ARTÍCULOS
The Effects of Remittances on Household Consumption, Education Attendance and Living Standards: the Case of Colombia
El efecto de las remesas en Colombia sobre el consumo de los hogares, la asistencia
escolar y el nivel de vida
Les effets des transferts d'argent en provenance de l'étranger sur la consommation
des ménages, leur éducation et leur niveau de vie : Une étude pour la Colombie
Carlos Medina*; Lina Cardona**
* Banco de la República. Dirección Electrónica: cmedindu@banrep.gov.co. Dirección postal: Banco de la República, Calle 50 No. 50-21, Medellín.
**Banco de la República. Dirección electrónica: linacardonasosa@gmail.com. Dirección postal: Banco de la República, Calle 50 No. 50-21, Medellín.
–Introduction. –I. Previous Work. –II. Data. –III. Reasons for Migration in Colombia in Late 1990. –IV. Profile of the Emigrant and the Migrant. –V. Migration, Remittances and Profile of Households Receiving Remittances in Colombia. –VI. Changes in the Composition of Household Spending. –VII. Effects of remittances on living standards of households. –Conclusions. –References. –Annex.
Abstract: We assess whether international remittances affect Colombian household's expenditure composition and demand of education. We exploit the migratory wave and institutional barriers to migration that occurred during the late 1990s, identifying the effect of remittances on expenditure composition. The findings suggest a positive effect on education, with beneficiary households spending about 10 percent more of total expenditure on education than non-beneficiary households.
In contrast, no effect was found on enrolment rates. However, the analysis indicates an important effect on the probability of attending a private, rather than a public educational institution. Additionally, this study finds no effects on consumption, investment and health expenditure, although remittances do have salient effects on living standards.
Key words: International Remittances, International Migration, Safety Net, Consumption Composition. JEL Classification: F22, I31, P36.
Resumen: Este artículo evalúa si las remesas internacionales afectan la composición del gasto de los hogares y su demanda por educación, para lo cual se estudia la ola migratoria que tuvo lugar a finales de 1990 y las barreras institucionales a la migración. Se encuentra evidencia empírica de un efecto positivo en la educación, con hogares beneficiarios gastando alrededor de diez por ciento más del gasto total en educación que los no beneficiarios. Aunque no se encontró efecto en las tasas de asistencia, se encontró un efecto importante en la probabilidad de asistir a una institución privada en lugar de una pública. Por otro lado, no se encuentra efectos sobre consumo, inversión o salud, pero sí efectos importantes en los estándares de vida.
Palabras clave: remesas internacionales, migración internacional, red de protección, composición del consumo. Clasificación JEL: F22, I31, P36.
Résumé : Cet article analyse les effets des transferts d'argent en provenance de l'étranger sur les dépenses des ménages ainsi que sur leur demande d'accès à l'éducation. Pour ce faire, nous étudions la vague d'émigration qui a eu lieu à la fin des années 90 ainsi que leurs barrières institutionnelles. Les résultats montrent que les ménages qui perçoivent ces transferts d'argent dépensent 10% de plus sur leur éducation, c'est-à-dire qu'il y a un effet positif des transfers d'argent en provenance de l'étranger sur l'éducation. Même si nous ne constatons pas un effet sur les taux d'assiduité à classe, on trouve un effet assez important sur la probabilité de s'inscrire dans un établissement éducatif privée au lieu d'un établissement publique. Finalement, nous trouvons un effet positif sur le niveau de vie mais ne trouvons pas des effets sur la consommation, l'investissement ou bien sur l'accès à la santé.
Mots clé : Transferts d'argent en provenance de l'étranger, migration internationale, réseau de protection, consommation. Classification JEL: F22, I31, P36.
Introduction
The migration phenomenon regained importance in late 1990s in Colombia. This was not only because of the migratory wave that distorted the long term pattern of increasing international mobility of the work force, but also because of the transfers that emigrants who are currently working abroad have sent to their relatives that stayed in Colombia. This figure has been drawing increasing attention, as their aggregate amount at the nationwide level, increased from less than US$0,8 billion (0,8% of GDP) in 1998, to US$3,06 billion (3,8% of GDP) and US$3,17 billion (3,3% of GDP) in 2003 and 2004 respectively. The uncertainty inherent to its measurement, and to its initial source of funding, has generated increasing polemics regarding whether revenues from remittances are a channel through which other types of funds enter into the economy, to what extent such inflows can explain the evolution since 1999 of local currency relative to the US dollar, and for how long will they be sent. Efforts have been concentrated in verifying the total amount in remittances entering the country, and in explaining the socioeconomic profile of beneficiaries.
Likewise, they try to identify if in fact that flow of resources corresponds to the revenues of Colombians currently residing abroad (verifying net migration).
In as much as the flow of remittances corresponds to a transfer of private resources among sectors and individuals, the role they play in income redistribution should also be considered, as well as their potential effect on the composition of Colombian households' expenditure. The latter should also shed some light on the performance, at the aggregated level, of remittances, in the sense of whether they constitute or not revenues in favor of human capital accumulation, investment, and long term growth, be it permanently or temporarily. Had these resources affected consumption composition of household sensibly, for example in education or health, given the magnitude of remittances, they should be considered when evaluating government policies.1
Lack of household data on migration and remittances has encumbered the study of the phenomenon, and thereby, little has been done in terms of the impact these revenues have on total spending by households. Even though remittances have a final use that may be consumption, investment or savings, among others, their impact is more tangible when observing the marginal increase in the mentioned uses, in contrast with the final destination their income would have had in the case they did not receive the remittance resources.
