ARTÍCULOS
Tasa de descuento y rotación forestal: el caso del Eucalyptus Saligna
Discount Rate and Timber Rotation: the Case of Eucalyptus Saligna
Taux d'escompte et rotation forestière : le cas de l'Eucalyptus Saligna
Camilo Restrepo*; Mauricio Alviar**
* Profesor de la Universidad de Antioquia. Dirección electrónica: milosos@gmail.com. Dirección postal: Facultad de Ciencias Económicas, Universidad de Antioquia, calle 67 No. 53-108, Medellín 050010, Colombia.
** Profesor de la Universidad de Antioquia. Dirección electrónica: malviar@udea.edu.co. Dirección postal: Facultad de Ciencias Económicas, Universidad de Antioquia, calle 67 No. 53-108, Medellín 050010, Colombia.
–Introducción. –I. Marco teórico. –II. Metodología. –III. Resultados.–Conclusiones. –Bibliografía.
RESUMEN
El Eucalipto es una de las especies de mayor importancia económica y ambiental en Colombia. El objetivo de este artículo es observar la relación existente entre la tasa de descuento y el año de corte del Eucalyptus Saligna, mediante el método de Fisher y Hotelling. La metodología consiste en calcular el máximo Valor Actual Neto y realizar un análisis del comportamiento del año de corte con respecto a la tasa de descuento. La región de estudio es el oriente antioqueño, de donde se tomaron datos suministrados por la reforestadora Doña María para una hectárea típica. Se encontró que el año de corte tiene una relación inversamente proporcional con la tasa de descuento, y que éste disminuye para tasas altas.
Palabras clave: Valor actual neto, año de corte, tasa de descuento, rotación óptima, eucalipto, Colombia.
Clasificación JEL: Q20, Q23.
ABSTRACT
Eucalyptus is one of the most important economical and environmental species in Colombia. The main goal of this article is to study the relationship between the discount rate and the year of Eucalyptus Saligna optimal harvest, through the Fisher and Hotelling's method. The methodology consists of calculating the maximum Net Present Value and performing a sensitivity analysis between the year of harvest and the discount rate. The area of study is located in the eastern region of the state of Antioquia, where data was available. The results suggest that the optimal year of harvest has an inversely proportional relation with the discount rate, and it decreases for higher rates.
Key words: Net present value, year of harvest, discount rate, optimal rotation, eucalyptus, Colombia.
JEL Classification: Q20, Q23.
RÉSUMÉ
En Colombie l'eucalyptus est une espèce végétale importante au niveau environnemental et économique. L'objectif de cet article est de déterminer le rapport existant entre le taux d'escompte et l'année d'abattage de l'Eucalyptus Saligna à travers la méthode proposée par Fisher et Hotelling. Celle-ci consiste à calculer la valeur actuelle nette maximale et à effectuer une analyse du comportement de l'année d'abattage en ce qui concerne le taux d'escompte. Pour cette étude nous avons pris un hectare typique de terre dans la région orientale du Département d' Antioquia. Nous concluons que l'année d'abattage est inversement proportionnelle au taux d'escompte et que l'année d'abattage diminue pour des taxes élevés.
Mots clés: Valeur actuelle nette, année d'abattage, taux d'escompte, rotation forestière optimale, eucalyptus, Colombie.
Classification JEL: Q20, Q23.
Introducción
El eucalipto (Eucalyptus saligna) es una especie de rápido crecimiento que posee una gran cantidad de usos, entre los que se encuentra la elaboración de pasta de celulosa para la industria papelera, y múltiples usos en la industria farmacéutica en la creación de antiinflamatorios, antisépticos, antiespasmódicos y antidiabéticos. Además, facilita la producción de miel a través de las flores, el control de la erosión mediante el uso de plantaciones, entre otros.
