Una aproximación empírica a la relación entre el desempleo y las vacantes para Popayán, 2001-2005

 

An Empirical Approach to the Relationship between Unemployment and Vacants for Popayan, 2001-2005



Une approche empirique de la relation entre le chômage et l'offre de travail pour la ville de Popayán entre 2001 et 2005

 


Julián Durán y Jhon James Mora

 

Julián Durán Peralta: Departamento de Economía. Universidad Icesi. Dirección electrónica: julduranp@yahoo.com. Dirección Postal: Calle 18 No 122-135, Departamento de Economía. Cali Colombia.

Jhon James Mora Rodríguez: Departamento de Economía. Universidad Icesi. Dirección electrónica: jjmora@icesi.edu.co Dirección Postal: Calle 18 No 122-135, Departamento de Economía. Cali Colombia.

Este documento es resultado de la investigación ''El efecto socioeconómico de la ley Páez sobre el departamento del Cauca'', financiada por Comfacauca. Los autores agradecen a los participantes de la Segunda Jornada Nacional de Investigación en Macroeconomía Aplicada realizada en la Universidad de Antioquia, al editor y a los evaluadores anónimos de la Revista por sus valiosos comentarios. Como es usual, los errores que persisten son solo responsabilidad de los autores.

 

Introducción. I. La función de emparejamiento y la Curva de Beveridge. II. Los datos. III. El modelo econométrico y los resultados. Conclusiones. Bibliografía.

 

Primera versión recibida en agosto de 2006; versión final aceptada en noviembre de 2006

 

Resumen: Este artículo presenta evidencia empírica sobre la relación entre las vacantes y el desempleo, a través de la Curva de Beveridge, para la ciudad de Popayán entre 2001 y 2005, siguiendo un modelo de datos de panel por áreas de desempeño. Los resultados del modelo muestran que la elasticidad del desempleo con respecto a las vacantes es estadísticamente significativa y positiva. Este resultado puede deberse a la existencia de shocks asimétricos en los distintos sectores de la economía payanés, que se estarían reflejando en la dinámica de las áreas de desempeño laboral. De esta forma, se estaría presentando una recomposición de las actividades económicas de la ciudad de Popayán durante el período estudiado.

Palabras clave: datos de panel, desempleo, vacantes, Curva de Beveridge.

Clasificación JEL: C23, E24, J4.

Abstract: This article presents empirical evidence about the relationship between job openings and unemployment through a Beveridge Curve for the city of Popayán between 2001 and 2005, following a panel data model by work areas. The results of the model show that the elasticity of unemployment with respect to job openings is statistically significant and positive. This result can be due to the existence of asymmetric shocks in the different sectors of Popayán's economy that would be reflected in the dynamics of the work areas. Thus, a recomposition of the economic activities of Popayán's economy would be taking place during the time period under study.

Keywords: panel data, unemployment, job openings, Beveridge Curve.

Résumé: Cet article fait une étude empirique sur la relation entre les offres d'emploi et le chômage pour la ville de Popayán entre 2001 et 2005. Pour ce faire, nous utilisons la Courbe de Beveridge dans un modèle sur données de panel pour les différents types d'emploi. Les résultats du modèle montrent que l'élasticité du chômage par rapport à l'offre d'emploi est statistiquement significative et positive. Ce résultat peut être expliqué par des chocs asymétriques dans les différents secteurs économiques de la ville de Popayán. Ces chocs asymétriques se reflètent sur la dynamique des différents types d'emploi. Ainsi, il existerait une recomposition des activités économiques de la ville de Popayán pendant la période étudiée.

Mots clés: données de panel, chômage, offres d'emploi, Courbe de Beveridge.

 

 

Introducción

Al igual que en el resto Colombia, durante el 2005, el mercado laboral en departamento del Cauca también experimentó fuertes movimientos. Como resultado de ello, la tasa de desempleo en el Cauca que se encontraba en el 8,7% en el 2004 aumentó a un 9,7% durante 2005, según el Departamento Administrativo Nacional de Estadística -Dane-.