This paper seeks to determine the role that remittances play on consumption level, demand of education, and living standards of their beneficiary households. Let us begin describing the sequence of facts to address in order to answer our questions. We observe households in 2003, those that receive remittances and those who do not, and we compare between these groups their consumption profile and living standards. Even though some remittances could go to purposes other than household's expenditures, as we will see, under reasonable assumptions it is found that total amount of remittances reported by households in surveys is consistent with the total amount reported in the balance of payments (BP) category for remittances.2
In order to identify the effect of remittances on consumption, it is sought to inquire about their origin, so that we can control for its potential endogeneity. As we will argue, the economic crisis that took place in Colombia between 1998 and 1999 played a key role in the migratory activity observed thereafter, which was correspondingly followed by the constant increase in remittances. We use the migratory response of households as a source of exogenous variation to identify the effect of remittances on household's consumption decisions, since migration was meant to cope with the crisis and not to affect in any way such decisions.
Thus, we characterize beneficiary households of remittances, but also emigrants, and returned migrants, and use this information to estimate Engel curves, and per capita expenditure levels, for expenditures on health, education, consumption and investment, explained by whether household receives remittances, along with other control variables. We also estimate the determinants of schooling attendance to private or public institutions.
The results of empirical exercises suggest that, with the exception of a positive effect on education spending, remittances would not have additional effects on the composition of household spending.
In addition, it can be observed that the revenue from remittances not only represents a considerable share of the total revenues their beneficiary households, but also allowed for an improvement in the distribution of income. Nonetheless, the greater income that receptor households have available has not generated substantial increases in the marginal spending on healthcare, consumption and investment. The insignificance of the additional increase in the abovementioned expenditures by households receiving remittances, backed by the demonstrated importance of having a family member leaving the country between 1998 and 2002 (recession period) in the probability of receiving or not remittances, gives indications that the remittance may have turned into an income allowing many households to sustain their initial status.
Along these lines, the final result of the migratory activity and the corresponding evolution of remittances the country experienced in recent years would have rather played a role as a mechanism of social protection for households to keep the living standards they had before the crisis, than as a factor that would have induced significant changes in their spending decisions.
I. Previous Work
A. Incentives for migrating
To better understand the money transfer phenomenon, and the amounts involved in transfers, it is useful to contextualize who are the people that migrate from the country and the reasons for their migration.
Besides comparing the cost of migrating and the income that they expect to get in the country of destiny versus the income they get in the origin country, the decision to migrate is strongly influenced by the composition and features of the household and family ties (Borjas and Bronars, 1991). The above mentioned circumstance is evident in the political decisions of some countries, such as the United States, which favors in particular those persons that already have family members living in that country.
According to Borjas and Bronars (1991), families act as maximizing agents in the moment they realize that the migration of one of its members will eventually increase their income.3 They argue that countries with higher income inequality would have higher returns to skills than those with less inequality, and thus, less skilled individuals would gain more from migrating to a more equal society than highly skilled. They define such type of migration as negatively selected (immigrant skills are below average). The income of an unmarried immigrant will also be influenced by its family composition. In fact when there is positive selection (the most qualified people leave) an unmarried immigrant will have earnings above that of an immigrant with a family.
Since the immigration is part of a maximizing strategy of the household, part of the earnings in the destiny country will go to the origin country as remittances. But, which are the factors that determined the money transfers? The economical literature finds in Lucas and Stark (1985) three reference terms that try to explain this.
The first one makes reference to plain altruism or benefits that the person sending the money gets by sending these resources to the beneficiaries. The second one deals with the migrant's self-interest. Lucas and Stark describe three cases in which self-interest may work: (i) remitter's aspiration to inherit, assuming that the larger the remittance the larger the potential to inherit, (ii) investing in physical or human capital in the country of origin as a way of saving, and (iii) desire to return home in the future, which would move remitters to invest in physical capital for his own future maintenance, or for the migrant's prestige or influence.
The third reason for sending remittances is that which makes reference to a type of informal contract between migrant and home. Johnson y Whitelaw (1974) report cases in which there has been a strong correlation between the most highly-educated individuals and their sending remittances, and therefore, they conclude that their sending remittances corresponds to an amortization of the investment in migrant's human capital family made some years ago. On the other hand, decision to send money may also make part of migrant's risk diversification strategy.
The importance of why immigrants send remittances is a key point for identifying the amount of the transfer and its permanence throughout the life cycle. Hence, individuals sending because of altruism implies greater transfers to the poorest households (which originally allocate more resources to consumption), and that is coherent with what Lucas and Stark mentioned, of remittances being a private source of income redistribution.
The motivation of self interest, on its part, may lead to investment and also to some savings, and that may imply two things: on the one hand, the desire of returning (which implies that the flow of resources will not prevail through time), and on the other hand, the contribution to growth via savings and investment.
