ARTÍCULOS
Burocracia y eficiencia en la provisión de bienes públicos: un modelo espacial de competencia política
Bureaucracy and Efficiency in the Provision of Public Goods: a Spatial Model of Political Competition
La bureaucratie et l'efficacité dans la provision de biens publics : un modèle spatial de concurrence politique
Leonardo Gatica*; Georgina Soto**
* Universidad de Guadalajara. Dirección electrónica: leonardo.gatic@gmail.com. Dirección Postal: Centro Universitario de Ciencias Económico Administrativas, Departamento de Economía, Periférico Norte 799, Módulo K, Zapopan, Jalisco, México.
** Cámara de Diputados, Congreso de la Unión. Dirección electrónica: georgina_soto@yahoo.com. Dirección Postal: Av. Congreso de la Unión 66, Col. El Parque, México D.F., México.
–Introducción. –I. Literatura relacionada. –II. Un modelo simple de competencia política. –III. Competencia política. –IV. Análisis del equilibrio político-económico.–V. Eficiencia gubernamental. –Conclusiones. –Apéndice. –Bibliografía.
RESUMEN
Este artículo presenta un modelo espacial de competencia política para analizar el efecto que tiene la competencia política sobre el desempeño gubernamental, en el sentido de la eficiencia del nivel de empleo burocrático y en la provisión de bienes públicos. En contraste con otros argumentos que relacionan positivamente la competencia política y la eficiencia del gobierno, el principal resultado muestra que en cualquier equilibrio político-económico la competencia política genera incentivos para un nivel de empleo burocrático excesivo y una provisión ineficiente de bienes públicos.
Palabras clave: Competencia política, eficiencia gubernamental, tamaño del gobierno.
Clasificación JEL: D7, D73, H41.
ABSTRACT
This paper presents a spatial model of political competition exploring the effects of political competition on government performance, in the context of efficiency on the provision of public goods and the size of bureaucracy. In contrast with other arguments that sustain that there is a positive relationship between political competition and efficiency, this study's main result shows that in any political-economic equilibrium political competition provides incentives for an excess of bureaucratic employment and an inefficient provision of public goods.
Key words: Government efficiency, political competition, government size.
JEL Classification: D72, D73, H41.
RÉSUMÉ
Cet article présent un modèle spatial de concurrence politique pour analyser l'effet de la concurrence politique sur les décisions prises par un gouvernement en ce qui concerne l'efficacité du niveau d'emploi bureaucratique et la provision des biens publics. Nous montrons que tout équilibre politique-économique issu de la concurrence politique se traduit dans un niveau d'emploi bureaucratique excessif et une provision de biens publics tout à fait inefficace. Ce résultat est contraire à d'autres études que soulignent un lien positif entre la concurrence politique et la performance du gouvernement.
Mots clés: Concurrence politique, efficience gouvernementale, taille du gouvernement.
Classification JEL: D7, D73, H41.
Introducción
Para muchos autores, la eficiencia gubernamental es un resultado de la competencia política (ver por ejemplo Stigler, 1972; Becker, 1985; y Wittman, 1989, 1997). Estos argumentos teóricos sostienen que al incrementarse la competencia en el sistema político, cualquier partido gobernante mejorará su desempeño de gobierno1. Sin embargo, en contraste con estos argumentos teóricos, existe evidencia empírica que muestra cómo la competencia en la arena política puede conllevar a ineficiencias en el desempeño gubernamental (ver por ejemplo Moreno, 2005; Estévez et al., 2002; y Brusco et al., 2004)2. Existe también un número importante de trabajos teóricos que plantean la posibilidad de ineficiencias en el uso de recursos públicos, como resultado de la competencia política. Algunos de los primeros trabajos en esta línea son los de Niskaen (1971), Barro (1973), Breton (1974), Brennan y Buchanan (1980), a partir de los cuales se han publicado un gran número de artículos que abordan el tema. La gran mayoría de estos trabajos teóricos se enfocan en el problema de agente principal y en la extracción de rentas por parte de los gobernantes, como contraparte a los intereses de sus representados (ver por ejemplo Ferejohn, 1986; Grillo y Polo 1993; Svensson, 1997; Grossman 1994 y 1999; Persson et al., 1997; Myerson, 1993a, 1995; y Shleifer y Vishny, 1999). A diferencia de esta literatura, el modelo que se desarrolla en este trabajo señala que existen incentivos a la ineficiencia gubernamental, no en términos de extracción de rentas, sino de un uso ineficiente de los recursos públicos en la provisión de bienes públicos, aun cuando no existan problemas de información asimétrica.
Existen igualmente un número importante de trabajos que desarrollan argumentos alrededor de la economía política de los programas redistributivos, el tamaño del gobierno y sus consecuencias económicas. Estos argumentos parten del modelo desarrollado por Meltzer y Richards (1981) y se enfocan en las consecuencias económicas de las presiones redistributivas que enfrentan los partidos políticos en la competencia electoral. No obstante, estos modelos no están construidos a partir de un óptimo social que permita analizar los resultados como desviaciones de una política socialmente óptima. Esto último es una de las características del modelo que desarrollamos en este trabajo. Igualmente, y en contraste con la toda la literatura desarrollada a partir del modelo de Meltzer y Richards (1981), los resultados del modelo que aquí presentamos no se desprenden de las presiones por la redistribución del ingreso; el resultado de ineficiencia en el uso de los recursos públicos por parte del gobierno, y por ende el exceso de burocracia, no depende de la distribución del ingreso como en la mayoría de los trabajos basados en redistribución, sino simplemente en la pura competencia política y en el uso clientelar de los recursos públicos.
En el artículo que aquí se presenta, planteamos un modelo formal para explicar cómo el desempeño del gobierno, en cuanto a la distribución de recursos públicos en la contratación de trabajo o capital empleados para proveer un bien público, se ve afectado por la competencia política. El argumento parte de la tradición de los modelos espaciales desarrollados a partir de Hotelling (1929), Downs (1957) y Black (1958), donde los ciudadanos únicamente difieren en sus preferencias ideológicas y dos partidos políticos compiten por ganar el apoyo de estos.
El modelo supone que dos partidos políticos compiten sobre un espacio ideológico unidimensional. Uno de ellos, el partido en el gobierno, tiene recursos públicos que utiliza para comprar capital y trabajo con el fin de producir bienes públicos. La producción y provisión de bienes públicos es valorada por los ciudadanos, por lo que un gobierno que provee un mayor nivel de bienes públicos puede obtener un mayor apoyo de la ciudadanía, ya que el bienestar de cada uno de los ciudadanos se ve incrementado. Aunado a esto, el empleo burocrático (que aquí es definido como la cantidad de trabajo empleada en la producción del bien público) beneficia también a aquellos ciudadanos que son contratados por el gobierno y por lo tanto puede utilizarse como patronazgo y construir relaciones de clientelismo político. Así, la provisión de bienes públicos se convierte en una estrategia política tanto por el bienestar que provee directamente el bien público, como a través del empleo que se suministra a los ciudadanos. A diferencia del resto de la literatura que analiza las ineficiencias gubernamentales como resultado del proceso político, en este caso suponemos que no hay asimetrías en la información y que los agentes son homogéneos en su nivel de ingreso, por lo que todos valoran exactamente igual la provisión de bienes públicos y no hay competencia mediante políticas redistributivas.
En contraste con la literatura teórica existente, los resultados que obtenemos son consistentes con las observaciones empíricas, donde una mayor competencia política no necesariamente mejora la eficiencia gubernamental, aún bajo la ausencia de problemas de información asimétrica, de incentivos para la extracción de rentas y de presiones redistributivas. El resultado principal del artículo demuestra que, en cualquier equilibrio político-económico, el tamaño de la burocracia es excesivo de acuerdo con el óptimo social, y la provisión de bien público es ineficiente.