Un alto desempleo puede ser el resultado de cambios estructurales que impliquen una recomposición en las actividades económicas de una región y una reasignación en el trabajo llevando a movimientos en vacantes y desempleo, en lo que se conoce como la Curva de Beveridge.1 De esta forma, dicha curva nos brinda información esencial acerca del mercado laboral y los shocks que lo afectan (Blanchard y Diamond, 1989).

Por su parte, la reasignación en el trabajo deberá llevar a ajustes en la capacitación de las personas y, por lo tanto, contribuirá a la discusión sobre la pertinencia de los conocimientos adquiridos para ejercer una actividad u oficio.

El objetivo de este trabajo es estimar la Curva de Beveridge desagregando las vacantes y el desempleo por áreas de desempeño, camino diferente al de estimaciones anteriores. Esta desagregación permite el seguimiento de las áreas de desempeño en el tiempo lo cual implica el uso de la metodología de datos de panel con el fin de realizar estimaciones consistentes.

Este artículo está organizado de la siguiente manera. En la primera parte, se presenta la función de emparejamiento y la Curva de Beveridge; en la segunda, se describen los datos; en la tercera, se estima la Curva de Beveridge por áreas de desempeño con información de vacantes y desempleo para la ciudad de Popayán durante el período 2001-2005; y finalmente se presentan las conclusiones.

 

I. La función de emparejamiento y la Curva de Beveridge

La relación entre la dinámica de las vacantes y el desempleo ha sido abordada a partir de la función de emparejamiento (Matching) y la Curva de Beveridge. A comienzos del decenio de los cincuentas y posteriormente en el decinio de los sesentas los trabajos exploraron el exceso de demanda en el mercado laboral y su influencia en la curva de salarios, lo cual fue motivado por el extenso estudio de la Curva de Phillips.2 En esta los movimientos arriba o debajo de ella mostraban exceso de demanda de trabajo. Además, ésta puede cambiar como resultado de cambios en la velocidad de clarificación del mercado o cambios en la composición sectorial de la demanda de trabajo (véase Lipsey, 1960; Holt and David, 1966 y Hansen, 1970).

Entre los decenios de los setenta y ochenta se desarrolló como alternativa el modelo de búsqueda y el modelo de emparejamiento. La principal diferencia con respecto a los desarrollos anteriores consiste en derivar las relaciones entre las vacantes y el empelo a partir del equilibrio más que a partir del desequilibrio. El modelo fue desarrollado por Diamond, Mortensen y Pissarides (veáse Pissarades, 2000; Pissarides y Petrongolo, 2001 y Yashiv, 2006).

A continuación, se plantea el modelo que relaciona a las vacantes con el desempleo, siguiendo el desarrollo de Pissarides (2000). Sea U el número de desempleados, V el número de vacantes en una economía y M es el número de contrataciones que se efectúan en un período de tiempo o emparejamiento, entonces:

M = m(U,V) (1)

La función de emparejamiento (1) es creciente tanto en los desempleados como en las vacantes ya que si aumenta el número de personas que buscan empleo es más probable que se incremente el número de contratados por las empresas y, de igual forma, si crece la cantidad de vacantes también lo hace la posibilidad de que los individuos encuentren un puesto de trabajo. También se asume que (1) es cóncava y homogénea de grado uno, lo cual implica que el número de contrataciones varía de manera proporcional a los cambios en las vacantes y en los desempleados. Manteniendo estos supuestos, la función (1) puede expresarse como la tasa de contrataciones respecto a la fuerza de trabajo L, que depende de la tasa de desempleo u y de vacantes v, es decir:

m = (M/L) = m(u,v) (2)

A continuación supóngase que el tiempo es continuo y que la probabilidad de que un trabajador empleado sea despedido es η. De esta forma, la evolución de la tasa de desempleo en el tiempo será:

u = η(1- u) - m(u,v) (3)

Obsérvese que a partir de (3) la tasa de desempleo crece si la tasa de despidos es mayor que la tasa de contrataciones, y viceversa. Dado que en el estado estacionario la tasa de desempleo es constante, entonces la tasa de despidos y la de contrataciones deberán tener las mismas magnitudes. Por lo tanto, igualando (3) a cero el equilibrio implica:

u* = (1/η)[η - m(u*,v*)] (4)

La ecuación (4) muestra la relación de largo plazo entre las tasas de vacantes y de desempleo en una economía, o Curva de Beveridge, y depende de la probabilidad de ser despedido η y de las contrataciones m(u,v). Derivando la tasa de desempleo con respecto a las vacantes, se encuentra que la primera derivada es negativa mientras que la segunda es positiva, por lo cual la Curva de Beveridge en el espacio (u,v) tendrá pendiente negativa y es convexa con respecto al origen, como se muestra en el gráfico 1.

