ARTÍCULOS
Disposición a pagar para mejorar la calidad del aire en Talca, Chile: comparación entre usuarios y no usuarios de chimeneas a leña
Comparison of Willingness To Pay (WTP) for an Improvement in Air Quality between Users and Nonusers of Firewood in the City of Talca (Chile)
Une comparaison de la disposition à payer pour les utilisateurs et les non utilisateurs de cheminées pour améliorer la qualité de l'air dans la ville de Talca, Chili
Arcadio Cerda1; Leidy García2; Alejandra Bahamondez3; Viviana Poblete4
1 Doctor en Economía, Oregon State University. Director del Centro de Desarrollo Empresarial, Universidad de Talca, Chile. Dirección electrónica: acerda@ utalca.cl. Dirección postal: 2 Norte 685, Talca, Chile.
2 Becaria Conicyt, Estudiante Doctoral en Economía, MBA Universidad de Talca, Chile; Economista, Universidad de Antioquia. Dirección electrónica: legarcia@fen.uchile.cl. Dirección postal: La Macarena 101, Las Condes, Chile.
3 Ingeniera Comercial, Universidad de Talca, Funcionaria I. Municipalidad de Colbun, Chile. Dirección electrónica: jany228@hotmail.com. Dirección postal: 7 Oriente 8 Norte # 1898, Talca.
4 Ingeniera Comercial, Universidad de Talca, Empresa Transbank S.A, Santiago, Chile. Dirección electrónica: vpoblete@transbank.cl. Dirección postal: San Isidro 19, depto. 1107, Santiago.
Este trabajo se deriva de un Proyecto de Investigación del Centro de Desarrollo Empresarial de la Universidad de Talca ''Disposición a pagar de un mejoramiento en la calidad del aire en la Florida, Talca'', dirigido por el Dr. Arcadio Cerda, que sirvió como Memoria de Grado de las alumnas Alejandra Bahamondez y Viviana Poblete.
–Introducción. –I. Revisión de la literatura. –II. Modelo econométrico. –III. Discusión de resultados. –Conclusiones. –Bibliografía.
Resumen: El objetivo de este estudio es analizar la diferencia en la disposición a pagar de usuarios y no usuarios de leña, por un mejoramiento en la calidad del aire para los habitantes de la Florida, Talca. Se utilizó el método de valoración contingente en su formato dicotómico doble, asumiendo una función lineal y una distribución logística para determinar la disposición a pagar por una mejora en la calidad del aire, vía la creación de un organismo certificador de leña seca. La disposición a pagar obtenida alcanzaría para cubrir los costos del organismo certificador, abriendo la posibilidad de aplicar un cobro municipal por dicho concepto; además, las personas que usan leña están dispuestas a pagar menos que quienes no la utilizan.
Palabras claves: disposición a pagar, costos de polución del aire, valoración contingente.
Clasificación JEL: Q51, Q52, Q53, C19.
Abstract: The objective of this study is to analyze the difference in the willingness to pay (WTP) for an improvement in air quality between users and nonusers of firewood at the locality of Florida in Talca (Chile). This analysis applied a contingent valuation approach, with a doubled-bound dichotomous choice format. By creating a certifying institution of dry firewood and assuming a linear and a logistic distribution function, this method calculates the WTP of an improvement in local air quality. The obtained value suggests the feasibility of financing the certifying institution's operation costs via an environmental municipal fee. Additionally, the findings imply that Florida's inhabitants using firewood are willing to pay a smaller amount than those who are not.
Key words: willingness to pay, air pollution costs, contingent valuation.
JEL Classification: Q51, Q52, Q53, C19.