El resto del artículo procede como sigue. En la sección I, presentamos una revisión de la literatura relacionada. A continuación, en la sección II se introduce un modelo espacial simple de competencia política y empleo, describiendo las características de los agentes. La sección III, presenta y desarrolla los problemas de maximización para ambos partidos, lo cual será el punto de partida para la definición del equilibrio. En la sección IV, se exploran las propiedades del equilibrio económico-político, para lo cual se define al ''partidario marginal''. En la sección V, se discute la eficiencia gubernamental en términos de la provisión del bien público puro. Por último, se presentan las conclusiones del artículo.
I. Literatura relacionada
Como se ha mencionado en la introducción, el modelo que se presenta en este trabajo parte de la literatura clásica de los modelos espaciales de votación y de sus subsecuentes desarrollos. A partir del trabajo seminal de Downs (1957), quien retoma a Hotelling (1929), para plantear un modelo de competencia electoral sobre un espacio unidimensional, donde pueden colocarse las preferencias de los ciudadanos y dos partidos políticos contienden mediante el anuncio de sus plataforma políticas. El objetivo de los partidos, es la obtención de los votos necesarios que maximice la probabilidad de ganar la contienda electoral bajo una regla de mayoría. A partir de este trabajo se han desarrollado un gran número de artículos que buscan avanzar los resultados. Dos de las principales vetas que se trabajaron fueron: el desarrollo de preferencias multidimensionales (Davis y Hinich, 1966, 1967 y 1968; Plott, 1967; Davis et al., 1970; y Davis et al., 1972) y el de problemas de incertidumbre sobre las preferencias de los agentes (Ledyard, 1984; Coughlin, 1992; Enelow y Hinich, 1989; Lindbeck y Weibull, 1987; y Myerson 1993b). Igualmente, se buscó avanzar en los problemas de estabilidad que se producen cuando se tiene más de una dimensión, señalados por Mckelvey (1976 y 1979) y Tullock (1981), a través de los desarrollos de equilibrios inducidos por la estructura y el diseño de la agenda (Romer y Rosenthal, 1978, 1979; y Shepsle, 1979). Relacionados con el problema de la estabilidad y con la aplicación empírica de los modelos, se desarrollaron también importantes contribuciones para el análisis empírico (ver por ejemplo Bergstrom y Goodman, 1973; Enelow y Hinich, 1990; Iversen, 1994a y 1994b; Hinich y Munger, 1994; Merrill y Grofman, 1999; y Budge et al., 2001). El trabajo que se desarrolla en este artículo, parte del modelo de Munger y Hinich (1994) que reduce las preferencias multidimensionales de política pública a espacios con dimensiones más pequeñas a través de la ideología. En nuestro caso, suponemos que las preferencias de los ciudadanos quedan reducidas a un espacio ideológico de una sola dimensión, donde los partidos políticos compiten mediante propuestas ideológicas que se localizan en ese mismo espacio.
Al igual que los modelos más simples, en este trabajo suponemos que la posición ideológica de los partidos y de los ciudadanos es perfectamente observable, de forma tal que los resultados no dependen de problemas de información. Existe una literatura muy amplia que explica la ineficiencia gubernamental y la extracción de rentas por parte de los partidos gobernantes, como un resultado de la asimetría en la información. Los ciudadanos, en este contexto, serían los principales que carecen de información acerca de las características y las actividades del agente, que en este caso es el gobierno. Niskaen (1971) y Breton (1974), son de los primeros trabajos que argumentan sobre este problema. Posteriormente Brennan y Buchanan (1980) plantean un modelo del gobierno, como un agente que busca maximizar su propio beneficio en contrapartida a sus representados. Un desarrollo bastante amplio sobre los incentivos políticos que se tienen para la extracción de rentas desde la perspectiva del agente principal, es presentado por Laffont (1999), Laffont y Martimort (2002), y Laffont y Tirole (1993). En esta misma línea Grillo y Polo (1993), y Svensson (1997) han desarrollado modelos de extracción de rentas como resultado de la competencia política bajo sistemas democráticos, al igual que Shleifer y Vishny (1999) analizan problemas de corrupción. En el caso de gobiernos no democráticos, Grossman (1994 y 1999), y Grossman y Kim (1996) analizan también la extracción de rentas de los gobiernos desde la perspectiva del agente principal. Existen también otros trabajos que buscan analizar mecanismos que mejoren la eficiencia gubernamental y disminuyan la extracción de rentas en sistemas democráticos. Los trabajos seminales en esta área son Barro (1973) y Ferejohn (1986) a partir de los cuales se han desarrollado otros trabajos como los de Persson et al. (1997), Austen-Smith y Banks (1989) o Lizzeri y Perisco (2001); todos ellos basados en procesos de rendición de cuentas.
Existen también varios argumentos relacionados con la economía política de programas redistributivos y el tamaño del gobierno, que sugieren que la competencia política puede conducir a ineficiencias en el desempeño gubernamental. El artículo seminal en esta línea es el de Meltzer y Richard (1981), que utiliza el teorema del votante mediano para construir un modelo en el cual el gobierno cobra impuestos, que redistribuye en forma de una transferencia a los ciudadanos. El resultado de este modelo, se basa en que el comportamiento de los competidores políticos sigue las preferencias del votante mediano y así demuestran que el tamaño del gobierno está determinado por la elección maximizadora de bienestar de ese votante, bajo los supuestos de sufragio universal y votaciones por mayoría absoluta. De esta manera, la hipótesis de Meltzer y Richard sugiere que el tamaño del gobierno depende de la relación del ingreso medio respecto al ingreso del votante mediano. Así, los votantes con ingresos por debajo del ingreso del votante decisivo, eligen candidatos que favorezcan impuestos más altos y una mayor redistribución; mientras que los votantes con ingresos por encima del ingreso del votante decisivo, desearán menores impuestos y menor redistribución. Por lo tanto, cuando el ingreso medio se eleva en relación al ingreso del votante decisivo, los impuestos se elevan y viceversa. Algunas versiones recientes extendidas de este modelo, como la versión dinámica de Ríos-Rull y Krusell (1999), confirman de alguna manera este resultado. A partir de esta idea, se ha desarrollado una importante literatura que relaciona la distribución del ingreso con el crecimiento económico, mediante el proceso de competencia electoral y presiones redistributivas por parte de la ciudadanía. Algunos de estos trabajos son por ejemplo Alesina y Rodrik (1994), Persson y Tabellini (1991, 1992, 1994), Bertola (1993), Perotti (1992, 1993) y Saint-Paul y Verdier (1993, 1996), Bénabou (1996). Todos ellos retoman la idea de Meltzer y Richards, y suponen que la política fiscal es consecuencia de un proceso de votación entre los agentes, cuyo resultado depende de la distribución inicial, ya sea del ingreso, del capital, de las habilidades o de la riqueza neta. La política que posteriormente se adopta por el gobierno tiene ciertos efectos sobre el crecimiento económico. Estos modelos, sugieren que la competencia democrática puede conducir a ineficiencias económicas, debido a que la política sigue las preferencias del votante mediano. Por lo tanto, la desigualdad económica puede fomentar distorsiones debido a transferencias e impuestos, una cantidad subóptima de capital en la economía y un tamaño excesivo de la burocracia, que disminuye el crecimiento económico3.