Gráfico 1. Vacantes y desempleo frente a fluctuaciones agregadas

Gráfico 1. Vacantes y desempleo frente a fluctuaciones agregadas

Se observa que existe una relación inversa de largo plazo entre la tasa de desempleo y la tasa de vacantes, en ausencia de cambios estructurales que afecten a la tasa de despidos o a la tecnología que define la tasa de contrataciones.

Por un lado, cuando la economía experimenta un período de auge la relación vacantes-desempleo está en un punto alto sobre la curva y cuando existe una recesión esta relación se ubica en un punto bajo sobre la curva. Este tipo de desplazamiento es propio del ciclo económico teniendo su origen en choques agregados que afectan a la economía en su conjunto.

Por otro lado, si la economía experimenta cambios estructurales, es posible esperar que la curva se desplace, debido a que esos choques generan cambios en la función de emparejamiento. Por ejemplo, si disminuye a través del tiempo la eficacia del proceso de búsqueda por parte de los desempleados, es de esperar que el número de contratados descienda para un nivel constante de vacantes y desocupados y por esta vía se origine un desplazamiento de la curva hacia la derecha, tal como se aprecia en el gráfico 2.

Gráfico 2. Desplazamientos de la Curva de Beveridge

Gráfico 2. Desplazamientos de la Curva de Beveridge.

En el caso de que ocurran choques asimétricos entre los distintos sectores, regiones o áreas ocupacionales para una economía, también puede ocurrir un desplazamiento de la Curva de Beveridge. El gráfico 2b expone una situación en la cual algunos sectores de la economía sufren un shock expansivo, aumentando la demanda por ciertos tipos de trabajadores lo que lleva a una reducción en el desempleo y a un aumento en las vacantes ofrecidas (punto A1 en el gráfico 2b). De manera simultánea, otros sectores de la economía pueden experimentar una recesión, produciéndose una reducción de la demanda de trabajo por los obreros con cierto tipo de calificación y un aumento en los despidos. Estos factores llevan a un alto nivel de desempleo y pocas vacantes (punto A2). En el agregado, se ha provocado un mayor nivel de vacantes y desempleo, y la capacidad de la economía para generar nuevas contrataciones disminuye (induciendo cambios en la función de emparejamiento). Gráficamente, esto significa un desplazamiento de la Curva de Beveridge hacia fuera, ubicándose el punto de equilibrio en A', con una combinación de vacantes v0 y desempleados u0, que es mayor a la combinación de vacantes v0 y desempleados u0 del punto A.

Los resultados empíricos sobre la Curva de Beveridge han mostrado evidencia tanto de relaciones de largo plazo como de cambios estructurales. Por ejemplo, Lillien (1982) encuentra que el aumento a través del tiempo de la heterogeneidad en las habilidades de los trabajadores y los cambios estructurales en los sectores productivos en Estados Unidos ocasionaron un desequilibrio en la dinámica entre las vacantes y el desempleo, produciendo una relación positiva entre la tasa de desempleo y las vacantes para los Estados Unidos, para el período 1968-1980. Pissarides (1986) y Blanchard y Diamond (1989) demuestran una relación negativa entre el desempleo y las vacantes para el Reino Unido y los Estados Unidos respectivamente; lo cual es corroborado por Layard, Nickell y Jackman (2005) en una muestra de dieciséis países. Finalmente, el análisis de la Curva de Beveridge se ha extendido a: la intensidad en la búsqueda de empleo ó el cambio estructural en la economía en los trabajos de Layard, Nickell y Jackman (1991), Yashiv (2000); la desagregación por regiones o sectores económicos como Anderson y Burgess (2000); y los tipos ocupacionales como Fahr y Sunde (2001), Belani, Garcia y Pasten (2002), y Hanse y Pancs (2002).