II. Data
To estimate the potential effect of remittances on household's expenditure composition, we use the Living Standards Measurement Survey 2003 (Encuesta de Calidad de Vida, ECV03), carried out by the Administrative Department of National Statistics, DANE, but we also get estimates using the survey of International Immigrants and International Remittances in the West Central Metropolitan Area 2004 (Encuesta del Area Metropolitana Centro Occidental, AMCO). To understand the recent migratory activity, we use the AMCO survey, the reports of migration by the Administrative Department of Security of Colombia, DAS, the 2000 United States Population Census, and the immigration statistics of the United States from U.S. Department of Homeland Security (2004). Next we describe each of these data bases.4
A. Living Standards Measurement Survey 2003, ECV03
This survey was conducted in 2003 to more than 20,000 households across the country, and it is conducted approximately every five years, with the final goal of monitoring the living standards of Colombian population. The survey is abundant in socio economic information, income, household composition, etc. It includes the following question about international remittances: ''Have you received any cash income as means of support coming from any other household or institution? (Parents, children, relatives, friends)''. In case the answer is affirmative, the person is asked if the money came from within the country or abroad or from both parts. Finally, they are asked the amount of money received.
B. Survey on International Immigrants and International
Remittances in the West Central Metropolitan Area 2004, AMCO The sampling framework of this survey is made up by the households of the Metropolitan Area of the west central region of Colombia (municipalities of Pereira, Dos Quebradas, and La Virginia) and that appeared in the counting of houses, households and economical units carried out by DANE the first quarter of 2004. In that counting of housing units, DANE asked whether households had any migratory experienced (current emigrants or returned migrants), and whether they received remittances. Thus, the survey was designed to be statistically representative of each of these two populations across socioeconomic strata (table 1).
The Chapter dealing with international remittances in this survey
is very accurate and complete and includes among others the following
questions: How many persons send you money from abroad? How long
have you been receiving money from abroad? What relationship do you
have with the people that send you money from abroad? How often do
you receive this money from abroad? How much did you get the last time
they send you the money? How do they send you this money?
III. Reasons for Migration in Colombia in Late 19905
During late 1990 the United States had an aggressive emigration of Colombians. This was mainly due to the economic crisis that started in 1998 and caused a real decrease of the product from 4,2% in 1999.
Since the crisis affected the whole country, and since access to the United States until recently required and continues to require compliance with a series of conditions and demands that exclude a significant part of the population, restricting such access to a small group of privileged individuals, it would be expected that the migration experience observed in Pereira and its metropolitan area in this case, would quite precisely resemble the migration dynamic of the country.
Even though migration had historically been more frequent towards the United States than to other destinations, the crisis in late 1990s triggered a massive emigration to destinations different to the United States, in ratios of at least seven times higher than those historically recorded. To the United States there was observed an increase in the migratory flow of Colombians relative to the historical trend, but there were other countries like Spain that had the highest levels of Colombian immigration, with respect to their historical trends. In the particular case of Spain, its level of Colombian immigrants increased up to ten times its historical figures.
As it is seen in graph 1, this accumulation of Colombians is due to the acceleration of their entering the United States as temporary visitors.
According to the AMCO survey, 46% of Colombian immigrants arrived
to the United States after 1998, and out of those, 83% are working or
looking for a job. These figures confirm their goal of traveling abroad: to
find a source of income to compensate it loss due to the economic crisis.
It follows that most Colombian immigrants, who entered United States
as temporary visitors, have actually entered the country looking for labor
opportunities. The number of Colombians who have entered that country
as temporary visitors, with the expectation of settling down there, would
be around 45000 in 1999.
Despite the Census does not provide information after 1999 to make an estimate, the difference among temporary and permanent Colombians observed in graph 1, based on OIS data, suggests that a similar number of Colombians would have entered the country with presumably akin objectives in 2000, where it peaked, and 2001, and the number of Colombians would seem to have decline towards 2004.
In the event the migratory trend observed in the United States would be a generalized situation in other countries, the increase of Colombians abroad would be getting to a halt, and the country would be about to start a period of stability and possible decrease of emigration. That seems to be the case according to the evidence presented by Medina and Cardona (2006), which show that net migration to the United States reached in 2003 levels below those observed in 1996, and net migration to all destinies registered a huge decline between 2001 and 2002.
IV. Profile of the Emigrant and the Migrant
Emigrants found in the AMCO survey are older, more educated and less likely to be working than those of the AMCO survey. The results show that the average emigrant is above 35 years of age. Except for what was observed in the West Central zone (AMCO, 2004) where we can see a much younger migratory flow than the one found by Gaviria (2004) using US census data.
The evidence shows that contrary to what would be expected, most emigrants are women. Years of schooling of the average emigrant are close to 12. More than half emigrants are employed abroad, a similar share speaks a language different to Spanish, and 70% send remittances.
The returned migrant on his part, is older and more educated than the emigrant, and is much more likely to have sent remittances when abroad (99%) than it is currently the emigrant (70%). They seem to be people who left close ties in Colombia when left the country: are more likely to be males, not single, who left on average close to four years before the AMCO survey (year 2000), and were less likely to be employed abroad than current emigrants. According to graphs 6 and 7, migrants older than 45 years, with at least complete higher education, are more likely to return to the country, while those below 45, with 11 to 16 years of education, are more likely to stay.6
V. Migration, Remittances and Profile of Householdsz
Receiving Remittances in Colombia Since the late 1990s there has been a close relation between the number of new emigrants and the amount of remittances sent to the country. According to EVC03, 3,4% of Colombian households are beneficiaries of international remittances. Differentiating by regions, the populations from Valle, Atlantic Coast, Antioquia and Central regions have greater chances of receiving remittances while the people from the Pacific Region and Orinoquia have less chance.