Résumé : L'objectif de cette étude est d'analyser la différence entre la disposition à payer pour les utilisateurs et celle des non utilisateurs du chauffage au bois en vue d'améliorer la qualité de l'air dans la ville de Talca (Chili). Pour ce faire, nous utilisons la méthode d'évaluation contingente dans un format dichotomique double ainsi qu'une fonction linéaire et une distribution logistique. Dans cette méthode, la disposition à payer pour une amélioration dans la qualité de l'air dépend de la création d'une institution qui certifie la qualité du bois sec pour le chauffage. Nous montrons que la disposition à payer pour les individus permet, d'une part, couvrir les coûts de l'organisme certificateur et, d'autre part, fait viable la création d'un taxe municipal associé à cette pollution. Nous montrons également que les individus qui utilisent le chauffage au bois ont une disposition à payer plus petite que ceux qui n'utilisent pas ce moyen de chauffage.
Mots clé : Disposition à payer, coûts de la pollution de l'air, évaluation contingente.
Classification JEL: Q51, Q52, Q53, C19.
Introducción
En Chile son ampliamente conocidos los problemas de contaminación en la capital, aunque cada día hay más conciencia e información con respecto a los problemas de la calidad del aire en distintas ciudades del país.
Estos problemas aumentan en invierno a causa de la combustión de leña y
el uso de chimeneas para temperar los hogares, lo que genera altos niveles
de material particulado (PM10), en su mayoría superiores a la norma.
La recuperación de la calidad del aire en los centros urbanos ha sido una de las prioridades gubernamentales de los últimos quince años; se han realizado diagnósticos e inventarios de emisiones en las principales ciudades del país, lo que ha permitido iniciar la gestión de soluciones para aquellos problemas detectados, como la contaminación generada por la combustión de leña y por la intensa actividad industrial (Comisión Nacional del Medio Ambiente, CONAMA).
La contaminación atmosférica por humo se produce principalmente en invierno (junio-septiembre); el invierno aumenta el uso de mecanismos de combustión para temperar los hogares, causando efectos dañinos a la salud de las personas, donde el principal problema son las enfermedades respiratorias que se traducen en aumento de las consultas diarias, hospitalizaciones y las tasas de mortalidad (Cerda et al., 2009).
Cerda et al. (2009), usando el método de los costos evitados, estimó que bajo el escenario hipotético de una reducción del PM10 en un 66,69% de partículas, como resultante de cumplir la norma de latencia,1 implicaría un ahorro de 183,6 millones de pesos chilenos en costos de morbilidad.2
Lo anterior no necesariamente refleja la valoración total por un mejoramiento en la calidad del aire en el sector, representando en cierta forma sólo una cota inferior. Por ello, el objetivo de este trabajo es valorar la disposición a pagar de las personas por un mejoramiento en la calidad del aire por medio del uso de leña certificada de parte de un organismo certificador de leña seca (OCLS). Adicionalmente, se busca comparar la disposición a pagar entre los que poseen y no poseen chimeneas a leña para temperar sus hogares.
Este estudio se divide en cuatro partes principales: revisión de literatura, donde se presentan los principales estudios y necesidades actuales de información para Chile; metodología, donde se presenta el marco conceptual y forma de estimación, área de estudio, característica del cuestionario y muestra, mercado hipotético y vector de pago; por último se presenta el análisis de resultados de los distintos modelos estimados.
I. Revisión de la literatura
Existen diferentes métodos de valoración de la calidad ambiental, entre ellos hay métodos directos e indirectos, dentro de los primeros está el método de valoración contingente, mientras que entre los indirectos se incluye el método basado en los costes de reposición, el basado en la función de producción, el de coste de viaje y el método de los precios hedónicos (Azqueta, 1994).
Los métodos directos tienen las ventajas principales de capturar los valores de no uso y valores basados en el reconocimiento explícito de un derecho previo sobre el activo natural objeto de valoración; básicamente este método intenta estimar la valoración que le otorgan las personas a un determinado recurso ambiental o el cambio en la calidad de éste.
Se utilizan encuestas, entrevistas o cuestionarios, en los cuales el entrevistador construye un mercado hipotético, usando el formato dicotómico simple o doble (Vásquez et al., 2007) para el bien ambiental objeto de estudio; luego se realizan preguntas directas consistentes en la disposición a pagar un determinado monto (DAP) por una mejora en la calidad o en la cantidad del recurso.