El modelo que se construye en este trabajo es estático y no considera problemas redistributivos. Si bien, no se explicita que los agentes tengan un cierto nivel de riqueza, suponemos que la única fuente de heterogeneidad es la posición ideológica, y los resultados no dependen de las diferencias en el nivel de riqueza. De hecho, podemos suponer que el nivel de riqueza es el mismo para cada uno de los agentes, por lo que la valoración de la provisión de bien público es exactamente igual para todos. El mecanismo del cual se desprende el problema de ineficiencia, no es el de la demanda por la redistribución de la riqueza.
Existe otra línea de investigación en la que se vinculan la competencia política y el clientelismo, para explicar la ineficiencia gubernamental. La gran mayoría de la literatura sobre clientelismo político, analiza las condiciones y el contexto que permite este tipo de prácticas, así como los procesos de compra de votos. Algunos ejemplos de los trabajos que han contribuido al análisis empírico en esta área son Wantchekon (2003), Cornelius (2004), Cox y Kousser (1981), Cox y Thies (2000), Estévez et al. (2002) y Brusco et al. (2004). No obstante, el número de trabajos sobre este tema, son relativamente pocos los que han desarrollado modelos formales que expliquen las decisiones sobre el uso y la distribución de recursos de manera clientelar. Algunos de los artículos seminales en esta área son Dixit y Londregan (1996, 1998), Lindbeck y Weibull (1987), Lizzeri y Persico (2001). Aún son menos, los análisis formales que vinculan el desempeño y las ineficiencias de la política pública. Dos de ellos son Robinson y Verdier (2002), y Gatica (2007).
Robinson y Verdier (2002) construyeron un modelo formal, donde el empleo en el gobierno es usado como patronazgo en un contexto político bajo condiciones de desigualdad y pobreza, encontrando que la oferta de empleo conlleva a ineficiencias en la provisión de bienes públicos e inversión pública. Un análisis similar es el realizado por Gatica (2007), quien presenta un modelo formal para analizar los efectos de la competencia política y las transferencias por patronazgo. Gatica argumenta que mayor competencia puede conducir a transferencias mayores, de acuerdo con la relevancia política de cada grupo clientelar, sin embargo, su análisis no considera el empleo en el gobierno.
El modelo que se desarrolla a continuación, retoma en parte la estructura de competencia que hay en Dixit y Londregan (1998), aunque en un contexto de competencia espacial similar al empleado por Gatica (2007). Los resultados obtenidos no están determinados por las preferencias del votante mediano y tampoco dependen de la distribución del ingreso, ni de los niveles de pobreza, así como de los problemas de información, a diferencia del modelo de Robinson y Verdier (2002).
II. Un modelo simple de competencia política
La economía está conformada por dos tipos de agentes: ciudadanos y partidos. Siguiendo a Hinich y Munger (1994) suponemos que los agentes pueden localizar sus preferencias de política en un espacio ideológico. Así, tanto los ciudadanos como los partidos tienen preferencias que pueden localizarse sobre un espacio ideológico. Suponemos además que todos y cada uno de los agentes tienen preferencias con un solo pico dentro del espacio ideológico unidimensional y que está normalizado en el intervalo [0,1]. Este espacio se puede entender por ejemplo en términos de derecha e izquierda, donde la extrema derecha y la extrema izquierda se encuentran localizados en los puntos 0 y 1, y la posición ideológica preferida de cada agente se puede localizar en algún punto del intervalo. Los agentes son indexados sobre el espacio ideológico de acuerdo a su posición más preferida y suponemos que las posiciones ideales de los ciudadanos se distribuyen uniformemente a lo largo del espacio ideológico. Así, el ciudadano i tiene su posición ideológica más preferida en el punto i
[0, 1].
A. Los partidos políticos
Suponemos que hay dos partidos políticos, un partido en el gobierno que llamaremos A, y un partido de oposición indexado por B, cuyas posiciones ideológicas más preferidas están en 0 y 1 respectivamente. Estas posiciones son de conocimiento común para ambos partidos. Cada partido busca obtener el máximo apoyo político posible entre los ciudadanos, para lo cual suponemos que los partidos consideran a cada ciudadano exactamente igual, es decir, valoran exactamente de la misma manera el apoyo que recibe de cualquier ciudadano. Así, cada partido intenta atraer la mayor cantidad de ciudadanos que simpaticen con él. Para ello, los partidos compiten programáticamente anunciando y llevando a cabo una plataforma política que corresponde a un punto sobre el espacio ideológico. El partido en el gobierno anuncia su plataforma, que se localiza en un lugar sobre el intervalo [0, 1] y que denotaremos a, mientras que el partido de oposición anuncia su propia plataforma y cuya posición ideológica denotaremos como b. Dado que los partidos tienen preferencias ideológicas, y sus posiciones ideales están respectivamente en cada extremo del espacio, cualquier desviación de sus plataformas con respecto a estos puntos ideales implica un costo para los partidos. Estos costos son representados por las funciones CA (a) y CB (1–b) que se asume tienen las siguientes características:

Suponemos también que existe un bien público puro que es provisto por el partido en el gobierno. El partido en el gobierno cuenta con un monto exógeno de recursos públicos, G, que usa para comprar insumos, trabajo y capital, y producir una cierta cantidad del bien público. El gobierno es tomador de precios y suponemos que la tasa de retorno del capital y el salario son iguales a 1. Así, la restricción presupuestal del gobierno es:

donde K es la cantidad de capital y L la cantidad de trabajo.
La cantidad de bien público, P, es producido mediante una tecnología representada por la función homogénea de grado uno P = f (K, L) con las siguientes características:

Donde L y K son las cantidades totales de trabajo y capital empleados para la producción de bienes públicos.
Suponemos que el gobierno contrata trabajo entre los ciudadanos, quienes lo proveen de manera inelástica. La cantidad de ciudadanos contratados es lo que en este contexto llamamos empleo burocrático.
De esta forma, el partido en el gobierno ofrece empleo en la burocracia gubernamental para producir bienes públicos. Suponemos también, que el partido en el gobierno decide a qué ciudadanos contratar y la cantidad de tiempo de trabajo que cada uno de ellos aportará. Denotamos como li ≥ 0 la cantidad de empleo burocrático que se le ofrece al ciudadano i y, por lo tanto,

De esta forma, los recursos gubernamentales se emplean para proveer bienes públicos, P, pero que igualmente pueden servir como patronazgo para crear relaciones clientelares otorgando empleo burocrático. En este modelo, por simplificar el análisis y sin que esto cambie en algo los resultados, suponemos que todo el empleo gubernamental se utiliza como patronazgo.
Así, el partido en el gobierno no sólo compite programáticamente presentando su plataforma ideológica, sino que también compite por el apoyo de los ciudadanos mediante la provisión de bienes públicos y la distribución de empleo clientelar.
B. Los ciudadanos
Hay un número continuo de ciudadanos distribuidos de acuerdo con sus posiciones ideológicas más preferidas en el intervalo [0,1]. Suponemos, sin que esto implique cambios en los resultados generales del estudio, que los agentes son heterogéneos en sus preferencias ideológicas y siguen una distribución uniforme. Cada ciudadan
o está indexado por la localización de su posición ideológica ideal, i, donde i
[0, 1]. Las posiciones ideológicas ideales de los ciudadanos son de conocimiento común para los partidos. Siguiendo a Hinich y Munger (1994), cada ciudadano observa las plataformas políticas de los partidos y las localiza sobre el espacio ideológico unidimensional, con respecto a la posición ideológica que ese ciudadano tiene como la más preferida.
Las preferencias del ciudadano i sobre los dos partidos están representadas por la comparación de las siguientes funciones:

Donde li es el tiempo de trabajo en el gobierno del ciudadano i, entonces li >0 si el ciudadano i trabaja en el gobierno y li = 0 de otra forma.
