las condiciones laborales, inciden en el hecho de que el resultado obtenido para las variables de convivencia en las ciudades no sea el esperado.
Acerca del estimador de la variable dicotómica confort térmico, debe destacarse el que este conserve su signo y su significancia estadística en los cuatro modelos. A partir de este resultado, y del obtenido para variables como el número de universidades, la cercanía al mar y la relación de kilómetros pavimentados por vehículo en las ciudades, se procede a realizar el análisis de bienestar a través del cálculo del indicador de calidad de vida.
En primer lugar, se entiende bienestar en el sentido que lo hace Cohen en Nussbaum y Sen (1993, p. 29). Como un disfrute o más ampliamente, como un estado deseable o agradable de conciencia, que se asimila como bienestar hedonista , en el cual las preferencias ordenan jerárquicamente los estados del mundo, en el que las necesidades de una persona se satisfacen si esta obtiene un determinado estado del mundo, sea que lo sepa o no.
En ese sentido, no es indispensable asumir que cada individuo decida en algún momento si se trasladaría o no a un centro urbano; lo que se pretende es explicar cómo las decisiones del agregado permiten equilibrar el mercado laboral para que en este se muestre la forma en que las personas valoran aspectos climáticos específicos de las ciudades y que están directamente relacionados con una experiencia física de bienestar.
Para poder realizar la comparación, en términos de bienestar, entre ciudades, se procede a calcular el índice de calidad de vida (ICV) para cada una. Las características de ciudad que se incorporan en este índice son la existencia de costa marina en la ciudad, el indicador de densidad vehicular, el número de universidades y las características climatológicas agregadas a través del indicador de confort térmico. Las variables cuyos estimadores, además de ser significativos, presentan un signo esperado.
Para el caso del modelo seleccionado, el cálculo del precio de las características requiere de un paso adicional, el de linealizar los coeficientes obtenidos en la estimación.10 Luego, se procede a calcular la valoración económica de cada una de las amenidades involucradas en esta parte del análisis. La ecuación 12 ilustra la forma de obtener el precio de la amenidad s.
Ps* = - Ij* (11)
Aquí, Ij es el ingreso laboral del individuo j, y el otro factor es el valor del coeficiente obtenido en la estimación del modelo para la característica de ciudad s, es decir, bs.
El procedimiento para calcular el ICV se explicó en la ecuación (9) pero cabe anotar que existen dos posibles formas de realizar el cálculo del precio marginal implícito de una amenidad. La primera es empleando la media del ingreso de todos los individuos en la muestra con la que se ha trabajado y multiplicar ese valor por el estimador obtenido para cada una da las características de ciudad. La otra forma consiste en calcular el precio implícito para cada uno de los individuos y posteriormente obtener el valor medio. El resultado del primer procedimiento es el precio marginal de la amenidad y el segundo es el valor medio del precio marginal de la amenidad. Aquí se trabaja con el cálculo del precio marginal de la amenidad.
1. Cálculo del valor económico de las amenidades
En este punto es importante recordar que a pesar que la variable dependiente del modelo es el salario por hora, el objetivo es calcular la valoración económica de amenidades como el confort térmico y construir un ICV que permita realizar comparaciones entre ciudades. Es necesario calcular la valoración anual de los intangibles para poder calcular el indicador.
En la tabla 2 se resume la información pertinente para el cálculo de la valoración económica de las amenidades y del ICV.
Tabla 2. Media y desviación estándar de variables laborales para toda la muestra

Fuente: ECH-DANE. Cálculos propios
El valor económico de las amenidades involucradas en el modelo hedónico del salario es presentado en la tabla 3. La relación de kilómetros de la malla vial pavimentados por vehículos en la ciudad tiene la valoración más alta, mientras que el número de universidades es aquella que reporta menor bienestar al común de los ciudadanos.
Tabla 3. Valoración económica de las amenidades a través del salario