El eucalipto es un árbol con gran capacidad de adaptación a condiciones desfavorables, tales como suelos anegados1, suelos con pocos nutrientes y lugares contaminados, por lo que ha sido utilizado en suelos con condiciones poco favorables para otras especies. (Obregón y Restrepo, 2006; Salazar, 1986; Skolmen y Ledig, 2000; Touza y Sanz, 2003; y Valencia, 2001). Aunque en Colombia su uso ha sido en su mayoría para el sector papelero, debido a la dificultad de su secado, nuevas técnicas desarrolladas en otros países como por ejemplo Brasil y España, podrían abrir el mercado de muebles y pisos de madera con alto valor estético (Valencia, 2001).
El rendimiento de esta especie varía según las condiciones edáficas, climáticas, la disponibilidad de nutrientes, pero sobre todo debido a dos factores: la luz solar de la que dispone en el año y si hay otras especies forestales compitiendo por recursos con ellas (Hernández et al., 2006; Obregón y Restrepo, 2006). En el mundo, el crecimiento promedio es de 27 m3/ha/año, en la India está entre 20 y 25 m3/ha/año; en Tasmania es de 35 m3/ha/año; para Estados Unidos se encuentran valores de rendimientos que varían desde 16,7 m3/ha/año en la Florida, 21 m3/ ha/año en California hasta 26 m3/ha/año en Hawaii; Brasil reporta datos de rendimiento entre 45 y 73 m3/ha/año; mientras que para España el promedio es 20 m3/ha/año y para Uruguay es de 25 m3/ha/año (King y Skolmen, 2000; Meskimen y Francis, 2000; y Skolmen y Ledig, 2000). Para Colombia se han reportado valores promedio de 25 m3/ha/año, que es un valor cercano a la media mundial (Meskimen y Francis, 2000).
El objetivo de este artículo es observar la relación existente entre la tasa de descuento y el año óptimo de corte del Eucalyptus Saligna, a partir del método de Fisher y Hotelling, el cual también se conoce con el nombre de turno óptimo de Faustmann2. Para desarrollar este objetivo el artículo se dividirá en cuatro secciones. En la primera sección se desarrolla el marco teórico; en la segunda se describen la metodología y los datos utilizados; en el tercer apartado se presentan los resultados, y en el último se concluye.
I. Marco Teórico
El problema central en la economía forestal consiste en determinar la vida o momento óptimo para talar una masa forestal; éste se conoce con el término de turno óptimo (Romero, 1994). Ese momento óptimo ha tenido diferentes enfoques a través de la historia tanto técnicos, como económicos y ambientales. Estimar el momento óptimo desde cada uno de estos enfoques, depende de los usos finales en el aprovechamiento forestal y de la disponibilidad de datos con la que se cuente. En este trabajo se van a considerar el turno técnicamente óptimo y uno de los enfoques económicos clásicos.
A. Turno técnicamente óptimo
El turno técnicamente óptimo aparece cuando se analiza el turno desde el punto de vista biológico; no se consideran parámetros económicos, como el precio de la madera o los costos de producción (Romero, 1994). En este caso se considera solo el crecimiento en el volumen del árbol (crecimiento de biomasa). Sin embargo, en el análisis económico es fundamental el modelo biológico de crecimiento. En el gráfico 1 se puede ver la forma clásica de crecimiento acumulado de un árbol, el cual según la literatura es en forma de S alargada (Del Valle, 1975; y Romero, 1994). Además, se puede ver que en la productividad marginal (Incremento Corriente Anual –ICA–3), que corresponde a la primera derivada del crecimiento acumulado, se identifican tres fases: adolescencia de los árboles, vigor total y senectud, fases que corresponden al punto de inflexión en la curva de incremento corriente. También aparece la curva de productividad media (Incremento Medio Anual –IMA–4) con un punto máximo en donde ésta curva corta a la del ICA (Del Valle, 1975; Goundrey, 1960; Hartman, 1976; y Romero, 1994) (ecuación 1):

Esta ecuación señala que el crecimiento marginal del volumen de biomasa (v') que es una función del tiempo (t), es igual al volumen promedio entendido como el cociente entre el volumen y el período de tiempo que se considere (años o décadas). Esta igualdad ocurre en el punto donde se cortan ambas curvas como se muestra en el panel inferior del gráfico 1.