La valoración contingente permite obtener en forma directa la valoración del recurso, aunque existe la posibilidad de que los encuestados rechacen el escenario por diferentes razones, por ejemplo, morales; dichas respuestas por lo general son removidas de la muestra porque se asume que no son indicativas de una valorización de las personas, considerándose como respuestas de protesta (Jorgensen et al., 2000). Sin embargo, aquellas respuestas que reflejen una negatividad a pagar por razones económicas debieran incorporarse.
En Chile se han realizado diferentes estudios, aplicando la metodología de valoración contingente, asociados a la valorización o modificación de la calidad de recursos recreacionales (Cerda y Fuentes, 1994; Cerda et al., 1997a; Cerda et al., 1997b; Vásquez y Cerda, 2000; Cerda y Vásquez, 2000; Vásquez et al., 2001). En términos de valoración de cambios en la calidad del aire existen muy pocos estudios, eminentemente aplicados a la capital Santiago y ciudad de Talcahuano (Cerda et al., 2007; Campos et al., 2001; Vásquez y Cerda, 2000). Así, la escasez de estudios de valoración de calidad del aire en las regiones de Chile y la inexistencia de estudios que midan la disposición a pagar para reducir la contaminación del aire por combustión a leña, hace de este estudio una novedad, y a la vez, una necesidad para la definición de una política ambiental regional en la temática, dado que existen varias ciudades de Chile con problemas de contaminación por humo de leña.
II. Modelo econométrico
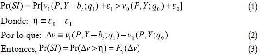
Las estimaciones de los modelos de este estudio se realizaron con base en el modelo de Hanemann (1984), conocido como Diferencia en la función de utilidad indirecta, éste puede expresarse como: uj = vj(P, Y; qj)+ Ej
Donde:
j = 0 para la situación inicial
j = 1 para la situación final (luego de la mejora de la calidad del aire)
P = precio de los bienes
Y = ingreso
q = calidad ambiental y/o características socioeconómicas de los
individuos
Ej = error aleatorio de media 0
El supuesto es que las funciones de utilidad tienen componentes que son desconocidos por el investigador, lo cual genera una estructura estocástica de la función de utilidad (Vásquez, Cerda y Orrego, 2007). Los individuos pueden optar por una mejora en la calidad del aire, por la que deben pagar una cantidad bt, donde t indica las distintas cantidades que se ofrecen a diferentes individuos (vector de pago) por obtener una mejora.
Cabe destacar que el bt que se le pide a cada individuo no coincide, en general, con su disposición a pagar total (C), que no es observable. Por ello, a partir de las respuestas de los individuos a la cantidad ofrecida bt se obtiene la probabilidad de una respuesta positiva por parte del individuo como:

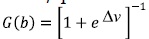
Donde Fn es la función de distribución de n que asume en este estudio como función logística, expresado como
.
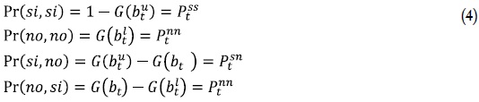
En este trabajo se utiliza el método dicotómico doble. En el método dicotómico simple se pregunta al encuestado si está o no dispuesto a pagar una cantidad fija por un bien o por un cambio en las características de un bien, en este caso un OCLS y pago adicional por metro cúbico sólido; mientras que el método dicotómico doble consiste en agregar una segunda pregunta también de naturaleza dicotómica, con un valor superior si responde ''sí'' a la primera pregunta dicotómica, y uno inferior si responde ''no'' a la primera pregunta dicotómica. Lo anterior se puede expresar como:

En este caso, Ptkl es la probabilidad de que el evento kl ocurra con k y l representando respuestas sí (s) y no (n). Donde bt es el valor inicial que se le propone al entrevistado para pagar por un mejoramiento en la calidad del aire, es un valor superior al inicial después de una primera respuesta positiva del entrevistado y blt es el valor inferior al inicial ante una primera respuesta negativa del entrevistado.