Fuente: Cálculos propios
La variable Km. pavimentados/vehículo es tal vez la más diciente de aspectos urbanos que están relacionados con el bienestar de las personas en un centro urbano. Este es un indicador frecuentemente utilizado para dar una idea del estado de la malla vial de una ciudad, en este sentido se puede afirmar que las personas valoran en alto grado el estado de la infraestructura urbana.
La disponibilidad de costa marina en un centro urbano incide positivamente sobre las posibilidades de recreación y de esparcimiento de las personas, como se refleja en los resultados con una alta valoración. Al respecto del número de universidades, es importante destacar que aunque no todas las personas incorporen dentro de su función de utilidad el número de centros de educación superior en el agregado, el bienestar social se puede ver afectado por el fenómeno descrito.
Se ha probado la hipótesis de que las personas están dispuestas a renunciar a una proporción de su salario real a cambio de poder establecerse en un centro urbano en el que las condiciones climáticas sean las más adecuadas para el ser humano. Este resultado sugiere que debería pagarse una prima por trasladar a una persona que habite en una ciudad en la que su organismo experimenta una sensación de bienestar a otra en la que las condiciones climáticas le obligarán a padecer las condiciones climáticas de esta. Más aún, se ha mostrado que esta variable es significativa a la hora de explicar la forma en que los mercados laboral y de vivienda se equilibran.
2. Cálculo del indicador y ordenamiento de las ciudades
Después de calcular el precio de las amenidades que se pueden valorar a través del mercado laboral, es posible calcular el ICV antes propuesto. Los resultados son presentados en la tabla 4 y en ella ya se han ordenado los centros urbanos en función del valor del indicador de manera descendente, es decir, la primera ciudad observa el valor más alto del indicador, mientras que la última presenta las peores condiciones a la luz de las variables empleadas para el cálculo.
La ordenación realizada para las trece ciudades está limitada a las cuatro amenidades valoradas y en ese sentido el indicador puede estar bastante limitado, pero, en últimas, representa una manera objetiva de cuantificar la valoración que las personas le dan a estas. Ver tabla 4.
Tabla 4. Indicador de calidad de vida para las 13 ciudades

Fuente: Cálculos propios.
Es de resaltar el hecho de que tres de las ciudades en las que existe confort térmico están ubicadas en la parte media de este escalafón. Y por otra parte, debe resaltarse el hecho de que una ciudad como Pasto, en la que no se presenta el fenómeno del confort térmico y tampoco tiene costa, sea la que ocupe el primer lugar el la tabla. La principal razón por la que esto ocurre es porque esta ciudad cuenta con el mejor indicador de Km. pavimentados/vehículo y es precisamente esta variable la que representa mayor bienestar a los ciudadanos, según las estimaciones realizadas.
También resalta el hecho de que Bogotá no ocupe el primer lugar de la lista, pero las razones son contundentes. Esta ciudad presenta el peor indicador de Km. pavimentados/vehículo, en ella el ser humano no experimenta el confort térmico y tampoco tiene costa marina. La razón por la que no ocupa el último lugar en este análisis es que es la ciudad en la que existe un mayor número de centros de educación superior.
La razón por la que Cali se encuentra ocupando el puesto 11 en esta lista está en que en esta ciudad se observa un valor medio de Km. pavimentados/vehículo, el número de universidades también es relativamente bajo y allí el ser humano no experimenta la sensación de bienestar asociada al confort térmico.
Finalmente, las causas por las que la ciudad de Cúcuta ocupa el último puesto en esta ordenación son contundentes. Esta ciudad no tiene costas, el número de universidades es muy pequeño, el indicador de Km. pavimentados/vehículo es muy bajo y está ubicada en una región predominantemente calurosa.
A todo esto debe agregarse que, por ejemplo, el valor de la compensación que se le debe pagar a una persona que se traslada de Pasto a Cúcuta asciende a $391.971. El valor resulta de la diferencia en el ICV de las ciudades comparadas y se asume que es una compensación, pues la estimación sugiere que en Pasto la persona obtenía una mejor calidad de vida.
En el caso contrario, cuando una persona debe trasladarse de una ciudad como Pereira a otra como Medellín, la diferencia entre el valor del ICV no representa el monto de una compensación salarial, sino la renta a la que estaría dispuesta a renunciar esa persona para poder acceder a las comodidades existentes en la ciudad de destino. En este caso, una persona estaría dispuesta a renunciar a $111.297 de su renta y de esa manera podría mantenerse e n la misma curva de indiferencia.
El ejercicio realizado permite verificar que aspectos de las ciudades relacionados de forma directa con el bienestar de las personas inciden en el mercado laboral de tal forma que el trade off entre amenidades y salario se verifica. Aspectos como la tasa de homicidios de las ciudades, el número de museos y la tasa de lesiones personales no pueden ser valorados a través del mercado laboral y la razón puede ser que, para el caso de las variables de convivencia, el efecto perverso de la violencia sobre el crecimiento y el desarrollo económico prevalece. Otra posible explicación por la cual la relación predicha por el modelo no se observa en las estimaciones es debido al prevaleciente carácter selectivo de la violencia en los centros urbanos.
Las estimaciones pueden parecer limitadas por el escaso número de variables incorporadas en el cálculo del índice de calidad de vida, pero esto no es verdaderamente un inconveniente si a la hora de interpretar los resultados se tiene en cuenta lo primero. Antes bien, se ha podido verificar que las variables ambientales pueden generar procesos migratorios que a la postre se traducen en un ajuste del salario vía oferta de trabajo. Un índice de calidad de vida, medido en términos monetarios, ilustra de manera clara que la valoración económica de aspectos ambientales explica cómo las preferencias de los individuos sobre condiciones de este tipo exige el pago de primas de traslado para no afectar el bienestar de las personas.