B. Turno económico
El método de Fisher y Hotelling, consiste en definir el turno óptimo como aquel para el cual el Valor Actual Neto (VAN) de la inversión alcanza un máximo (Romero, 1994). Este método considera una serie de supuestos como son: la existencia de un mercado perfecto de dinero; los precios futuros, tanto de la madera producida como de los insumos utilizados, son constantes y conocidos; para un nivel de insumos, los rendimientos madereros son constantes y el suelo se puede comprar, vender y arrendar en un mercado perfecto (Romero, 1994).

Esta se presenta como la condición de primer orden para la maximización del valor actual neto.
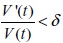
Despejando se tiene la relación de Fisher-Hotelling:

Donde
es el crecimiento maderero relativo. Si
el criterio sugiere esperar, si
el criterio sugiere cortar, y si el crecimiento maderero relativo iguala la tasa de descuento, entonces resulta indiferente cortar o no cortar. Esta aproximación primaria supone que el precio y los costos son constantes a lo largo del tiempo.
Una reflexión importante que resulta de este problema de maximización, es que en este caso el beneficio del bosque o de la plantación está referido sólo al generado por la explotación del árbol para madera o para papel. Sin embargo, es bien sabido que los bosques naturales y aún las plantaciones forestales generan una serie más larga de bienes y servicios de carácter ambiental. Por ejemplo, los árboles contribuyen a regular los caudales, a controlar la erosión, a ser hábitat para la biodiversidad y también a desarrollar el ecoturismo, entre otros.
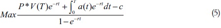
En este sentido, y en un horizonte de largo plazo, para múltiples rotaciones la función de maximización estaría dada por la ecuación (5) la cual recoge en la integral de 0 a T, la suma acumulada de los otros beneficios derivados del bosque y diferentes de la madera y representados por a(t), descontados a la tasa de descuento e-rt. Para la estimación de a(t) se presentan bastantes dificultades de información y también de metodologías para la valoración de los otros servicios ambientales que prestan los bosques. El alcance de este artículo no permite avanzar en el tema de la valoración como para incluir el término a(t) en la función de maximización. Sin embargo, es importante que el lector comprenda que en las decisiones sobre el manejo forestal habría una diferencia significativa cuando se logran incluir todos los servicios derivados del bosque y que aquí representamos por el término a(t). En otras palabras, mientras más beneficios se obtengan del bosque, los cuales dependen del tiempo, entonces la decisión de cortar o conservar se va a ver afectada a favor de la conservación del bosque. Nuevamente, esto dependerá de la valoración económica que se haga de los demás beneficios del bosque.

En este sentido, si el término de la izquierda de esta ecuación (6) es mayor que el de la derecha, la decisión es conservar el bosque por un período adicional. Es decir, cuando el beneficio sea mayor que los costos representados en el término de la derecha. Si ambos son iguales, la decisión sería indiferente.

C. Índice de sitio
El sitio es definido como el conjunto de valores climáticos y edáficos que influyen en el crecimiento de una especie, de esta manera, el índice de sitio es un indicador de qué tan favorables son estos factores para el crecimiento del eucalipto. Para la mayoría de los trabajos, se usa como índice de sitio la altura promedio en metros de los 250 árboles dominantes (los de mayor diámetro) a los 15 años de edad (Del Valle, 1975). El índice de sitio es parte de la ecuación de crecimiento suministrada por reforestadora Doña María.
II. Metodología
La metodología consiste en calcular el valor máximo del valor actual neto tomando como año base el 2010, con el precio y los costos suministrados por la reforestadora Doña María. Para cada año se calcula el precio y los costos, con la resta de estos valores se encuentran los beneficios anuales y se procede a convertirlos al valor actual neto utilizando diferentes tasas de descuento con el fin de aplicar análisis de sensibilidad. El análisis de sensibilidad se realiza observando la influencia que tiene la tasa de descuento en el año de corte, conservando las demás variables constantes5.