El problema de estimación se resuelve a través del método de máxima verosimilitud con la función de densidad conjunta dada por:

El logaritmo de la función de verosimilitud está dado por:

El modelo dicotómico doble provee una ganancia en la p recisión de la matriz de varianza-covarianza de los coeficientes estimados, resultando en intervalos de confianza más pequeños con respecto al modelo dicotómico simple. Además, se ha encontrado que el estimador puntual de la mediana de la DAP de los modelos dicotómicos son generalmente menores (Hanemann et al., 1991).
La calidad del aire es un bien ambiental que no tiene un precio de mercado, por ello hay que valorarlo económicamente para determinar el cambio en el bienestar y expresarlo monetariamente. La medida relevante en este caso de estudio es la variación compensada, entendida como la máxima cantidad de dinero que un individuo está dispuesto a pagar para acceder a un cambio favorable. Para determinar este valor se usa la media o la mediana (Freeman, 1993; Boyle y Bishop, 1988). La media (C+) es el valor esperado de la verdadera disposición a pagar (C), en este caso pago adicional por leña seca o por un OCLS, de modo que se mantenga al mismo nivel de utilidad que sin proyecto. Una manera alternativa de medir dicha DAP es la mediana, que es la cantidad de dinero necesaria para que el individuo esté justo en el punto de indiferencia entre mantener el uso del recurso y renunciar a éste, denominado (C*). De acuerdo con la definición de la diferencia entre dos funciones indirectas de utilidad lineal, para una situación con y sin proyecto, (ΔV = α – βbt ) la media y la mediana coinciden, y se pueden estimar por medio de E(C) = C* = α/β.
Sin embargo, para restringir los valores estimados a valores positivos, se utiliza la integral Positiva C', cuya expresión es E(C') = log(1+eα)/β.
A. Área de estudio, cuestionario y muestra
El estudio se realizó en el sector de la Florida, Ciudad de Talca, Séptima Región a 250 km de Santiago. La elección de esta ciudad se debe principalmente a la necesidad de que Florida sea declarada zona de saturación por contaminación de material particulado. Por su parte, el sector se elige porque la Comisión Regional del Medio Ambiente (COREMA) de la Región del Maule, detectó alto índices de contaminación en la zona sur poniente de la ciudad, principalmente a causa del uso de chimeneas de combustión a leña.
Para obtener un instrumento confiable se aplicó un pre-testeo a una muestra de 80 familias, del que se obtuvo información respecto a la claridad de las preguntas, el tiempo estimado de respuestas y las escalas de medición.
Adicionalmente se obtuvieron los valores iniciales de DAP con formato abierto, que luego fueron utilizados para obtener el vector pago o DAP por el proyecto en cuestión a utilizar en la encuesta. El cuestionario se elaboró tomando en consideración las distintas sugerencias entregadas por Arrow et al. (1993), Duffield y Patterson (1991) y Cooper (1992), relacionadas con la descripción del mercado contingente, definición de medio de pago, recordatorio, restricción de ingreso del individuo, entre otros.
Se tomaron dos muestras estratificadas proporcionalmente, asumiendo varianza máxima y un error de estimación del 5%; la primera se aplicó a aquellas familias que utilizan chimeneas a leña en su hogar, mientras que la segunda se aplicó a las personas que no tienen chimeneas a leña, aunque si se ven afectados por las emisiones de humo de los usuarios de combustión a leña. Se usó el método probabilístico, estratificado socioeconómicamente, para determinar la muestra de cada grupo. La encuesta se aplicó por viviendas. En la tabla 1 se muestra el tamaño de muestreo óptimo obtenido para la población mayor de 18 años 138.948 habitantes,3 con un nivel de confianza del 95%, un error estándar del 5% y bajo el supuesto de varianza máxima.
B. Mercado hipotético y vector de pagos
El mercado hipotético consiste en un plan de descontaminación, que considera la creación de una entidad que regule, fiscalice y garantice la venta y uso de leña seca; esta entidad contribuirá a reducir la contaminación en la ciudad y no tendrá fines de lucro. El costo del proyecto es de alrededor de 45.500.000 (valor referenciado del plan implementado en la ciudad de Valdivia, en el primer año de actividad y en un escenario intermedio).