Initially we have to point out the fact that the household with better incomes are the ones that get the remittances. As a matter of fact the middle class households were the ones that were most favored (strata 3 and 4) as well as those households were the person in charge was more educated (high school graduated). This evidences that in the case of any family member leaving the country and sending remittances back to the country, had to have at some point the minimum investment to cover migration costs.
After a similar characterization Gaviria (2004) concludes that the remittances are an alternative for the middle class with difficulties, but are not an option for the poorest population. Among the characteristics that are associated to higher probability of receiving remittances we find that households who suffer economic contingencies due to the economic crisis of late 90s, and that in addition, any member of the household left the country, are more likely to receive remittances. Head of household women who do not report spouse, households with more members beyond 60 years, larger in number, and with less children (as more children would have represented an additional barrier for leaving the country), are as well more likely to receive remittances.
VI. Changes in the Composition of Household Spending
In an economy like the Colombian, which has recently undergone one of its worst recessions in history, the flow of remittances to the country, nearing 4% of GDP, generates all sorts of expectations and speculations concerning the policies that government may adopt for better channeling their usage. Ultimately, the country has fiscal difficulties and great social needs, in the face of which remittances are a potential source to leverage public policies.
Even though until recently, interest in the issue of remittances has concentrated in its macroeconomic effects, predominantly in the exchange rate and the consequent loss of competitiveness for the national industry, an overview of the social needs and sources of funding for them leaves the fact clear that the their amount is not only key for promoting social policies, but also for evaluating those that are already being executed.
This point can be illustrated if taking the example of the needs for education and health of the population. In both cases, coverage is far from being universal, and therefore pressing needs abound. Separately, their budgets are sizeable: for education, of around 5% of GDP; for healthcare, 4% of GDP. If there were knowledge that remittances that households receive were spent with a priority in covering the needs for education and healthcare, it would be clear if the recent fluctuations in their amount, which increased from being 1% of GDP between 1998 and 2004 to representing 4% of GDP nowadays, have to be taken into account when evaluating the health and education policies of administration during its tenure.
Based on the aforementioned, it becomes desirable to know about the rationalization that households make of their remittances, with the purpose of better understanding the achievements in the major policy fronts of the government, and also to promote a culture that would encourage a better use of those resources for the wellbeing of households and the country.
The change in the composition of spending is also another form of
measuring the effects of the remittances in the wellbeing of companies.
It would be expected that at the margin, any increase in the consumption
of some goods (education, health, investment and/or consumption in
goods not strictly belonging to the foodstuffs group) experienced by some
households that receive remittances does not imply an increase in the
relative wellbeing of receptors in comparison with households that do not
receive remittances.
Adams (2005) conducted a study for Guatemala in which he sought to demonstrate the change in the composition of spending in healthcare, education, and durable goods of households being receptors of remittances. Contrary to what had been expected (given the conditions in that country), beneficiaries of remittances spent less on consumption than those who did not receive international remittances. Meanwhile, the part of spending allocated to investment increased in a larger degree for remittance-receptor households than for those which were not receptors.
Even though higher spending in goods such as healthcare and education implies greater wellbeing for the household, expenditures in items such as investment, in addition to the latter, may also have direct implications on the country's economic growth, and from there, the importance that this topic and contributing to its understanding has for those in charge of economic policies.
Previous studies have described the use of remittances by households based on what households claim in surveys. Garay and Rodríguez (2005) illustrate the use households make of remittances according to what they report in the AMCO survey. AMCO households report to expend the highest share of remittances in food (28%), followed by what they pay to public utilities (23%) and housing (15%). Gaviria and Mejía (2005) present similar statistics for the RCN survey, with figures of 26% for expenditure in food, 19% to public utilities, 16% to health, 14% to housing, and 13% to education. While in AMCO, the figures correspond to what households claim they expend remittances in, in RCN they correspond to what the remitters consider remittances should be expend in. Neither of these studies tries to establish whether these household would keep their consumption patterns had they not received remittances. They proceed to elicit consumption shares by trusting recipients and remitters of remittances, but they do not consider that recipients pool remittances into a single basket of resources for multipurpose expenditures, what makes difficult for them to distinguish what resources are funding each expenditure, neither that independent of what the remitter had in mind when sending the remittances, the recipients have to a large extent discretion on the destination of these resources, since they are aware that its destiny is difficult to monitor by the former.
In the next section, we use variations in the amounts expended in several items, and received in remittances, to try to identify the effect of remittances on household's consumption patterns and education choices. No subjective information is considered in the exercise.
A. Effect of Remittances on Household's Consumption
This section intends to quantify the impact that remittances have on the different items that make up household spending. In particular, it aims at assessing their impact over the share of total expenditures households allocate to education, health, investment, and consumption.
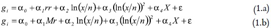
In order to identify the change in the composition of household spending in the wake of changes in revenues (in this case, attributable to remittances), the following Engel curves were estimated:

In case (1.a), gi is the participation of spending in item i (namely education, health, consumption or investment) in total spending; rr is a dummy per household standing for whether or not it receives international remittances, our treatment variable; x corresponds to the total spending, n to the total numbers of persons that conform the household, ln(x/n) is the natural logarithm of the per capita expenditure, a variable that is also included in its square form in order to accomplish a better adjustment of the regression.