 

II. Los datos

La información estadística empleada para calcular la Curva de Beveridge proviene del Centro de Información para el Empleo (CIE) del Sena, sede Popayán. De esta base de datos se extrajo las series de las vacantes y de los desempleados por áreas de desempeño laboral para los años 2001 hasta 2005. El área de desempeño está relacionada con el tipo de actividad que ha de realizarse para cumplir con un propósito ocupacional. En el presente trabajo se sigue la Clasificación Nacional de Ocupaciones (CON), que consiste en: finanzas y administración; ciencias naturales, aplicadas y relacionadas; salud; ciencias sociales, educativas, religiosas y servicios gubernamentales; arte, cultura, esparcimiento y deportes; ventas y servicios; explotación primaria y extractiva; oficios y operación de equipo y transporte; y procesamiento, fabricación y ensamble.

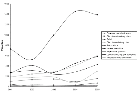
Como se aprecia en el gráfico 3, en el período de análisis, las vacantes presentan un comportamiento cíclico en algunas áreas de desempeño, como en finanzas y administración, en ventas y servicios, en oficios, operación de equipo y transporte, y en procesamiento, fabricación y ensamble. Otras áreas de desempeño como ciencias naturales, aplicadas y relacionadas, salud, arte, cultura, esparcimiento y deportes, y el área explotación primaria y extractiva, muestran un comportamiento más bien estable, indicando un estancamiento en la demanda laboral de este tipo de trabajadores; mientras que el área de desempeño ciencias sociales y otras presentan un crecimiento continúo durante todos estos años, señalando que existe una posible expansión de las empresas de carácter social ó sin ánimo de lucro que usan este tipo de trabajadores en Popayán. También es de resaltar el gran crecimiento que experimentan las vacantes en el área de desempeño de ventas y servicios entre 2002 y 2004, lo que demuestra que se generó un aumento importante en la demanda laboral del sector comercio y servicios en ese periodo, pero luego decrece en el 2005. Finalmente, se observa un aumento de las vacantes en todas las áreas ocupacionales para el año 2005, con excepción del área ocupacional de ventas y servicios.

Gráfico 3. Dinámica de las vacantes por áreas de desempeño

Fuente: Sena. Cálculos propios

Gráfico 3. Dinámica de las vacantes por áreas de desempeño

En cuanto a la dinámica de los desempleados, en el gráfico 4 se observa también un comportamiento cíclico en algunas áreas de desempeño como finanzas y administración; salud; la explotación primaria y extractiva, y oficios, operación de equipo y transporte; mientras que el resto de áreas experimentan un crecimiento continuo en el número de desempleados, que puede ser de gran magnitud como sucede con el área de desempeño ventas y servicios, o un crecimiento lento como en el caso de las áreas de desempeño ciencias naturales, aplicadas y relacionadas, ciencias sociales, educativas y religiosas; servicios gubernamentales; arte, cultura, esparcimiento y deportes, y procesamiento, fabricación y ensamble.

Gráfico 4. Dinámica de los desempleados por áreas de desempeño

Fuente: Sena. Cálculos propios.

Gráfico 4. Dinámica de los desempleados por áreas de desempeño

Como hecho peculiar del comportamiento de estas series, se tiene que el área de desempeño ventas y servicios presenta un importante crecimiento a partir de 2002, tanto en el número de vacantes como de desempleados, lo que señalaría que no existe una relación inversa entre estas dos variables en el corto y mediano plazo en este caso. Así mismo, esta área de desempeño laboral es la que presenta el mayor número de vacantes y desempleados durante los años de análisis, indicando que es un área de desempeño laboral bastante representativa del mercado de trabajo de Popayán.