A. Descripción de los datos utilizados y la zona de estudio
La región de estudio es el Oriente Antioqueño de donde se tomaron precios, costos y ecuación de crecimiento (ecuación 7), suministrados por la reforestadora Doña María para una hectárea típica en esta región; los datos proceden de la misma zona de estudio, aunque los años a los que se refieren los precios y los costos son diferentes. Los precios suministrados corresponden al año 2007 y los costos corresponden al año 1998. La ecuación de crecimiento suministrada corresponde a la especie Eucalyptus saligna (denominado también Eucalyptus grandis), esta ecuación de crecimiento es variable con el índice de sitio y con la edad de la plantación (Meskimen y Francis, 2000).
Donde:
V : Es el volumen de la madera en m3/ha.
t : Edad del eucalipto en años.
IS : Índice de sitio, para este trabajo se utilizó el valor 176.
D: Precios y costos de la madera
El precio de la madera del eucalipto así como el de otras especies de árboles, depende de su posible uso final. Para el eucalipto, se tomará el valor de la madera para pulpa, debido a que el uso más común en Colombia es en la industria papelera (Obregón y Restrepo, 2006). Los costos de producción del eucalipto son tomados de una hectárea típica de la región andina. Dichos costos comprenden las actividades previas de preparación y siembra, fertilización, fumigación, protección contra incendios, limpias y podas, transporte y mantenimiento hasta el año de corte. Estos costos, como es de suponerse, son mayores en los primeros años de la cosecha, tiempo en el cual se deben adecuar los terrenos y proveer de cuidados especiales a las plantaciones.
III. Resultados
De acuerdo con la metodología utilizada, se obtuvieron los siguientes resultados para la curva de crecimiento del eucalipto, de manera que se pueda verificar que tiene la forma característica y que corresponda a un crecimiento rápido. En el gráfico 2, se puede observar que el eucalipto sembrado en el Oriente Antioqueño, tiene el comportamiento típico del crecimiento de un árbol, en forma de S; además el crecimiento es rápido en los primeros años, fundamentalmente en los primeros diez años, lo cual es característico de esta especie.
En la tabla 1 se muestra el cálculo del valor actual neto para una tasa de descuento del 1%, y donde se encuentra que el valor máximo del valor actual neto es a los 22 años
El gráfico 3 es la representación del cálculo del turno técnicamente óptimo, éste indica cuando el rendimiento marginal y el rendimiento medio de árbol alcanzan el mismo valor. Ese turno para el caso particular del estudio, se encuentra cerca al año cinco de plantación y en algunos países, como Estados Unidos, es el tiempo mínimo de cosecha (Romero, 1994).
En la tabla 2 se presenta la variación del año de corte y del valor actual neto con respecto a la tasa de descuento, una variación inversamente proporcional que se puede observar en el gráfico 4, en el cual se muestra cómo se comporta el año de corte económicamente óptimo con respecto a la tasa de descuento. Lo que significa que a menores tasas de descuento la decisión de cortar el lote se aplaza. Este gráfico además muestra cuán sensible es el año de corte a la tasa de descuento, pudiendo advertir en ella que si la tasa de descuento es baja, los inversionistas preferirán esperar una buena cantidad de tiempo antes de decidirse a cortar; en cambio, si la tasa de descuento es alta, los inversionistas preferirán cortar rápido e invertir su dinero en otros negocios.
El gráfico 5 es la curva del Valor Actual Neto que muestra cómo para esta especie de crecimiento rápido, se puede observar que el máximo se alcanza más rápido para mayores tasas de descuento, lo que implica un turno cada vez menor. Este gráfico corresponde al cálculo de la ecuación 2.
Conclusiones
En este trabajo se utilizó el modelo básico de Fisher y Hotelling para observar cómo varia el año de corte con respecto a la tasa de descuento; esto muestra una relación inversamente proporcional, lo que es coherente con la teoría acerca de la tasa de descuento. Es decir, cuando la sociedad valora más el futuro que el presente, la decisión de mantener el bosque en pie se prolonga. En este sentido, se puede decir que hay una preferencia social por el aumento de la tasa de reposición del recurso forestal. Por el contrario, cuando la sociedad tiene una valoración mayor por el presente, lo cual es compatible con el supuesto de que los individuos son racionales, entonces la tendencia es a extraer la biomasa en el menor tiempo posible, dado que los beneficios de mantener los árboles en pie son menores que el costo de oportunidad de la tierra.