Also considered are other factors affecting the composition of household spending, X, such as the total number of persons and the spending unity, the age of the head member of the household, his/her education level, his/her gender, total number of children, dummies for no children in household, absent spouse, marital status of the household head, dummies for housing characteristics, household's sisben* score, and geographical region dummies.
For equation (1.b), the estimation of the Engel curve is performed considering as part of the explicative variables the amount received by households on the concept of remittances, Mr. The other variables are the same than for case (1.a).
Model Identification: In order to obtain an unbiased coefficient of the remittance amount variable (Mr) or of the receives-remittance variable, it is necessary to consider the problem of the endogenous nature of the variable. Clearly, remittance-receptor households are not a set of households randomly selected from the total. These households have specific conditions, as also do the immigrants sending the remittances to their relatives. In this sense, the error term in the equation would contain non-observable information associated to the mechanisms which determine the household receiving the remittance. And, therefore, it is necessary to instrument that variable with the aim of obtaining an unbiased estimator in its coefficient.7
To determine which variable may be an adequate instrument, two aspects of the problem herein are developed. The first has to do with the process that determines if a household is to receive the remittance, and the second has to do with the institutional framework that is required for a country to be able to leave the country.
The first aspect to develop corresponds to the conditions that
characterized the emigrant's exit. As was illustrated earlier, a large share of
remittances the country currently receives comes from Colombians who
left the country towards the end of the nineties because of the economic
crisis. In fact, based on the AMCO survey, approximately 65% of current
emigrants left Colombia after 1998, and 70% of them send remittances.
Because of the latter, the information based on whether some members
of the household left the country because of the crisis would be very informative of the probability that the household receives remittances. In
this sense, since people who left the country did it mostly to cope with the
crisis and not by any means to satisfy specific expenditure needs, a variable
telling if a household member had to leave the country in the juncture
of its crisis would be a good instrument to correct the problem of the
endogenous nature of the remittance variable.
The other aspect to develop in order to make it instrumental would be the institutional framework for a Colombian to be able to leave the country. In this issue, several aspects need to be considered. The first has to do with the fact that the majority of remittances comes from countries which have several barriers for entering, as are the cases of the United States and Spain. The second has to do with the fact that in Colombia, the access to visas for those countries has been simply a privilege for the upper classes, leaving the ordinary citizen out of it. In the case of the poorest or rural households, merely the trip to the capital city in order to obtain the visa already stands as a barrier against meeting that purpose.
Another aspect which is fundamental in determining whether a
person can exit is the existence of relatives or friends outside the country.
In order to capture that factor, it is necessary to have information about
the household environment, but not only within the short term, but also
in the medium term, so that it would allow inferring if at least someone
in the household has had the opportunity to leave the country. For that
reason, we try to capture these two aspects by using the NBI, which tells
us the percentage of households that were poor in the municipality where
the parents of the head lived when specific household members were
born. This variable has two components: on one side, if the municipality
is poor, it is likely that the household faces barriers to leave the country,
and on the other side, counting on information for the long term would
also make it possible to indicate if someone belonging to the household
has left the country. This is a key factor in determining the ability to
leave the country.
B. Results
We estimate equations (1.a) and (1.b) for four different dependent variables defined as the share of total expenditure expend in each of consumption, education, health and investment, using ECV03 and AMCO.8 Our estimates using ECV03 are obtained for the whole country, as well as for a specific region of the country.9
Theoretically, our estimates might not identify any effect if households' additional earnings due to remittances were expend in the same proportions their initial income was expend (homothetic preferences). That is the empirical question we now address.
1. Education expenditure
Once equations (1.a) and (1.b) were estimated for all cases, only effects of receiving remittances on the share of expenditure on education, when using the ECV03 survey, for the specific region of the country previously mentioned, were found to be positive and statistically significant.10
Results are presented in table 2. It reports our findings using two sets of instruments: one with NBI and a dummy variable for households in which some member left the country between 1998 and 2002 (presumably due to the economic crisis), and the other using the gender of household head as an additional instrument. Results are consistently similar. Once instrumented, the effect of remittances fluctuates around 10% depending on whether we consider potential biases due to the characteristics of the group of households who expend in education in relation to those of all households or not.11
The additional increase in education spending could suggest an increase in enrollment, a change form public to private institutions, or both. We now proceed to explore such possibilities. To do it, we estimate equations similar to (1.a) and (1.b), first, using as dependent variable a dummy equal to 1 if the individual assists, and zero otherwise. Then we estimate an additional model using a dummy equal to 1 if the person who assists does it to a public institution, and zero if assists to a private institution.12 We perform these exercises first for individuals 5-30 years, and then for the sets of individuals who attend to each education level (primary, secondary or higher education), or who does not assist, but if were going to assist, could do it to that specific level.13
Results of this exercise are presented in table 3. We found no impact of remittances on enrollment for individuals 5-30 years old, but we do find an important substitution effect from public to private institutions for individuals 5-30 years old, and for those in secondary and higher education for individuals in household that receive remittances in the specific region previously described, using ECV03. Individuals 5-30 years old, in households that receive remittances, are 24-25% more likely to assist to a private institution than those in a household that does not receive remittances. The largest effect (50%) is for individuals assisting to secondary, while that for those assisting to higher education s as well large (40%). For these, individuals living in households receiving the average remittance are 14% more likely to assist to a private institution that those living in household with no remittances.14
2. Consumption expenditure
When a remittance has that exclusive destination, according to literature, it suggests that the motivation for the money transfer is simply ''altruism'' (Lucas y Stark, 1985) on the side of the sender of the remittance towards the beneficiaries of it. Simultaneously, in the case when strict reference is made to food consumption, this latter destination as the one with greater proportion of the total expenditure implies that in the view of lesser disposable revenue, any additional increase would be directed to satisfying basic needs, such as nourishment.