A fin de contar con los fondos necesarios para implementar el proyecto, se solicita al gobierno, empresas y personas, una colaboración mensual durante un año; las personas deberán pagar un monto adicional en la cuenta mensual de luz o agua. El fondo recolectado será destinado a cubrir los costos del OCLS. Además, a las personas que usan leña se les pregunta cuánto estarían DAP en términos adicionales por metro cúbico sólido.
El vector de pago de las muestras finales –definido como los valores que hipotéticamente deberían pagar los entrevistados por el proyecto de mejoramiento– se estima a partir de valores que se obtuvieron de una preencuesta con preguntas abiertas realizadas a 80 individuos. A partir de estos datos, para encontrar el vector de pagos por el proyecto de un organismo certificador de leña o por leña seca, según el caso, se asume una distribución de la DAP simétrica y logística y se aplica el modelo de distribución de los pagos con áreas iguales de selección (DWEABS) desarrollado por Cooper (1993). La optimización del vector de pagos para una determinada muestra es una técnica iterativa para encontrar el mínimo error cuadrático medio del diseño de la muestra, para un cuestionario con preguntas dicotómicas. Con estos rangos y considerando el tamaño de las submuestras según vector de pago, estratificadas por nivel socioeconómico, se obtienen 19 formatos de cuestionarios, que se diferencian exclusivamente en los valores utilizados en la pregunta dicotómica.
La encuesta se divide en tres partes: la primera incluye secciones sobre conocimiento, normas sociales, responsabilidad, percepción, actitud, satisfacción y comportamiento ambiental; estas preguntas fueron construidas a partir de escalas unidimensionales estandarizadas con base en Cerda et al. (2007) y Díaz y Núñez (2003). La segunda parte se compone de dos secciones con una serie de preguntas relacionadas con la disposición a pagar por un organismo certificador de leña o por leña seca y otras destinadas a identificar las respuestas de protesta. Por último, en la tercera parte se incluye una sección que permite conocer los aspectos demográficos de los encuestados.
Para estimar la disposición a pagar se utiliza el programa de CVM de Cooper y Hellerstein (1994), que asume una función logística con una forma funcional lineal, y se emplea el método de máxima verosimilitud. Este programa usa la estimación de la máxima probabilidad con el análisis de la primera y segunda derivada de Hanemann et al. (1991), para estimar los coeficientes de los modelos con el enfoque dicotómico doble. En cuanto a la medida de bienestar se determina cuál es la probabilidad de que los habitantes del sector sur- poniente de Talca estén dispuestos a pagar por una mejora en la calidad del aire vía un organismo que regule, fiscalice, y garantice la venta y uso de leña seca, es decir como una variación compensada. Inicialmente se consideró la forma funcional lineal y sus respectivas medidas de bienestar.
En esta forma funcional desaparece la variable ingreso, sin embargo, para la muestra de esta investigación la variable resulta estadísticamente significativa. Por ello, para un mejor análisis de las medidas de bienestar se decidió adaptar la forma funcional de Hanemann agregando otras variables. Sin embargo, para hacer consistente las estimaciones para calcular la disposición a pagar con la teoría asociada, dichas variables se asumen como dadas y se incorporan a la constante de estimación.
Para determinar la significancia de los estimadores y compararlos se desarrollaron intervalos de confianza para las medidas de bienestar; el procedimiento consiste en estimar la distribución de probabilidad de las medidas de cambio de bienestar. Krinsky y Robb (1986) proponen un método basado en simulación, que fue utilizado por Park et al., (1991) para estimar límites de confianza de medidas de bienestar basadas en modelos de valoración contingente.