Entonces, las funciones Ui (A)y Ui (B) representan el nivel de ''simpatía'' del ciudadano i sobre el partido en el gobierno y sobre el partido opositor. Esta ''simpatía'' por cada partido depende de la valoración que cada ciudadano tenga sobre las posiciones programáticas de los partidos, a y b, y en el caso del partido en el gobierno, dependerá también de la valoración sobre la provisión del monto de bien público y el otorgamiento de empleo.
C. Los partidarios
Se asume que los ciudadanos apoyan solamente a uno de los partidos. Así, el ciudadano i apoya al partido en el gobierno si Ui (A) ≥ Ui (B), y apoya al partido opositor si Ui (B) ≥ Ui (A). En el caso en que Ui (A) = Ui (B) el ciudadano i apoya al partido en el gobierno con una probabilidad de 0,5.
Dadas dos posiciones programáticas a y b, un nivel determinado de bien público, y debido a la continuidad tanto de la distribución de ciudadanos sobre el espacio ideológico, como a las funciones Ui (A)y Ui (B), existe un único punto q que representa el ciudadano indiferente entre ambos partidos y que está definido por – (a – θ)2+ P = – (b – θ)2. Por las características de las funciones (5) y (6), todo ciudadano i tal que i < θ, apoya al partido en el gobierno, mientras que todo ciudadano i tal que i > θ, apoya al partido opositor.
Las curvas ilustradas en el gráfico 1, representan la utilidad o el nivel de simpatía que cada ciudadano, localizado sobre el espacio ideológico, tiene para con el partido en el gobierno y para con el partido de oposición, dadas las posiciones programáticas a y b, y el nivel de bien público ofrecido por el gobierno.
La utilidad de cada ciudadano respecto a las posiciones programáticas a y b, así como a la provisión del bien público, P, se muestra en el gráfico 1.
La fracción de la ciudadanía que apoya a cada partido está determinada por el ciudadano que es indiferente en apoyar al partido A y al partido B. Así, el porcentaje de ciudadanos que apoyan al partido A es la fracción θ y está definida a partir de (5) y (6) como:

De acuerdo con lo anterior, la fracción de ciudadanos que son seguidores del partido B es entonces 1– θ.
D. Empleo como patronazgo
Dado que suponemos que hay información perfecta, el partido A conoce a sus seguidores naturales, aquellos que, dada la posición ideológica de su plataforma y el nivel de bien público, apoyan al partido independientemente de la distribución de empleo. La cantidad de estos seguidores naturales está dada por θ. Igualmente, sabe quiénes son los seguidores naturales de la oposición, cuya magnitud es 1– θ. Al tener esta información, el partido en el gobierno distribuye empleos entre los seguidores naturales del partido opositor, con el fin de cooptarlos y así aumentar la magnitud de apoyo político entre los ciudadanos. Para lograr cooptar a los seguidores naturales de la oposición, es necesario ofrecer un nivel de empleo, y por lo tanto un nivel salarial, tal que compense la utilidad de los agentes cooptados por cambiar su preferencia partidista. Dado que para los seguidores naturales de B, la diferencia en sus preferencias partidistas aumenta conforme se alejan de θ hacia la derecha, el costo para cooptarlos también aumenta al alejarse de θ. Así, para cooptar el mayor número de ciudadanos minimizando el costo, el partido en el gobierno ofrece empleo en una vecindad de θ, dentro de un intervalo [θ, ε] donde ε > θ, como se muestra en el gráfico 2.
Dado que partido en el gobierno debe compensar la diferencia entre las preferencias partidistas de los ciudadanos, y bajo el supuesto de que el salario es igual a 1, el área sombreada entre las dos curvas que va de θ a ε en el gráfico 2, representa tanto la cantidad de empleo ofrecido para cada ciudadano en el intervalo [θ, ε], como el monto de recursos públicos destinados a comprar trabajo para la producción del bien público.
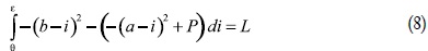
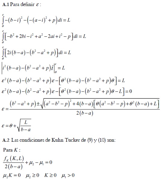
De acuerdo con lo anterior y como se observa en el gráfico 2, está definida implícitamente por:

como una función ε(a, b, L) y donde L es el número de horas totales de trabajo empleadas en la producción del bien público (ver apéndice A.1).
III. Competencia política
Como ya hemos mencionado, cada partido trata de obtener el mayor número de ciudadanos que le provean de su apoyo, buscando minimizar los costos políticos que implica competir programáticamente. Formalmente se trata de un juego simultáneo donde los partidos enfrentan los siguientes problemas de maximización.
Ya que G = L +K podemos expresar la función de producción del bien público como una función del nivel de empleo (G ,- L, L) y el problema para el partido en el gobierno, A, es entonces:

mientras que el competidor B enfrenta el problema:

La dinámica del juego es la siguiente. En un primer momento, los competidores escogen simultáneamente su plataforma ideológica, y en el caso del partido A, elige la combinación de bienes públicos y empleo que desea otorgar. Inmediatamente después, cada ciudadano decide a qué partido apoyar. Finalmente, cada partido obtiene su respectiva ganancia política. La solución que buscamos para este juego es un equilibrio de Nash y constituye el equilibrio político-económico del modelo.
La situación (9), junto con (7) y (8), muestra el problema de decisión del partido en el gobierno, en cuanto al costo de oportunidad del patronazgo para cooptar seguidores, como en la pérdida de apoyo político por la posibilidad de disminuir el monto de bien público producido, debido a un exceso de empleo gubernamental.
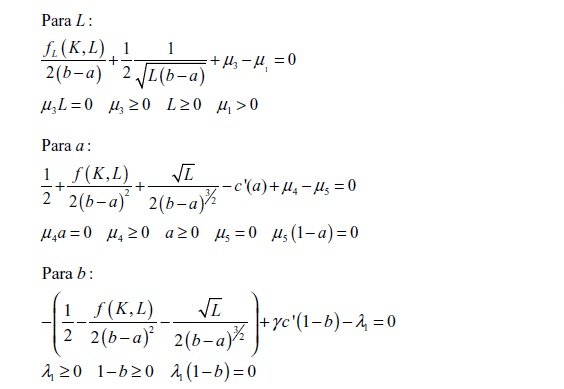
Los posibles equilibrios del juego están caracterizados por las condiciones de Kuhn Tucker para los problemas (9) y (10) (Ver apéndice A.2). En la siguiente sección, se analiza tanto la existencia del equilibrio político-económico, así como sus características.
IV. Análisis del equilibrio político-económico
Llamaremos de ahora en adelante ''partidario marginal'' al ciudadano localizado en θ. Para analizar el equilibrio, partimos de la caracterización del partidario marginal. El lema 1 plantea las condiciones suficientes para la existencia de θ, tal que θ
(a, b), dado cualquier par de plataformas a y b, tales que a < b.
Lema 1. Para cada combinación posible (a, b) tal que 0 ≤ a < b ≤ 1, y para un nivel de recursos públicos G tal que:

donde L° está dado por: fK (G –L°, L°) = fL(G –L°, L°), existe un θ
(a, b), tal que los ciudadanos en el segmento [0, θ)apoyarán al partido A, los individuos en el segmento (θ, 1] apoyarán a B. El ciudadano θ, que de ahora en adelante llamaremos ''partidario marginal'', está definido por:

Prueba. Ver el apéndice A.3.