Initially, one would not expect that the greater revenue per remittance would be translated into a greater aggregate consumption (not strictly foodstuffs) for the beneficiary households. Even though in the margin, the fact of receiving or not remittances is not a determinant of greater spending in household consumption relative to total expenditure, the amount of remittances can become that in some specific cases.
In general, the results obtained in the consumption spending suggest the rejection of a hypothesis of what Adams (2005) denominated ''new status'', given that a highly significant increase in consumption of additional goods on the side of the household is not observed.
3. Expenditure in Healthcare
In none of the estimations for the different samples, the fact of receiving remittances or their magnitude represented a greater consumption in health services of the beneficiary households.
Considering the fall in healthcare spending between 1997 and 2003 and the character of luxury that it acquired for Colombian households during that lapse, as also Ramirez, Muñoz and Zambrano (2005) conclude, the fact that the remittance does not imply a change in the receptor households' consumption of the said service supports the idea that international remittances have not been a source of revenues leading households to increase their spending in consumer goods, in this case luxury ones, referring to healthcare (according to the finding for Colombia). Instead of that, it has become a substitute income which makes up to maintain the necessary consumption of households. This backs the hypothesis that households found in the revenues from remittances a resource to buy the maintenance of their status or quality of living standards (different from the ''new status'' to which Adams makes reference), which may have been altered by some contingency for households during that period, affecting them nationwide.
4. Investment Expenditure
Because the ECV03 national sample lacks representative data on people receiving remittances and making some type of investment, the estimation could not be performed. For that reason, in relation with the previous results, with the national and regional samples and that comparable with AMCO obtained with the information available for 2003, evidence remains that households are sustaining their status with revenues from remittances.
Lack of significance in this result can be considered as additional
evidence in favor of the hypothesis that remittances are remaining in
standard items of expenditure of households, and mostly, in basic needs.
This fact, jointly with the consistency of total amount of remittances
received by households as reported by household surveys, with respect to
the figures reported in the Balance of Payments, are additional evidence
that remittances in Colombia behave actually according to its definition,
and are not obeying to dubious mechanisms.
VII. Effects of remittances on living standards of households
Even though literature concerning the motivation and description of those who send remittances is considerable, the statistical information available which allows us to identify their final destination and impact on the quality of life of households is unfortunately poor.
Acknowledging the mentioned difficulty, recently the World Bank has sought more evidence of the final use that households give to remittances and the impact that they have. In relation with this point and being aware of the role that the flow of remittances has in the distribution of revenues, Murrugarra (2002) demonstrated that in fact the remittance became a substitute of the transfer by the government for spending, in this particular case, the one assigned to healthcare, and for that reason, once the government increases its transfers to that sector, the amount received by households starts to diminish.
As the remittance becomes additional revenues for the household, it is possible that the change it experiences will have implications in the composition of spending in some particular goods. The last study conducted by the World Bank (Adams, 2005) searched evidence of the final destination of those flows. Three hypotheses were the starting point: investment in human capital of household members who remain in the country of origin, investment in physical capital or a source to buy what he calls the ''new status'' or that spending directed to the consumption of certain goods.
The change in the composition of expenditure is one of the forms in which the wellbeing of economic agents is affected, in the case of households, but not the only one. According to this, it is clear that the wellbeing would be the result not of the greater revenues enjoyed by high income people, but of the increase that may simultaneously be generated in persons of lower revenues.
In table 4, the distribution of per capita revenues of Colombian
households is shown in quintiles. According to ECV-2003, households
in Colombia are close to 11,2 million, and 379 thousand of them (3,4%)
are beneficiaries of remittances. For receptor households, the remittance
represents by itself a considerable fraction of the household's total revenues.
As can be seen in the last column of the table, for the lowest quintiles,
remittances represent between 35% and 67% of their total income.
Table 4 gives evidence of the role that remittances play in the distribution of income, presenting the quintile that households occupy, according to the revenue before and after receiving the remittance.
This table contains three consecutive frames for households receiving remittances. In the last row of the first frame the total of households that make up each quintile is presented in absolute terms, according to the revenue without remittance, and in the last column, the total of households in each quintile is observed according to the level of revenues once the amount received from remittances is added to its initial revenues.
In the lowest quintiles (1, 2) after the remittance, a reduction is observed in the amount of households conforming it, which gives evidence of the improvement that it represents for the revenues of households and that now places them in the higher quintiles (3,4,5) thus representing an enhancement in the distribution of revenues, and therefore, in a gain in their wellbeing.