Se usaron entre seis y diez mil iteraciones para construir los intervalos de confianza simulados de las medidas de bienestar, utilizando el programa DWEABS (Cooper, 1993). Para las estimaciones logit del modelo dicotómico doble el programa usa estimaciones de máxima verosimilitud, específicamente el método de Scoring (Judge, et al., 1988). Los intervalos de confianza alrededor de la medida de bienestar son obtenidos usando el método de Krinsky y Robb (Park et al., 1991).
III. Discusión de resultados
Con un tamaño muestral de N = 776 de familias con y sin chimeneas a leña para temperar sus hogares, 390 rechazaron colaborar monetariamente con el proyecto; por lo cual se consideraron para la estimación 386 datos, que corresponden a aquellas personas que estuvieron dispuestas a colaborar. De ellas, 224 personas que poseen chimeneas se mostraron a favor de colaborar monetariamente con el proyecto. La mayoría de las personas que tiene chimeneas a leña están dispuestas a colaborar con el proyecto (57,5%); mientras que la mayoría de las personas que no tiene chimeneas se mostraron en contra de colaborar (58,2%). Además, las respuestas de protesta (personas que rechazan participar del mercado hipotético), coinciden en las afirmaciones más representativas: que ''la municipalidad debería encargarse de esto''. Sin embargo, la muestra que consideró a individuos que no poseen chimeneas a leña, revela un alto índice de protesta a pagar por mejorar la calidad del aire; es decir que algunas personas no desean colaborar porque consideran que no contribuyen a contaminar, a pesar del impacto que ello pueda tener en su salud. Lo anterior puede traducirse en un eventual sesgo estratégico de estimación (Jorgensen and Syme, 2000; Kanninen, 1995; Vásquez, 2007).
En la estimación de las medidas de bienestar –la media C+, la Mediana C*–, se utilizó una adaptación de la forma funcional lineal de Hanemann (1984). Dado que la forma funcional lineal está dada por la expresión Δv = α – βz (donde z es cualquier variable), de acuerdo con Cooper y Hellerstein (1994) se corrieron los cuatro modelos de regresión que se presentan en la tabla 2.
Para dicha estimación se utiliza una forma función logística, quedando expresada la diferencia en las funciones indirectas de utilidad de la siguiente forma:

bi = vector de pago ofrecido a individuo i, Ingr = ingreso, Conoc=conocimiento, Ns = normas sociales, Reg = responsabilidad de las empresas públicas, Rep = responsabilidad de las empresas privadas, Rc = responsabilidad del ciudadano en general, Act = Actitud, Comp = comportamiento, Satis = satisfacción personal.
La estimación de los modelos permitió encontrar como variables significativas la variable asociada al valor o pago solicitado a los entrevistados por el organismo certificador (vector de pago), y el ingreso de las familias que se relaciona positivamente con la probabilidad a pagar. La expresión del nuevo modelo es Δv = α1 – β1b + β2ingr. (Resultados tabla 3).
Como se observa en la tabla 3, las variables significativas y sus signos son consistentes con la teoría económica, ya que la variable b tiene signo negativo en cada uno de los modelos, lo que indica que a mayor valor del vector de pago hay una menor probabilidad de DAP por parte de las familias. Además, la variable ingreso tiene una relación positiva con la probabilidad de pago, mostrando que la existencia del organismo certificador de leña seca afecta positivamente la calidad del aire, lo cual se comporta como un bien normal.
Dado que la expresión teóricamente correcta para una diferencia en la función de utilidad lineal es definida como Δv = α – βb, para estimar las medidas de bienestar se redefinieron α = α1 + β2Ingr y β = β1, siguiendo a Cooper y Hellerstein (1994); quedando dicha medida como la expresión C = α/β, mientras que para la integral Positiva C' se utiliza la expresión log(1 + eα)/β. Con estas expresiones se estimaron las medidas de bienestar para los cuatro modelos (tabla 4).