La condición (11) determina el nivel máximo posible de recursos públicos para que θ
(a, b). En caso de cumplirse esta condición, el ciudadano situado exactamente en la posición a, preferirá al partido A sobre el partido B y el ciudadano situado en b, tiene una mayor simpatía por el partido B que por A. Si la condición (11) no se cumple, el nivel de recursos será lo suficientemente alto como para ofrecer una cantidad de bien público, tal que compense las preferencias ideológicas de los ciudadanos respecto a los programas de los partidos, por lo que todos los ciudadanos preferirían al partido en el gobierno por sobre el opositor. Dado que en ese caso la competencia política no tiene sentido y los resultados no tienen ningún interés, supondremos de ahora en adelante que en un equilibrio el nivel de recursos públicos con los que cuenta el partido en el gobierno cumple con la condición (11).
En este contexto, un equilibrio es un conjunto {a*, b*, L*}, que es un equilibrio de Nash del juego simultáneo y es solución de los problemas de maximización (9) y (10).
Proposición 1. En un equilibrio de Nash, {a*, b*, L*}donde G cumple con la condición (11), entonces a ∗<b∗ .
Prueba. Ver el apéndice A.4
Esta proposición es bastante intuitiva, ya que implica que la plataforma política empleada por un partido para competir programáticamente, siempre es más cercana a la posición ideal de ese partido que la plataforma del partido rival. Esto también implica que los partidarios naturales de cada partido, no son los ciudadanos más alejados de la posición ideal del partido. Si el partido en el gobierno colocara su plataforma programática muy cerca del ideal del partido rival, aún más que la propia plataforma que el partido contendiente propone, atraería a los ciudadanos más cercanos al ideario del rival, sin embargo, el costo político por alejarse del ideal propio es demasiado alto. Así, el espectro ideológico de influencia de cada partido es el cercano a su posición ideológica ideal. En el gráfico 1, esto se refleja en el hecho de que los seguidores del partido en el gobierno se encuentran a la izquierda del partidario marginal, mientras que los seguidores del partido opositor se encuentran a la derecha.
Resultado 1. La cantidad de ciudadanos empleados por el gobierno es
la fracción de ciudadanos que, una vez que se utiliza el empleo gubernamental como patronazgo, apoya al partido en el gobierno está dada por
, donde L es la cantidad de horas hombre empleadas en la producción del bien público.
Prueba. Ver apéndice A.1
El resultado anterior es interesante, ya que si bien es obvio que el incremento de horas hombre en la producción de bienes públicos conlleva a la contratación de más ciudadanos, no es tan claro el efecto que puede tener la diferencia en las plataformas programáticas de los partidos. El resultado dice que cuando la diferencia programática entre los partidos disminuye, la cantidad de empleados aumenta, siempre y cuando las horas hombre contratadas se mantengan constantes. Sin embargo, la cantidad total de horas contratadas también se altera cuando la distancia ideológica disminuye. El efecto de la distancia ideológica depende entonces de la rentabilidad política relativa entre el empleo burocrático y la provisión de bienes públicos.
Aun cuando esta parte del resultado puede ser no muy clara formalmente, es en realidad bastante intuitiva. Si la cantidad de horas contratadas por el gobierno no se alteraran con los cambios en la distancia ideológica, la cantidad de personas empleadas aumentaría debido a que el partido en el gobierno trata de cooptar inicialmente a los ciudadanos más cercanos al partidario marginal, es decir, a los ciudadanos cercanos a la indiferencia o a la indecisión, cuando los programas de los partidos se acercan, estos ciudadanos encuentran más semejanzas entre los dos partidos, lo cual los acercan más a una postura de indiferencia. Sin embargo, los ciudadanos alrededor del votante marginal, también se encontrarán más cerca de la posición de su partido preferido, por lo que disuadirlos de apoyar a dicho partido es también más costoso. Como sea, no es el objetivo de este artículo analizar el efecto de la diferencia ideológica de los programas partidistas y dejamos su análisis para un trabajo posterior.
Proposición 2. Si G cumple con la condición (11) y el costo del partido en el gobierno por competir programáticamente crece suficientemente rápido, existe un equilibrio de Nash {a*, b*, L*}que es solución de (9) y (10) donde θ
(a*, b*).
Prueba. Ver apéndice A.5
V. Eficiencia gubernamental
En este análisis nos referimos a la eficiencia gubernamental en términos de la provisión óptima del bien público. La eficiencia se refiere entonces al uso óptimo de los recursos públicos, G, dada la tecnología para producir y proveer el máximo monto bien público. De esta forma existe una demanda óptima de K y L. Suponiendo que el gobierno es benevolente, entonces éste buscará maximizar el bienestar social, y como suponemos un bien público puro, es decir, todos los ciudadanos pueden consumir el bien público y se benefician por igual, entonces el problema del gobierno es:

donde G = K + L4. La condición de primer orden de este problema es fK (G –L, L)= fL (G –L, L), dado que asumimos que tanto el costo del capital como el del trabajo son iguales a 1. La solución de esta condición es el nivel de empleo socialmente óptimo Lo con el cual se provee el monto socialmente óptimo de bien público, f (G –L°, L°). Decimos que un gobierno es más eficiente en la provisión de bienes públicos entre más se acerque a la provisión socialmente óptima f (G –L°, L°); por lo tanto existe también un nivel óptimo de empleo burocrático y un gobierno es igualmente más eficiente entre más se acerque al nivel de empleo L°.
En este artículo nuestra principal pregunta es si la competencia política entre dos partidos provee los incentivos suficientes para que el partido en el gobierno se comporte eficientemente. Dado que el nivel de empleo determina el monto de bien público que provee el gobierno, nos interesa comparar el nivel de empleo correspondiente al equilibrio de Nash del juego político, {a*, b*, L*}, con el nivel de empleo socialmente óptimo. El siguiente resultado muestra que, en términos de empleo gubernamental y por lo tanto de provisión de bienes públicos, la competencia por apoyo político entre dos partidos no genera los incentivos correctos para que el partido en el gobierno se comporte eficientemente.
Resultado 2. En todo equilibrio el nivel de empleo gubernamental es estrictamente mayor al socialmente óptimo, L* > L°.
Prueba. Ver el apéndice A.6
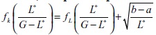
El resultado anterior puede verse claramente en el gráfico 3. Dado que asumimos que P = (K, L) es homogénea de grado uno, entonces fK(·) y fL(·) se pueden expresar como funciones de
. De acuerdo con las condiciones de Kuhn-Tucker, el equilibrio político-económico implica para cualquier equilibrio que
mientras que el óptimo social está dado por
.
El resultado implica, que el empleo burocrático políticamente óptimo cuando se utiliza como patronazgo, excede el nivel de empleo socialmente óptimo. Esto se debe a que si bien los partidos compiten programáticamente, nunca presentan la misma plataforma ideológica ya que enfrentan costos políticos por el hecho de desviarse de sus posiciones ideales y el partido en el gobierno puede ofrecer bienes públicos. El hecho de ofrecer cierto nivel de bien público, por mínimo que sea, siempre aumenta el número de ciudadanos que apoyan al partido, independientemente de la posición ideológica de su programa. Así, dada la posición del partido de oposición, el hecho de poder atraer apoyo por medio de la oferta de bienes públicos, siempre le permite al partido en el gobierno obtener el mismo nivel de apoyo político entre los ciudadanos con un menor costo, presentando una plataforma distinta a la del rival. Al aumentar el nivel de empleo más allá del óptimo social, el nivel de bien público producido disminuye y pierde apoyo de algunos ciudadanos cercanos al partidario marginal. Sin embargo, esto le permite cooptar un mayor número de ciudadanos por medio de la oferta de empleo burocrático; políticamente siempre es más rentable el uso de empleo burocrático como patronazgo, que la provisión de bienes públicos como una forma de atraer el apoyo ciudadano. Intuitivamente, esto se debe a que el patronazgo es el uso de recursos públicos empleados en ofrecer un beneficio privado a ciudadanos específicos cuyas preferencias ideológicas los hacen altamente rentables en el aspecto político; son los ciudadanos cercanos al partidario marginal sobre los que el partido en el gobierno actúa de manera clientelar debido a que son los menos costosos de cooptar. En contraste, el uso de recursos públicos para atraer el apoyo de los ciudadanos por la vía de la provisión de bienes públicos, si bien tiene la ventaja de afectar a toda la población, dado que no hay exclusión ni rivalidad, tiene un impacto que se diluye mientras la posición ideológica de los ciudadanos es más lejana. Esto es lo que hace al patronazgo políticamente más rentable que la provisión de bienes públicos, y lleva al partido en el gobierno a ofrecer de forma discrecional un nivel de empleo burocrático que excede el óptimo social.