Nonetheless, the number of households improving their revenues after the remittance and the displacement of households located in the lowest quintiles which are moving up to the higher ones, it may happen that some of the households before the remittance found themselves in high quintiles, but after receiving it they descended to a lower quintile, thereby displaying a reduction in their wellbeing in relative terms.
For 2003, the aforementioned was observed with 1,372 households that were beneficiaries of remittances, 887 of which stood in the fifth quintile and after having received it, they moved into the third quintile, while 485 did followed suit by moving form the fifth to the fourth quintile (table 5).
Partly explaining the latter is the fact that the amounts sent are diverse, and for some households it may represent, as was stated earlier, more than 50% of their final revenue, having a greater impact the revenue increased by the remittance than the initial revenue.
According to the second box in the table, for households in the first
quintile, after receiving the remittance there is a 38% probability of moving
up to higher quintiles. For the second quintile, there is a probability of 44%
of improvement, while for the third and fourth quintiles it is close to 20%.
On the contrary, in the case of the last quintile, there is a 0,6% probability
of moving down to lower quintiles after having received the remittance.
Finally, the last box in the table shows the probability of a household standing in a certain quintile remaining in the same one, even after the remittance. For the first quintile it is of 62%; for the second, of 75%, for the third, of 65%; for the fourth, of 75%, and close to 80% for households initially located in the fifth quintile of revenues.
Conclusions
The Colombian crisis of 1998, characterized by a fall of GDP of
4,2%, and a huge increase of unemployment to levels never registered in
the country's history, affecting severely the mean income of households.
Such situation moved some members of affected households to respond by
migrating to other countries, leading to a migratory wave of Colombians
to several destinies, among which the increases in emigrants to Spain and
the United States were the most notable. Those emigrants have sent since
the crisis, USD 7,500 Millions beyond the annual transfer of USD 1,000
they used to send before the crisis. Even though such large amount of
resources can potentially affect several patterns of household behavior, and
in particular, their expenditure decisions, we only find evidence of effects
on education expenditures and demand.
First we note that total amount of remittances reported by household in household surveys is consistent with the amount registered by the Balance of Payments, which alleviates in good part the fears of remittances being contaminated by dubious funds.
Secondly, the empirical exercises find a positive effect over education, beneficiary households expending about 10% of total expenditure more in education than non beneficiaries. In addition although no effect was found on enrollment rates, we found an important effect on the probability of attending a private, rather than a public, educational institution. Such effect is on average 24% for individuals 5-30 years old, 50% for those attending secondary education, and 40% for those attending higher education. On the other hand, effects over consumption, investment and health expenditure, are null.
Finally, we find important effects of remittances on living standards of beneficiary households, since because of them, they enjoy living standards of households several quintiles above what they would get without remittances. Thus, international migration ended up working on the one hand, as a possibility to gain access to private education, and on the other hand, as a safety net for some of the affected households in the economic crisis that took place at the end of the 1990s in Colombia.
References
1. Adams, Richard (2005). ''Remittances, Household Expenditure and Investment in Guatemala'', World Bank Policy Research Working Paper, No. 3532. Disponible en: http://ssrn.com/abstract=695362.
2. Borjas, George and Bratsberg, Bernt (1996). ''Who Leaves? The Outmigration of the Foreign-Born'', The Review of Economics and Statistics, MIT Press, Vol. 78, No. 1, pp. 165-76.
3. Borjas, George and Bronars, Stephen (1990). ''Immigration and the Family'', NBER Working Paper 3509.
4. Cadena, Ximena and Cárdenas, Mauricio (2004). ''Las remesas en Colombia: costos de transacción y lavado de dinero'', Documento de Trabajo, Fedesarrollo.
5. Collazos, María Mercedes; Monte, Enrique, and Muñoz, Santiago (2004). ''Estructura de costos de transacción de las remesas de trabajadores en Colombia, 2003''. Disponible en: http://www.banrep.gov.co/docum/ftp/borra 306.pdf.
6. Dane (2004). Metodología de Diseño Muestral Encuesta de Emigrantes Internacionales y Remesas en el AMCO, Dane.
7. Garay, Luis Jorge and Rodríguez, Adriana (2005). ''La emigración internacional en el área Metropolitana Centro Occidente Colombia: caracterización socioeconómica de la población emigrante y evaluación del impacto de las remesas internacionales'', En: Estudio sobre Migración Internacional y Remesas en Colombia, Cuadernos Alianza País, Volumen 3.
8. Gaviria, Alejandro (2004). ''Visa USA: Fortunas y Extravíos de los Emigrantes Colombianos en los Estados Unidos'', Documento CEDE, No. 17.
9. Gaviria, Alejandro (2005). ''La Otra Cara de la Diáspora: Los Nexos de los Emigrantes Colombianos con su País de Origen'', Mimeo, CEDE, Facultad de Economía de la Universidad de los Andes.
10. Gaviria, Alejandro and Mejía, Carolina (2005). ''Las varias caras de la diáspora: los nexos de los emigrantes colombianos con su país de origen'', CEDE, Documento No. 29.
11. Heckman, James, LaLonde Robert and Smith Jeffrey (1999). The Economics and Econometrics of Active Labor Market Programs, In O. Ashenfelter and D. Card, Chapter 31, Handbook of Labor Economics, Vol. IV.