Fuente: Dane (ECH 2002), Forencis 2003, Ministerio de Educación, Ideam y Ministerio de Cultura y Turismo.
Anexo 2. Pruebas de parámetros y criterios de selección de los modelos estimados
Prueba de parámetros y criterios de selección modelo θ ≠ λ

Prueba de parámetros y criterios de selección modelo θ = λ

Prueba de parámetros y criterios de selección de la transformación del modelo θ (variable dependiente)

Prueba de parámetros y criterios de selección de la transformación del modelo λ (variables explicatorias con valores positivos)

Anexo 3. Modelo de participación empleado para calcular la razón inversa de Mill

1 El rango de temperatura corporal ideal se encuentra ubicado entre lo 35,5o C y 37,5 o C.
2 En promedio, durante el año 1998, un dólar americano representaba $1.427,24 según el Banco de la República.
3 Esta estimación corresponde a la distribución de la sensación climática en el territorio colombiano. Representa la sensación que experimenta el ser humano de las condiciones climáticas. Está influenciado por la temperatura, la humedad, el viento y la radiación solar.
4 La transformación se hace tanto en la variable dependiente como en aquellas independientes con valores en rango positivo. El modelo general de las transformaciones de este tipo es el siguiente: Yθ / (1-θ) = Xλ / (1 - λ)
5 Se estima un modelo Probit de participación. Ver tabla 3 de los anexos.
6 Modelo transformado en variable dependiente y en variable independiente por parámetros tal que θ ≠ λ.
7 Modelo transformado en variable dependiente y en variable independiente por parámetros tal que θ = λ.
8 Modelo transformado en variable dependiente.
9 Modelo transformado en variable independiente.
10 En Linneman (1980) se hace una exposición precisa acerca de la forma en que deben ser transformados los coeficientes para las otras transformaciones Box-Cox.
11 El salario mínimo legal para el año 2003 era de $334.755 pesos.
1. Blomquist, Glenn; Berger, Mark y Hoehn, John (1988). New Estimates of Quality of Life in Urban Areas, The American Economic Review, 78:89-107.
2. Castellar, Carlos (1998). Valoración de las características de una finca campesina mediante precios hedónicos, Tesis Doctoral, Universidad Autónoma de Barcelona.
3. Clark, David y KahHn, James (1988). The Two-stage Hedonic Wage Approach: A Methodology for the Valuation of Environmental Amenities, Journal of Environmental Economics and Management, Vol. 16, No. 2, pp. 106-120.
4. Cortés, Paula Andrea (1999). La Seguridad: Factor Determinante del Precio de la Vivienda en Cali, Tesis, Universidad del Valle.
5. Dane (Departamento Nacional de Estadísticas) (2003). Encuesta Continua de Hogares, Bases de datos.
6. Escobar, Luís (2004). Evaluación de la calidad ambiental por localidades en Bogotá: una aproximación a la construcción de índices de calidad ambiental, Gestión y Medio Ambiente, Vol. 2 No. 7.
7. Freeman III, A. Myrick (1993). The Measurement of Environmental and Resources Values: Theory and Methods, Washington DC, Resources for the Future Press.
8. Ideam. Mapa de confort térmico anual, disponible en: http://www.ideam.gov.co/files/atlas/mapas%20jpg/confort.jpg (enero 15 de 2006).
9. Instituto Colombiano de Mmedicina Llegal (2003). Forencis 2002, mimeo.
10. GoyenechCHe, Fernando; Carriazo, Fernando y Vinha, Katia (2003). Efecto de la erosión en el precio de la tierra y sus implicaciones de política, Tesis para obtener el Master en Economía Ambiental, Universidad de los Andes.