Sin embargo, en este artículo sólo se ha considerado el beneficio derivado de la madera como bien de consumo intermedio. Como se anotó en la introducción, los servicios ambientales del bosque son mucho más amplios y valiosos que la madera. La dificultad radica en su medición y correspondiente valoración monetaria. Por ejemplo, si se lograra valorar el servicio ambiental de regular caudales, el de fijación de CO2 o el de hábitat para la biodiversidad, la probabilidad de que el tiempo óptimo de corte se amplíe sería muy alta. La razón es simple, en la medida en que se incluyan más servicios ambientales que generan ingresos, los beneficios marginales de estas actividades son superiores al costo de oportunidad de la tierra y esto influye en la decisión de cortar hoy o dejar el bosque en pie por más tiempo.
Bibliografía
1. Del Valle, Jorge Ignacio (1975). Crecimiento y rendimiento de Cupressus Lusitanica Mill en Antioquia, Colombia, utilizando parcelas permanentes, Turrialba, Costa Rica.
2. Goundrey, Gordon (1960). ''Forest Management and the Theory of Capital'', The Canadian Journal of Economics and Political Science/Revue Canadienne d'Economique et de Science politique, Vol. 26, No. 3, pp. 439-451.
3. Hartman, Richard (1976). ''The Harvesting Decision When a Standing Forest Has Value'' Economic Inquiry, Vol. 14, No. 1, pp. 52-58.
4. Hernández, Raúl; Rodas, Carlos; Ospina, Carlos; Urrego, John; Godoy, José y Aristizábal, Fabio (2006). El Eucalipto. Eucalyptus Grandis W. Hill ex Maiden, CENICAFE.
5. King, James y Skolmen, Roger (2000). ''Eucalyptus Robusta sm. Robusta.'' US Forest Service. Disponible en: http://www.na.fs.fed.us/pubs/silvics_manual/volume_2/eucalyptus/robusta.htm (enero 2010).
6. Meskimen, George y Francis, John (2000). ''Eucalyptus Grandis Hill ex Maiden. Eucalipto Rosado'', US Forest Service. Disponible en: http://www.fs.fed.us/global/iitf/Eucalyptusgrandis.pdf (enero 2010).
7. Obregón, Carolina y Restrepo, Noemí (2006). ''El Eucalipto. Una opción de alta Rentabilidad'', Revista M&M, No. 53, pp.14-20.
8. Romero, Carlos (1994). Economía de los recursos ambientales y naturales, Alianza Editorial, España.
9. Salazar, Rodolfo (1986). ''Producción de Leña de Eucalyptus Saligna en San Ramón, Costa Rica'', Silvoenergia/CATIE, 1986.
10. Skolmen, Roger y Ledig, Tomas (2000). ''Eucalyptus Globulus Labill. Eucalipto Goma Azul'' US Forest Service. Disponible en: http://www.fs.fed.us/global/iitf/Eucalyptusglobulus.pdf (enero 2010).
11. Touza, Manuel y Sanz, Fernando (2003). ''Nuevas aplicaciones de la madera de eucalipto'', Revista CIS - Madera. Disponible en: http://www.cismadera.com/galego/downloads/art9.pdf (Diciembre 2009).
12. Valencia, Augusto (2001). ''Manejo e industrialización de la madera de eucalipto para usos múltiples'', Jornadas Forestales de Entrerríos XVI. Disponible en: http://www.inta.gov.ar/concordia/info/Forestales/contenido/temas/iv_industrializacion.htm (noviembre 2009).
Primera versión recibida en marzo de 2010; versión final aceptada en septiembre de 2010
Notas
1 Suelo inundado.
2 Aunque en realidad este economista nunca propuso una metodología para resolver el problema de ciclo de vida forestal económicamente óptimo (Romero, 1994).
3 Del inglés CAI (Current Annual Increment).
4 Del inglés MAI (Mean Annual Increment).
5 ceteris paribus, método en el cual se observa el comportamiento de la función objetivo cuando se mantienen estables todas las variables, excepto la que es motivo del análisis.
6 Ecuación suministrada por la reforestadora Doña María.