12. Heckman, James and Robb, Robert (1985). ''Alternative Methods for Evaluating the Impact of Interventions'', in Longitudinal Analysis of Labour Market Data, New York: Wiley.
13. Johnson, George and Whitelaw, W. E. (1974). ''Urban-Rural Income Transfers in Kenya: An Estimated Remittances Function'', Economic Development and Cultural Change, Vol. 22, pp. 473-79.
14. Lasso, Francisco (2004). ''Incidencia del gasto público social sobre la distribución del ingreso y la reducción de la pobreza'', Documento de trabajo realizado para la Misión para el diseño de una estrategia para la reducción de la pobreza y la desigualdad (MERPD).
15. Lucas R.E.B. and O. Stark (1985). ''Motivations to Remit: Evidence from Botswana'', Journal of Political Economy, Vol. 93, pp. 901-918.
16. Medina, Carlos and Cardona, Lina (2006). ''Migration as a Safety Net and Effects of Remittances on Household Consumption: the Case of Colombia'', Borradores de Economía, No. 414.
17. Meisel, Adolfo and Vega, Margarita (2005). ''The Stature of the Colombian Elite Before the Onset of Industrialization, 1870-1919'', Cuadernos de Historia Económica y Empresarial-CEER, Banco de la República, Cartagena.
18. Mroz, Thomas (1987). ''The Sensitivity of an Empirical Model of Married Women's Hours of Work to Economic and Statistical Assumptions'', Econometrica, Vol. 55, No. 4, July, pp. 765-799.
19. Murrugarra, Edmundo (2002). ''Public Transfers and Migrants' Remittances: Evidence from the Recent Armenian Experience'' In: Shantayanan Devarajan [ed.] World Bank Economists' Forum: volume 2. World Bank, Washington D.C., pp. 25-47.
20. Roy, Andrew (1951). ''Some Thoughts on the Distribution of Earnings'', Oxford Economic Papers No. 3, pp. 135-46.
21. U.S. Department of Homeland Security (2004). ''Yearbook of Immigration Statistics, 2003'' U.S. Government Printing Office, Washington, D.C.
22. Zambrano A.; Ramirez M. y Muñoz M. ''Hogares: comparación en sus gastos de consumo entre 1997 y 2003 según resultados de las encuestas de calidad de vida: magnitud y composición'', Mimeo, Universidad del Rosario.
Primera versión recibida en marzo de 2010;
versión final aceptada en junio de 2010
NOTES
1 Remittances have recently reached levels of magnitude close to those of total public expenditure in health.
2 Had households reported in surveys they had received remittances in an amount much lower than that accounted for by the BP, it could be because part of the remittances included in the BP were not used to cover household's expenditures, but maybe, other types of investments or expenditures of people not in the household. See Medina and Cardona (2006).
3 The intuition is closely related to that used by the Roy Model (Roy 1951).
4 See Medina and Cardona (2006) for an assessment of the accuracy of the remittances figures included in the ECV03 and AMCO when compared to official records of remittances.
5 See more on this in Medina and Cardona (2006).
6 See more on this in Medina and Cardona (2006).
* Sisben is an indicator of permanent income used to classify households, in order to target public subsidies such as health insurance.
7 According to the evaluation literature, we are assuming homogeneous impact effects across individuals, and to that extent, our coefficient of interest would identify the Average Treatment on the Treated, which under the assumption is the same as the Average Treatment Effect (See Heckman, LaLonde and Smith (1999) and Heckman and Robb (1985)).
8 Consumption expenditure collects spending earmarked for food, apparel, transport and public transportation in general.
9 We include the Center Region (Risaralda, Caldas, Quindío, Huila, and Tolima), and additionally, Bogotá, Antioquia and Valle.
10 In all of our specifications we tested the significance of instruments in the firs stage regression, as well as the overidentifying restrictions, getting no rejections at all. Endogeneity of Receives Remittances becomes clear when comparing the OLS coefficients with those in the other two columns. Selection bias is corrected to account for the fact that not all households expend in the items considered, and that households who do it, might not be similar to those who do not. The estimation procedure follows steps similar to those used by Mroz (1987) to estimate labor supply equations. Lack of significance in the other exercises may obey to different reasons: (i) results from AMCO survey, are more likely to be biased due to omitted variables, since that survey is not as rich in control variables a it is the ECV03 survey, (ii) for the amount remitted equations, we already know that amounts reported in ECV03 are not as accurate as those reported in AMCO, and thus, such results are not expected to be as robust, and (iii) for the national level equations, it seems that including underdeveloped regions might be introducing noise to the sample, distorting the whole country's results.
11 That is, depending on whether we correct for selectivity bias.
12 In this case we correct for selectivity since the sample is restricted to individuals who assist.
13 For example, to estimate whether individuals assist to secondary education in a public or private institution, we include all individuals who assist to secondary, plus those who do not assist, but if they were going to assist, they could only assist to secondary, since their education level is either complete primary, or incomplete secondary.
14 The former result is in the framework of the study by Ramirez, Muñoz y Zambrano (2005), in which it is observed that between 1997 and 2003, Colombian households experienced a generalized fall in total spending, and even more in the proportion of that spending dedicated to education, which suggests that such decrease could have been greater for those beneficiary households, if there had not been revenues from remittances. They also find that there was a transfer of resources from the private to the public education (as a consequence of the fall in household's revenues).
Annex