Conclusiones
A diferencia de otros modelos que parten de Metzler y Richard (1981), donde el tamaño del estado se explica como resultado de las preferencias redistributivas del votante mediano, en este artículo avanzamos en una teoría donde, independientemente de la distribución del ingreso en la economía, la anonimidad de los ciudadanos juega un papel fundamental que conlleva siempre a un exceso en el tamaño del gobierno, en relación a lo que definimos como eficiente socialmente. Cabe mencionar, que si bien el modelo desarrollado aquí no considera cuestiones redistributivas, es igualmente consistente con los resultados de modelos del tipo Metzler y Richard.
El principal resultado de este artículo argumenta que mientras sea posible emplear recursos públicos como patronazgo político, la competencia entre dos partidos cuando uno de ellos se encuentra en el poder, siempre incentiva un crecimiento excesivo del gobierno en relación al tamaño óptimo de éste.
En contraste con muchos de los trabajos anteriores sobre la explicación del tamaño del gobierno, en este artículo desarrollamos nuestro argumento y llegamos al resultado anterior a partir de plantear un criterio normativo de eficiencia muy simple. Consideramos que este criterio, debido a la simpleza del modelo, carece de ambigüedad alguna. Dado que suponemos que el bien público es puro, y que la utilidad de todos los ciudadanos es estrictamente creciente en el nivel de bien público y no representa ningún costo para los ciudadanos, el nivel óptimo de provisión de bien público para cada uno de los ciudadanos y por lo tanto para toda la sociedad, es el nivel máximo de bien público que pueda producirse, dada la cantidad de recursos públicos disponibles. Así, nuestros resultados no dependen de la forma funcional específica para la utilidad social, siempre que se mantenga el supuesto de anonimidad. Es decir, en el modelo la ineficiencia gubernamental como resultado de la competencia política es independiente de las formas funcionales involucradas y únicamente depende del principio de anonimidad, es decir, que frente al Estado todos los ciudadanos tienen exactamente los mismos derechos y obligaciones5. Es importante resaltar que este es uno de los principios más importantes que caracterizan a un sistema democrático junto con otros, como la libre competencia política y la libertad de expresión y de organización. Así, en este artículo se argumenta que una de las principales características de un sistema político democrático puede ser un elemento que genere incentivos para un comportamiento ineficiente del gobierno y para la existencia de prácticas que se consideran poco democráticas, como el patronazgo político. Cabe aclarar que en este artículo no se argumenta que el principio de anonimidad sea la causa de la ineficiencia, sino que un sistema político con características democráticas, no necesariamente conlleva a resultados eficientes en el comportamiento gubernamental.
Este resultado tampoco depende de problemas de información asimétrica y contrasta con argumentos como los de Wittman. Así, a diferencia de los trabajos teóricos que se enfocan en el problema del agente principal para explicar la ineficiencia gubernamental y la extracción de rentas causada por la competencia política, el modelo que aquí se desarrolla supone información perfecta por lo que no existen problemas de información asimétrica. El modelo supone que el interés del partido en el gobierno es obtener apoyo político entre la ciudadanía, para lo cual puede utilizar los recursos públicos en la provisión de un bien público puro o en una contratación excesiva de burocracia. Así, cuando un partido en el gobierno requiere cierta cantidad de trabajo para producir y proveer bienes públicos, puede emplear una cantidad excesiva de trabajo y utilizar el empleo burocrático como patronazgo, para beneficiar a una parte de la ciudadanía a cambio de apoyo político.
Este artículo nos permite concluir que a pesar de que un sistema político presente características democráticas y aún sin problemas de información, es importante disminuir la posibilidad del empleo discrecional de recursos públicos, particularmente de forma clientelar en el sentido de proveer beneficios excluyentes y rivales por medio de estos recursos a cambio de alguna retribución política.
Bibliografía
1. Alesina, Alberto y Rodrik, Danni (1994). ''Distributive Politics and Economic Growth''. Quarterly Journal of Economics, Vol. 109, No. 2, pp. 465-90.
2. Alesina, Alberto; Baquir, Reza y Easterly, William (1998). ''Redistributive Public Employment'', NBER Working Papers, No. 7387.
3. Austen-Smith, David y Banks, Jeffrey S. (1989). ''Electoral Accountability and Incumbency'', En: Peter Ordeshook (ed.), Models of Strategic Choice in Politics, University of Michigan Press.
4. Barroo, Robert (1973). ''The Control of Politicians: An Economic Model''. Public Choice, Vol. 14, No. 1, pp. 19-42.
5. Barro, Robert (1991). ''A Cross Country Study of Growth, Saving and Government''. NBER Working Papers, No. 2855.
6. BeckeR, Gary (1983). ''A Theory of Competition Among Pressure Groups for Political Influence''. Quarterly Journal of Economics, Vol. 98, No. 3, pp. 371-400.
7. Becker, Gary (1985). '' Public Policies, Pressure Groups and Gead Weight Costs''. Journal of Public Economics, Vol. 28, No. 3, pp. 330-347.
8. Becker, Gary y Mulligan, Casey (1998). ''Deadweight Cost and the Size of Government''. NBER Working Papers, No. 6789.
9. Bénabou, Roland (1996). ''Inequality and Growth'', En: Ben S. Bernanke y JulioJ. Rotemberg (eds.), National Bureau of Economic Research Macro Annual, Vol. 11, pp. 11-74, Cambridge, MA, MIT Press.
10. Bergstrom, Theodore C. y Goodman, Robert (1973). ''Private Demands for Public Goods''. American Economic Review, Vol. 63, No. 3, pp. 280-296.
11. Bertola, Giuseppe (1993). ''Factor Shares and Savings in Endogenous Growth''. American Economic Review, Vol. 83, No.5, pp. 1184-1198.
12. Black, Duncan (1958). The Theory of Committees and Elections, Cambridge, England, Cambridge University Press.
13. Bonilla, Claudio y Gatica, Leonardo (2005). ''Economía Política Neoclásica y la América Latina''. El Trimestre Económico, Vol. LXXII, No. 285, pp. 179-211.
14. Brennan, Geoffrey y Buchanan, James (1980). The Power to Tax: Analytical Foundations of a Fiscal Constitution, Cambridge University Press.
15. Breton, Albert (1974). The Economic Theory of Representative Government, Aldine Transaction.
16. Brusco, Valeria; nAzAReno, Marcelo y stokes, Susan. (2004). ''Vote Buying in Argentina'', Latin American Research Review, Vol. 39, No. 2, pp. 66-88.