Además, es importante señalar que la tendencia en la tasa de desempleo del departamento del Cauca, la cual muestra un crecimiento entre 2004 y 2005, también se estaría reflejando en el mercado laboral de la ciudad de Popayán, pues al analizar el gráfico 4 se aprecia que en todas las áreas de desempeño, con la excepción del área salud, se da un aumento en el número de desempleados en estos dos últimos años.

 

III. El modelo econométrico y los resultados

A continuación se realiza una estimación de la Curva de Beveridge empleando un modelo de datos de panel, el cual consiste en relacionar el comportamiento de los desempleados y las vacantes para el periodo 2001-2005. En el modelo se puede especificar la heterogeneidad individual en las áreas de desempeño a través de efectos fijos o efectos aleatorios. El modelo con efectos fijos será:

Ln(D)i,t = αi + βLn(V)i,t + εi,t (5)

En el modelo (5), i es el área de desempeño laboral, t es el período de tiempo, V es el número de vacantes, D es el número de desempleados, αi es el efecto fijo de cada área de desempeño y constante a lo largo del tiempo, β es la elasticidad del número de desempleados ante variaciones en el número de vacantes y εit es el término de error idiosincrático. Por su parte, el Modelo con efectos aleatorios será:

Ln(D)i,t = α + βLn(V)i,t + µi + εi,t (6)

En el modelo (6), α es el término constante para todas las αreas de desempeño, β es la elasticidad del número de desempleados ante variaciones en el número de vacantes, µi son los efectos no observados de la i-ésima área de desempeño y εit es el término de error idiosincrático.

De (5) y (6) se deduce que β es la elasticidad entre el número de desempleados y el número de vacantes, es decir, indica cuál es la variación porcentual en el número de desempleados cuando el número de vacantes varía en 1%. Cuando existe una relación inversa de largo plazo entre el número de desempleados y el número de vacantes, el valor de β debe ser negativo. Adicionalmente, en el caso de shocks asimétricos en los distintos sectores de la economía y de recomposición en las actividades el valor de β sería positivo.

Los resultados de la estimación del modelo de la Curva de Beveridge para Popayán se presentan en la tabla 1.

Tabla 1. Estimación de la Curva de Beveridge (2001-2005)

Tabla 1. Estimación de la Curva de Beveridge (2001-2005)

Nota: t-estadístico entre paréntesis para los modelos de efectos fijos y aleatorios. El valor z entre paréntesis para el modelo FGLS.

Como se observa de la tabla 1, las estimaciones por efectos fijos y efectos aleatorios presentan problemas de heterocedasticidad, pero no de correlación serial de primer orden, lo que hace necesario estimar el modelo por FGLS y de esta forma corregir los problemas de heterocedasticidad.

Los resultados de este modelo arrojan que el parámetro β es igual a 0,57, el cual es estadísticamente significativo y posee signo positivo, por lo tanto, ante un aumento del 1% en el número de vacantes, el número de desempleados varía en un 0,57%; así, hay una relación positiva entre la dinámica de las vacantes y los desempleados.

Este resultado puede deberse a la existencia de shocks asimétricos en los distintos sectores de la economía payanés, que se estarían reflejando en la dinámica de las áreas de desempeño laboral. Durante el período 2001-2005, algunas áreas económicas de esta ciudad han aumentando su demanda laboral por cierta clase de trabajadores mientras que otras la han disminuido, como por ejemplo en las ventas y servicios (ver gráficos 3 y 4), lo cual lleva a pensar en una posible recomposición de las actividades económicas, y que explicaría porque tanto el número de desempleados como el de vacantes aumentan en forma simultánea en las áreas de desempeño laboral analizadas.

Cabe observar también que los resultados aquí expuestos sobre la Curva de Beveridge para la ciudad de Popayán corresponden más a una situación de mediano plazo, ya que el periodo analizado es entre 2001 y 2005, por lo cual, en el largo plazo, cuando la economía se haya ajustado a los shocks será posible pensar en una relación negativa entre las vacantes y los desempleados, tal como lo predice la teoría económica.

 

Conclusiones

Los resultados de la función de emparejamiento para Popayán muestran que existe una relación positiva entre la dinámica de las vacantes y los desempleados. Este resultado puede deberse a una recomposición de las actividades económicas, lo cual explica el aumento simultáneo tanto en el número de desempleados como en el de vacantes y un valor positivo en la pendiente de la Curva de Beveridge.