Al considerar que un 57,5% de la muestra que posee chimeneas a leña está dispuesta a colaborar monetariamente con el proyecto, entonces 18.580 familias pagarían un monto de $1.091 adicional por metro cúbico sólido de leña. Y considerando que en promedio una familia consume cinco metros anuales, la DAP adicional por leña es de $101.353.900. Del mismo modo, dado que un 49,6% de la muestra total (N=776) está dispuesta a colaborar monetariamente con el proyecto, resulta que 16.028 familias pagarían durante un año un monto mensual de $1.002. Por lo tanto, la DAP por el organismo certificador de leña seca es de $192.720.672 anual.
Es preciso mencionar que la DAP puntual de las personas sin chimeneas a leña (Modelo 4) es mayor y cae fuera del intervalo de confianza de la DAP de las familias con chimeneas a leña (modelo 2); es decir, las familias que contaminan estarían valorando menos la existencia de un organismo certificador de leña. Adicionalmente, las familias que contaminan están dispuestas a pagar un mayor valor si sus integrantes compraran la leña seca ($1091 respecto $1002).
Conclusiones
Los resultados anteriores son una motivación para considerar en esta investigación la forma de reducir la contaminación. Se encontró que la emanación de material particulado se produce mayoritariamente en invierno por el uso de chimeneas a leña para temperar los hogares. Las estimaciones de las medidas de bienestar muestran una probabilidad positiva de la disposición a pagar por parte del organismo certificador de leña seca.
Estos resultados deberían justificar la implementación por parte de las autoridades de gobierno de proyectos de financiamiento compartidos con la comunidad y empresas privadas o la aplicación directa de un cobro municipal para descontaminar. Este estudio se constituye en un punto de partida para la toma de decisiones respecto al problema de contaminación ambiental derivado de la combustión a leña. Además, ello debería incentivar la formulación de nuevas políticas ambientales que definan, implementen y controlen el territorio nacional, con el objeto de minimizar el impacto del material particulado respirable en la ciudad.
Bibliografía
1. Arrow, Kenneth, et al. (1993). Report of the NOAA Panel on contingent valuation. NOAA, Washington, DC, Reporte.
2. Azqueta, Diego (1994). ''Valoración económica de la calidad ambiental'', McGraw-Hill, España.
3. Boyle, Kevin y Bishop, Richard (1988). ''Welfare Measurements using contingent valuation: a comparison techniques, American Journal of Agricultural Economics, Vol. 70, No. 1, pp. 20-28.
4. Campos, Nélyda; Vásquez, Felipe y Cerda, Arcadio (2001). ''Estimaciones paramétricas, semiparamétricas y no paramétricas en valoración contingente: aplicación a un problema de calidad del aire'', Revista Economía y Administración, año XXXVIII, No. 57.
5. Cerda, Arcadio; García, Leidy; Fuentes, Pía y Benavides, Paula (2009). Contaminación del aire en la Florida (Talca, Chile): costos económicos en la salud, Documento de Trabajo. Facultad de Ciencias Empresariales, Universidad de Talca, Chile.
6. Cerda, Arcadio; Rojas, José, García, Leidy (2007). ''Disposición a pagar por un mejoramiento en la calidad ambiental en el Gran Santiago'', Lecturas de Economía, Vol. 67, pp. 143-160.
7. Cerda, Arcadio y Vásquez, Felipe (2000). ''Differences between parametric and non-parametric estimation of welfare measures: An application to the Rio Claro, Talca, Chile'', Panorama Socioeconómico, año 23, No. 31, pp. 22-31.
8. Cerda, Arcadio; Riofrío, Mercedes y Vial, Fernando (1997). ''Valoración Contingente para la Creación de la Reserva ''Shangri-La'', en la VIII Región Chile'', Lecturas de Economía, No. 47, pp. 47-65.
9. Cerda, Arcadio; Orrego, Sergio y Vásquez, Felipe (1997). ''The Economic Valuation of the recreational benefits of Dichato Beach (Tomé-Chile)'', Lecturas de Economía, No. 46, pp. 73-94.
10. Cerda, Arcadio y Fuentes, José (1994). ''Valoración Contingente: Una aplicación para una zona lacustre en Concepción'', Revista Economía y Administración, año XXXI, pp. 73-82.