17. Budge, Ian; klingemAnn Hans-Dieter; Volkens, Aandrea; BArA, Judith y Tanenbaum, Eric (2001). Mapping Policy Preferences, Oxford University Press.
18. Cornelius, Wayne A. (2004). ''Mobilized Voting in the 2000 Elections: The Changing Efficacy of Vote Buying and Coercion in Mexican Electoral Politics'', En: Jorge I. Domínguez y Chappell Lawson (eds.), Mexico's Pivotal Democratic Elections: Candidates, Voters, and the Presidential Campaign of 2000, Stanford, Stanford University Press.
19. Coughlin, Peter J. (1992). Probabilistic Voting Theory, New York, Cambridge University Press.
20. Cox, Gary, y J. MorgAn, Kousser (1981). ''Turnout and Rural Corruption: New York as a Test Case''. American Journal of Political Science, Vol. 25, No.4, pp. 646-663.
21. Cox, Gary y Thies, Michael F. (2000). ''How Much Does Money Matter? 'Buying' Votes in Japan, 1967-1990''. Comparative Political Studies, Vol. 33, No. 1, pp. 37-57.
22. DaVis, Otto y Hinich, Melvin J. (1968). ''On the Power and Importance of the Mean Preference in a Mathematical Model of Democratic Choice''. Public Choice, Vol. 5, No. 1, pp. 59-72.
23. Davis, Otto y Hinich, Melvin J. (1966). ''A Mathematical Model of Policy Formation in Democratic Societies'', en Joseph Benvd (ed.). Mathematical Applications in Political Science, II, Dallas, Southern Methodist University Press.
24. Davis, Otto y Hinich, Melvin J. (1967). ''Some Results Related to a Mathematical Model of Policy Formation in Democratic Societies'', en Joseph Benvd (ed.). Mathematical Applications in Political Science, III, Dallas, Southern Methodist University Press.
25. Davis, Otto; Melvin J. y Ordeshook, Peter (1970). ''An Expository Development of a Mathematical Model of the Electoral Process''. American Political Science Review, Vol. 64, No. 2, pp. 426-448.
26. Davis, Otto; Degroot, Morris y Hinich, Melvin J. (1972). ''Social Preference Ordering and Majority Rule''. Econometrica, Vol. 40, No. 1, pp. 147-157.
27. Dixit, Avinash y Londregan, John (1996). ''The Determinants of Success of Special Interest in Redistributive Politics''. Journal of Politics, Vol. 58, No. 4, pp. 1132-1155.
28. Dixit, Avinash y Londregan, John (1998). ''Ideology, Tactics, and Efficiency in Redistributive Politics''. Quarterly Journal of Economics, Vol. 113, No. 2, pp. 497-529.
29. Downs, Anthony (1957). An Economic Theory of Democracy, New York, Harper and Row.
30. Enelow, James M. y Hinich, Melvin J. (1990). ''The Theory of Predictive Mappings'', En: James Enelow y Melvin Hinich (eds.), Advances of the Spatial Theory of Voting, New York, Cambridge University Press.
31. Enelow, James M. y Hinich, Melvin J. (1989). ''The Location of American Presidential Candidates: An Empirical Test of a New Spatial Model of Elections''. Mathematical Computer Modelling, Vol. 12, No. 4-5, pp.461-470.
32. Estevez, Federico; Magaloni, Beatriz y Díaz-Cayeros Alberto (2002). ''The Erosion of One Party Rule: Clientelism, Portfolio Diversification and Electoral Strategy'', artículo preparado para presentarse en el Encuentro Anual de 2002 de la Asociación Americana de Ciencia Política en Boston.
33. Ferejohn, John (1986). ''Incumbent Performance and Electoral Control''. Public Choice, Vol. 50, No. 1-3, pp. 5-26.
34. Gatica, Leonardo A. (2007). ''A Formal Analysis of Patronage Politics'', En: Melvin Hinich y William Barnett (eds.), Topics in Analytical Political Economy, Sage Press.
35. Grillo, Michele. y Polo, Michele (1993). ''Political Exchange and Allocation of Surplus: A model of Tow Party Competition'', en A. Breton, G. Galeotti, P. Salomon y R. Wintrobe (eds.), Preferences and Democracy, Norwell, MA, Kluwer Academic Publishers.
36. Grossman, Herschel (1994). ''Production, Appropriation and Land Reform''. American Economic Review, Vol. 84, No. 3, pp. 705-12.
37. Grossman, Herschel (1999). ''Kleptocracy and Revolutions''. Oxford Economic Papers, Vol. 51, No. 2, pp. 267-83.
38. Grossman, Herschel y Kim, Minseong. (1996). ''Predation and Accumulation''. Journal of Economic Growth, Vol. 1, No. 3, pp. 333-351.
39. Hinich, Melvin J. y Munger, Michael (1994). Ideology and the Theory of Political Choice, Ann Harbor, University of Michigan Press.
40. Hotelling, Harold. (1929). ''Stability in Competition''. Economic Journal, Vol. 39, No. 153, pp. 41-57.
41. Iversen, Torven (1994a). ''The Logics of Electoral Politics: Spatial, Directional and Mobilizational Effects''. Comparative Political Studies, Vol. 27, No. 2, pp. 155-189.
42. Iversen, Torven (1994b). ''Political Leadership and Representation in Western European Democracies: A Test of Three Models of Voting''. American journal of Political Science, Vol. 38, No. 1, pp. 45-74.
43. Laffont, Jean-Jacques (1999). Incentives and Political Economy, Oxford University Press.
44. Laffont, Jean-Jacques y Martimort, David (2002). The Theory of Incentives, Princeton University Press.
45. Laffont, Jean-Jacques y Tirole, Jean. (1993). A Theory of Incentives in Procurement and Regulation, MIT Press.
46. Ledyard, John O. (1984). ''The Pure Theory of Large Two-Candidate Elections''. Public Choice, Vol. 48, No. 1, pp. 7-41.
47. Lindbeck, Assar y Weibull, Jorgen (1987). ''Balanced Budget Redistribution as the Outcome of Political Competition''. Public Choice, Vol. 52, No. 3, pp. 273-297.
48. Lizzeri, Alessandro y Persico, Nicola (2001). ''The Problem of Public Goods under Alternative Electoral Incentives''. American Economic Review, Vol. 91, No. 1, pp. 225-239.
49. Mckelvey, Richard (1976). ''Intransitivities in Multidimensional Voting Models and Some Implications for Agenda Control''. Journal of Economic Theory, Vol. 12, No. 3, pp. 472-82.
50. Mckelvey, Richard (1979). ''General Conditions for Global Intransitivities in Formal Voting Models''. Econometrica, Vol. 47, No. 5, pp. 1085-1111.
51. Meltzer, Allan H. y Richard, Scott F. (1981). ''A Rational Theory of the Size of Government''. Journal of Political Economy, Vol. 89, No. 5, pp. 914-927.
52. Merrill, Samuel y Grofman, Bernard (1999). A Unified Theory of Voting, Cambridge University Press.
53. Moreno, Carlos L. (2008). Democracia Electoral y Calidad Gubernativa. El Desempeño de los Gobiernos Municipales en México, Guadalajara, ITESO/ UIA-Puebla/UIA-Torreón.
54. Myerson, Roger (1993a). ''Effectiveness of Electoral Systems for Reducing Government Corruption: A Game Theoretic Analysis''. Games and Economic Behavior, Vol. 5, No. 1, pp. 118-132.
55. Myerson, Roger (1993b). ''Incentives to Cultivate Favored Minorities Under Alternative Electoral Systems''. American Political Science Review, Vol. 87, No. 4, pp. 856-869.