Esta recomposición de las actividades económicas llevará a una reasignación en el trabajo y a ajustes en la capacitación de las personas como, por ejemplo, en las áreas de ciencias sociales que han mostrado un crecimiento continuo en las vacantes como resultado de la expansión de las empresas de carácter social ó sin ánimo de lucro que usan este tipo de trabajadores en Popayán, o en el área de ventas y servicios lo cual muestra un mayor dinamismo del área de servicios.

Y aunque este no es el primer análisis sobre la Curva de Beveridge realizado en Colombia (véase López, 1996), este análisis es el primero realizado con datos de panel para una ciudad en Colombia, lo cual permitirá futuras comparaciones con la dinámica de las vacantes y el desempleo en otras ciudades así como la discusión sobre la recomposición de las actividades y su efecto sobre el mercado laboral.

 

Notas

1. El nombre se debe a sir William Beveridge, abogado y miembro del parlamento británico quien en un reporte de 1944 discutió la relación entre la demanda de trabajadores, capturada por las vacantes, y la tasa de desempleo.

2. El exceso de demanda se puede definir como las vacantes no ocupadas menos los trabajadores desempleados.

 

Bibliografía

1. Anderson, P. y Burgess, S. (2000). Empirical Matching Functions: Estimation and Interpretation Using Disaggretate Data, Review of Economic Statistics, Vol. 82, No.1, pp. 93-102.

2. Belani, D. García, P.y Pastén, E. (2002). Curva de Beveridge, Vacantes y Desempleo: Chile 1986-2002.II, Documentos de Trabajo. Banco Central de Chile.

3. Blanchard, O. y P. Diamond (1989). The Beveridge Curve, Brookings Papers on Economic Activity, No.1.

4. Fahr, R. y Sunde, U. (2001). Disaggregate Matching Functions, IZA Discussion Paper No. 335, Bonn.

5. Hansen, B. (1970). Excess demand, unemployment, vacancies and wages, Quarterly Journal of Economics 84, 1 - 23.

6. Hansen, M. y Pancs, R. (2002). The Beveridge Curve and the Matching Function: Indicators of Normalization in the Latvian Labour Market, EuroFaculty.

7. Holt, C. y David, M. (1966). The concept of vacancies in a dynamic theory of the labor market. En: Measurement and Interpretation of Job Vacancies, ed. NBER. New York: Columbia University Press.

8. Lyard, R., Nickell, S. y Jackman, R. (2005). Unemployment, Macroeconomic Performance and the Labour Market, segunda edición. Oxford: Oxford University Press.

9. Lillien, D. M. (1982). Sectoral Shifts and Cyclical Unemployment, Journal of Political Economic, Vol. 90, No.4, pp. 777-703.

10. Lipsey, R. (1960). The relation between unemployment and the rate of change of money wage rates in the United Kingdom, 1862 - 1957: a further analysis, Economica, No. 27, pp. 1 - 31.

11. López, H. (1996). Ensayos sobre economía laboral colombiana. Fonade- Carlos Valencia Eds. Bogotá.

12. Pissarides, C. (1986). Unemployment and vacancies in Britain, Economic Policy, No. 1, pp. 499 -559.

13. ____________, (2000) Equilibrium Unemployment Theory. Second Edition. Cambridge, MA: The MIT Press.

14. Pissarides, C. y Petrongolo, B. (2001). Looking into the Back Box: A Survey of the Matching Function, Journal of Economic Literature, Vol. 39, No.2, pp. 390-431.

15. Servicio Nacional de Aprendizaje - Sena - (2006). Bases de datos electrónicas del Centro de Información para el Empleo Popayán, 2001, 2002, 2003, 2004 y 2005.

16. Yashiv, E. (2000). The Determinants of Equilibrium Unemployment, American Economic Review, Vol. 90, No.5, pp. 1297-1322.

17. ____________ (2006). Evaluating the Performance of the Search and Matching Model  European Economic Review, Vol. 50, No.4, pp. 909-936.