11. Cooper, Joseph y Hellerstein, Daniel (1994). ''CVM Software'', USDA/ERS/Resources and Technology Division, Washington DC, 20005-4788.
12. Cooper, Joseph (1993). ''Optimal Bid Selection for Dichotomous Choice Contingent Valuation Surveys'', Journal of Environmental Economics and Management, No. 24, pp. 25-40.
13. Cooper, Joseph y Loomis, John (1992). ''Sensitivity of Willingness to Pay Estimates to Bid Design in Dichotomous Choice Contingent Valuation Models'', Land Economics, Vol. 68, No. 2, pp. 211-24.
14. Díaz, Marcelo y Núñez, Carlos (2003). ''Análisis de validez de escalas para medir constructos medio ambientales''. Memoria de Grado para obtener el Título de Ingeniero Comercial, Universidad de Talca.
15. Duffield, John y Patterson, David (1991). ''Inference and Optimal Design, for a Welfare Measure in Dichotomous Choice Contingent Valuation'', Land Economics, Vol. 67, No. 2, pp. 255-39.
16. Freeman III, A. Myrick (1993). The Measurement of Environmental and Resource Values: Theory and Methods, Resource for the Future, Washington D.C.
17. INE (2002). ''Censo Nacional de Población y Vivienda'', Instituto Nacional de Estadística, Gobierno de Chile. Chile.
18. Jorgensen, Brad y Syme, Geoff (2000). ''Protest responses and willingness top pay: Attitude toward paying for stormwater abatement'', Ecological Economics, Vol. 33, No. 2, pp. 251-265.
19. Hanemann, Michael (1984). ''We1fare Evaluation in Contingent Valuation Experiments with Discrete Responses'', American Journal of Agricultural Economics, Vol. 66, pp. 222-241.
20. Hanemann, Michael; Loomis, John and Kanninen, Barbara (1991). ''Statistical Efficiency of Double-bounded Dichotomous Choice Contingent Valuation'', American Agricultural Economics Association.
21. Judge, George; Hill, Carter; Griffiths, William; Lutkepohl, Helmut y Lee, Tsoung-Chao (1988). Introduction to the Theory and Practice of Econometrics, John Wiley & Sons.
22. Kanninen, Barbara (1995). Bias in Discrete Response Contingent Valuation, Journal of Environmental Economics and Management, Vol. 28, No. 1, pp. 114-125.
23. Krinsky, Itzhak y Robb, Leslie (1986). ''On Approximating the statistical properties of elasticities'', Rev. Econ. and Statistic., Vol. 68, pp. 715-719.
24. Park, Timothy; Loomis, John y Creel, Michael (1991), ''Confidence intervals for evaluating benefits estimates from dichotomous choice contingent valuation studies'', Land Economics, Vol. 67, No. 1, pp. 64-73.
25. Vásquez, Felipe; Cerda, Arcadio y Orrego, Sergio (2007). Valoración económica del ambiente. Fundamentos Económicos, Econométricos y Aplicaciones, Thomson Learning, Buenos Aires, Argentina.
26. Vásquez, Felipe; Cerda, Arcadio; Orrego, Sergio y Puentes, Luis (2001). ''Valoración económica de la calidad ambiental con muestras estratificadas proporcional y aproporcionalmente'', Revista Economía y Administración, Vol. 56, pp. 47-59.
27. Vásquez, Felipe y Cerda, Arcadio (2000). ''Valoración económica de la calidad ambiental del aire en Talcahuano'', Informe Económico Regional, Año 14, No. 15, abril.
Primera versión recibida en mayo de 2009;
versión final aceptada en junio de 2010
Notas
1 Una norma de latencia se sobrepasa cuando las emisiones llegan al 80% del valor establecido en la norma diaria de calidad del aire, equivalente a un límite máximo de la norma (150ug/m3).
2 Tipo de cambio de pesos chilenos por dólar es de 559,56 pesos por dólar al 20 de mayo de 2009.
3 Según Censo 2002 publicado por el Instituto Nacional de Estadística (INE).