56. Myerson, Roger (1995). ''Analysis of Democratic Institutions: Structure, Conduct and Performance''. Journal of Economic Perspectives, Vol. 9, No. 1, pp. 77-89.
57. Niskanen, William A. (1971). Bureaucracy and Representative Government, Aldine-Ahterton.
58. Perotti, Roberto (1992). ''Income Distribution, Politics and Growth''. The American Economic Review, Vol. 82, No. 2, pp. 311-316.
59. Perotti, Roberto (1993). ''Political Equilibrium, Income Distribution and Growth''. The Review of Economics Studies, Vol. 60, No. 4, pp. 755-766.
60. Perotti, Roberto (1996). ''Growth, Income Distribution and Democracy: What the Data Say''. Journal of Economic Growth, Vol. 1, No. 2, pp. 149-187.
61. Persson, Torsten y Tabellini, Guido (1991). ''Is Inequality Harmful for Growth? Theory and Evidence''. Discussion Paper, No. 581, Center for Economic Policy Research (London).
62. Persson, Torsten y Tabellini, Guido (1992). ''Growth, distribution and politics''. European Economic Review, Vol. 36, No. 2-3, pp. 593-602.
63. Persson, Torsten y Tabellini, Guido (1994). ''Is Inequality Harmful for Growth?''. American Economic Review, Vol. 84, No. 3, pp. 600-621.
64. Persson, Torsten; Roland, Gerard y Tabellini, Guido (1997), ''Separation of Powers and Political Accountability''. Quarterly journal of Economics, Vol. 112, No. 4, pp. 1163-1202.
65. Plott, Charles R. (1967). ''A Notion of Equilibrium and Its Possibility Under Majority Rule''. American Economic Review, Vol. 57, No. 4, pp. 787-806.
66. Ponzio, Carlos A. (1995), ''El votante mediano y el sector público en México, 1925-1976''. Ensayos, Vol. XIV, No. 1, pp. 1-20.
67. Ponzio, Carlos A. (1996), ''Tres interpretaciones sobre el tamaño del sector público mexicano, 1925-1976''. Economía Mexicana, Nueva Época, Vol. 5, No. 1, pp. 5-35.
68. Ríos-Rull, José Víctor y Krusell, Per (1999), ''On the Size of U.S. Government: Political Economy in the Neoclassical Growth Model''. American Economic Association, Vol. 89, No. 5, pp. 1156-1181.
69. Robinson, James A. y Thierry Verdier (2002), ''The Political Economy of Clientelism'', Discussion Paper, No. 3205, Center of Economic Policy Research.
70. Romer, Thomas y Rosenthal, Howard (1978), ''Political Resource Allocation, Controlled Agendas, and the Status Quo''. Public Choice, Vol. 33, No. 4, pp. 27-44.
71. Romer, Thomas y Rosenthal, Howard (1979), ''Bureaucrats vs. Voters; On the Political Economy of Resource Allocation by Direct Democracy''. Quarterly Journal of Economics, Vol. 93, No. 4, pp. 563-87.
72. Saint-Paul, Gilles y Verdier, Thierry. (1993), ''Education, Democracy and Growth''. Journal of Development Economics, Vol. 42, No. 2, pp. 399-407.
73. Saint-Paul, Gilles and Verdier, Thierry (1996), ''Inequality, Redistribution and Growth: A challenge to the Conventional Political Economy Approach''. European Economic Review, Vol. 40, No. 1, pp. 719-728.
74. Shepsle, Kenneth (1979), ''Institutional Arrangements and Equilibrium in Multidimensional Voting Models''. American Journal of Political Science, Vol. 23, No. 1, pp. 27-59.
75. Shleifer, Andrei y Vishny, Robert (1999), The Grabbing Hand: Government Pathologies and Their Cures, Cambridge University Press.
76. Stigler, George J. (1971), ''The theory of economic regulation''. Bell Journal of Economics and Management Science, Vol. 2, No. 1, pp. 3-21.
77. Stigler, George J. (1972), ''Economic Competition and Political Competition''. Public Choice, Vol. 13, No. 1, pp. 91-106.
78. Svensson, Jakob (1997), ''The Control of Public Policy: Electoral Competition, Polarization and Primary Elections'', The World Bank, mimeo.
79. Tullock, Gordon (1981), ''Why so Much Stability?''. Public Choice, Vol. 37, No. 2, pp. 189-202.
80. Wantchekon, Leonard (2003), ''Clientelism and Voting Behavior; Evidence from a Field Experiment in Beinin''. World Politics, Vol. 55, No. 3, pp. 399-422.
81. Wittman, Donald (1989), ''Why Democracies Produce Efficient Results''. Journal of Political Economy, Vol. 97, No. 6, pp. 1395-1424.
82. Wittman, Donald (1997), The Myth of Democratic Failure: Why Political Institutions are Efficient, Chicago. Chicago University Press.
Primera versión recibida en mayo de 2010; versión final aceptada en septiembre de 2010
Apéndice



Notas
1 Ver por ejemplo los trabajos de Becker (1983, 1985) y Becker y Mulligan (1998) cuyos argumentos sostienen que, incluso cuando los mercados políticos son imperfectos y por lo tanto producen resultados subóptimos, estos resultados son, sin embargo, eficientes. Otros argumentos como el de Stigler (1971, 1972) y Wittman (1989, 1997) también relacionan positivamente la competencia política con el desempeño del gobierno incluso cuando los mercados políticos son imperfectos.
2 Ver por ejemplo Moreno (2005) y Estévez et al. (2002) quienes proveen evidencia empírica para el caso de México que confronta la idea teórica acerca de la relación positiva y monótona entre la competencia política y la eficiencia en el desempeño del gobierno, y Brusco et al. (2004) quienes encuentran resultados similares para el caso de Argentina y argumentan que este comportamiento es explicado como el resultado del patronazgo político.
3 El análisis empírico de la hipótesis sobre la relación entre presiones redistributivas y crecimiento, ha arrojado resultados contradictorios. Algunos de los principales trabajos son Barro (1991), Alesina y Rodrik (1994), Alesina et al. (1998) y Person y Tabellini (1991, 1992, 1994), Perotti (1996). Ponzio (1995, 1996) analizó esta misma dinámica para el caso mexicano. Una revisión de esta literatura se presenta en Bonilla y Gatica (2005).
4 Podríamos igualmente suponer la existencia de una función de utilidad social Bergson-Samuelson de tipo utilitarista; en ese caso el resultado es exactamente el mismo. El supuesto principal para determinar la eficiencia gubernamental como un comportamiento maximizador de la oferta del bien público es el de anonimidad de los ciudadanos, es decir, cada ciudadano tiene exactamente la misma importancia para el planificador central. Dado lo anterior y dada la función de utilidad de los ciudadanos, el gobierno maximiza la utilidad de cada uno al maximizar la producción del bien público. Finalmente, la distribución del empleo y su efecto directo a través de los salarios pagados a los burócratas, tiene un efecto marginal en el campo social debido que suponemos la existencia de un conjunto de ciudadanos; aun cuando esto no fuera así, este no es un punto relevante para nuestro objeto de estudio.
5 El principio de anonimidad implica que el apoyo político que cada uno de los ciudadanos puede proveer tiene el mismo valor para los partidos. Sin este supuesto, diferentes ciudadanos podrían ser valorados de forma distinta como proveedores de apoyo político y por lo tanto, el patronazgo se enfocaría en aquellos ciudadanos cuyo apoyo fuese de mayor importancia para el partido gobernante. En ese caso la distribución de patronazgo no seguiría el patrón que se plantea en el modelo.