11. Gronberg, Timothy y Rreed, W. Robert (1994). Estimating Workers Marginal Willingness to Pay for Job Attributes Using Duration Data, The Journal of Human Resources, Vol. 29, No. 3, pp. 911-931.
12. Heckman, James (1979). Sample Selection Bias as a Specification Error, Econometrica, Vol. 47, No. 1, pp. 153-162.
13. Hwang, Hae-Shin; Mmortensen, Dale y Rreed, Robert (1998). Hedonic Wages and Labor Market Search, Journal of Labor Economics, Vol. 16, No. 4, pp. 815-847.
14. Linneman, Peter (1980). Some Empirical Results on the Nature of the Hedonic Price Function for the Urban Housing Market, Journal of Urban Economics, Vol. 8, No. 1, pp. 47-68.
15. Lucas, Robert (1977). Hedonic Wage Equations and Psychic Wages in the Returns to Schooling, The American Economic Review, Vol. 67, No. 4, pp. 549-558.
16. Ministerio de Eeducación. IES y programas, disponible en: http://www.mineducacion.gov.co/1621/articles-96064_archivo_xls1.xls (mayo 17 de 2005).
17. Morales, Leonardo y Arias, Fabio (2006). La calidad de la vivienda en Bogotá: enfoque de precios hedónicos de hogares y de agregados espaciales, Sociedad y Economía, No 9.
18. Nordhaus, William y Yang, Zili (1996). A Regional Dynamic General Equilibrium Model of Alternative Climate-Change Strategies, The American Economic Review, Vol. 86, No. 4, pp. 745-765.
19. Red NnacCional de Museos. Directorio de museos, disponible en: http://www.mineducacion.gov.co/1621/articles-96064_archivo_xls1.xls(mayo 17 de 2005).
20. Roback, Jennifer (1982). Wages, Rents, and the Quality of Life, The Journal of Political Economy, Vol. 90, No. 6, pp. 1257-1278.
21. Rosen, Sherwin (1974). Hedonic Prices and Implicit Markets: Product Differentiation in Pure Competition, The Journal of Political Economy, Vol. 82, No. 1, pp. 34-55.
22. Rosen, Sherwin (1979). Wage-based Indexes of Urban Quality of Life, en Miezkowski, Peter y Straszheim, Mahlon (eds.), Current Issues in Urban Economics, Baltimore: Johns Hopkins University Press.
23. Ruiz, Carlos (1997). Incidencia de la contaminación en lo precios de la vivienda en Cali, tesis en economía, Universidad del Valle.
24. SánchHez, Fabio y Díaz, Ana (2005).Los efectos del conflicto armado en el desarrollo social colombiano, 1990-2002, Documento CEDE, No. 58, Facultad de Economía. Universidad de los Andes.
25. Nussbaum, Martha y Sen, Amartya (1993). La calidad de vida, capítulo 1, pp. 29, Fondo de Cultura Económica, México.
26. Torga, Felipe (2003). Examining Accessibility and Proximity-Related Effects of Bogota s Bus Rapid System Using Spatial Hedonic Price Models, Tesis de maestría, University of North Carolina.
27. Tenjo, Jaime; RribBero, Rocío y Bernat, Luisa (2005). Evolución de las diferencias salariales por sexo en seis países de América Latina: Un intento de interpretación, Documento CEDE, No. 18, Facultad de Economía, Universidad de los Andes.
28. Vásquez, Felipe (2005). Interurban Wage and Rent Differences: The Value of Air Quality and Crime in Chile, Tesis Doctoral, Department of Agricultural and Resource Economics, University of California, Berkeley.
29. Viscusi, Kip y Moore, Michael (1987). Workers Compensation: Wage Effects, Benefit Inadequacies, and the Value of Health Losses, The Review of Economics and Statistics, Vol. 69, No. 2, pp. 249-261.
30. Viscusi, Kip (1993). The Values of Risks to Life and Health, Journal of Economic Literature, Vol. 31, No. 4, pp. 1912-1946.