ARTÍCULOS
La participación laboral de la mujer casada y su cónyuge en Colombia: Un enfoque de decisiones relacionadas
Labor participation of married women and their spouses in Colombia: A related-decision based approach
La participation des femmes mariée et leur conjoint au marché du travail en Colombie
Emma Castro*; Gustavo García**; Erika Badillo***
* Profesora titular y directora del programa de Economía de la Universidad Autónoma de Occidente (Cali-Colombia). Miembro del Grupo de Investigación en Economía y Desarrollo (GIED) de la misma universidad. Dirección electrónica: ebcastro@uao.edu.co. Dirección postal: Universidad Autónoma de Occidente, calle 25 No. 115-85 Km. 2 vía a Jamundi (Colombia).
** Estudiante de Doctorado en Economía Aplicada de la Universidad Autónoma de Barcelona (España). Becario predoctoral FI del Departamento de Economía Aplicada de la misma universidad. Dirección electrónica: gustavoadolfo.garcia@uab.cat. Dirección postal: Universidad Autónoma de Barcelona, Departamento de Economía Aplicada, Campus Bellaterra, Edificio B, 08193 Cerdanyola (España).
*** Estudiante de Máster Oficial en Economía de la Universidad de Barcelona (España). Miembro del Grupo de Análisis Cuantitativo Regional (AQR-IREA) de la misma universidad. Dirección electrónica: ebadillo@ub.edu. Dirección postal: Universidad de Barcelona, Avda Diagonal, 690, 08034 (España).
Emma Beatriz agradece los comentarios a versiones preliminares de los profesores José Ignacio Uribe y Carlos Humberto Ortiz, y demás miembros del Grupo de Desarrollo Económico, Crecimiento y Mercado Laboral de la Universidad del Valle. También se agradecen los comentarios de los profesores Javier Andrés Castro, Jhon James Mora y de los evaluadores anónimos. .
–Introducción. –I. Estudios de la participación laboral. –II. Modelo teórico de la participación laboral familiar. –III. Datos y análisis descriptivo.–IV. Determinantes de la participación laboral de la mujer casada y su cónyuge.–Conclusiones. –Anexos. –Bibliografía.
Primera versión recibida en septiembre de 2010; versión final aceptada en febrero de 2011
RESUMEN
En este artículo se analizan los determinantes de la participación laboral de las mujeres casadas (casadas o en unión libre) y del cónyuge como una decisión familiar en Colombia. Se ha encontrado que las mujeres casadas presentan una mayor presión para participar en el mercado laboral que las mujeres en general. La educación es un factor importante que disminuye la brecha en las tasas de participación en la pareja. Las estimaciones econométricas, a partir de un modelo probit bivariante corregido por sesgo de selección, muestran que la decisión de la pareja de participar en el mercado laboral es interdependiente y se ve afectada en diferentes formas por la dotación de capital humano, la existencia de hijos en edad escolar, las condiciones económicas en el hogar, indicadores de demanda laboral y de características regionales.
Palabras clave: Mujer casada, participación laboral, biprobit, Colombia.
Clasificación JEL: C25, J01, J12, J13, J24.
ABSTRACT
This paper analyzes the determinants of labor participation of married women (married or in consensual union) and their spouses as a family decision in Colombia. It has been found that married women experience a greater pressure for participating in the labor market than women in general. Education is an important factor that reduces the gap in labor participation rates among couples. The econometric estimations, using a bivariate probit model corrected for selection bias, show that the labor participation decision of couples is affected in different ways by human capital endowment, school age children, household economic conditions, and indicators of labor demand and regional characteristics.
Keywords: married woman, labor participation, biprobit, Colombia.
JEL classification: C25, J01, J12, J13, J24.
RÉSUMÉ
Dans cet article nous analysons les déterminants de la participation des femmes mariées (ou en concubinage) et leur conjoint au marché du travail colombien en tant que décision familiale. Nous trouvons que les femmes mariées sont plus incitées que les autres femmes à participer au marché de travail, où l'éducation est un facteur important pour diminuer l'écart des taux de participation des couples. À partir d'un modèle probit bivarié corrigé par biais de sélection, nous montrons que la décision des couples pour participer au marché du travail est interdépendante et elle est touchée par la dotation de capital humain, par l'existence d'un fils d'âge scolaire, par les conditions économiques au foyer, par les indicateurs de demande de travail et, finalement, par des caractéristiques régionales.
Mots clé : Femme mariée, participation au marché du travail, Biprobit, Colombie.
Classification JEL : C25, J01, J12, J13, J24.
INTRODUCCIÓN
En Colombia la participación laboral, en los últimos cincuenta años, ha venido presentado aumentos importantes, siendo más fuerte la participación de las mujeres (Vélez y Winter, 1992). Estos aumentos han sido generados, entre otras cosas, por los cambios demográficos, culturales, institucionales, económicos (Ribero y García, 1996; Tenjo y Ribero, 1998), y la ampliación del ciclo laboral de las mujeres (Santamaría y Rojas, 2001). La educación tiene un efecto relativo importante sobre la participación femenina, siendo mayor para las casadas que para las solteras, y para las mujeres que para los hombres. Estos resultados explican por qué la participación femenina ha venido creciendo tan rápidamente (Tenjo y Ribero, 1998).
Existe amplia evidencia que sustenta la participación laboral individual, por ejemplo, Santamaría y Rojas (2001) resumen los principales estudios que se han realizado al respecto en Colombia y, más recientemente, Arango y Posada (2007) analizan la participación de la mujer casada. Sin embargo, en estos estudios se considera al individuo como la unidad de análisis y no al hogar. El análisis del hogar como la unidad que toma las decisiones en materia de oferta laboral es importante, ya que permite analizar más de cerca el fenómeno de la participación laboral de los miembros secundarios (mujeres casadas, hijos e hijas solteros) que, como se sabe, son los principales responsables de las variaciones que experimenta la fuerza de trabajo ofrecida en el corto plazo (Mincer, 1962).
Bajo este contexto, Becker (1987) plantea que el hogar se constituye como una unidad de decisión y de análisis, donde su función de utilidad se ajusta a las decisiones de optimizar los recursos disponibles en una conexión directa entre el mercado de trabajo, como el lugar donde se adquieren los bienes y servicios por medio de un salario, y los bienes y servicios generados por la actividad doméstica.
Respecto a la evidencia empírica sobre la participación laboral de las mujeres en Colombia, la mayoría de los estudios realizados plantean que la probabilidad de participar depende exclusivamente de las características personales y dejan al margen el entorno familiar (Arango y Posada, 2003 y 2007; López, 2001; Ribero y Meza, 1997; Santamaría y Rojas, 2001; Tenjo y Ribero, 1998).
Teniendo en cuenta a la familia como una unidad de producción doméstica, tal como lo plantea Becker (1987), que determina la decisión de participar en el mercado laboral de sus miembros, el objetivo de este artículo es aportar al conocimiento de la participación laboral, analizando los determinantes de la probabilidad de participar en este mercado por parte de la mujer casada (casada o en unión libre) y del cónyuge, bajo las restricciones de pertenecer a un mismo grupo familiar, tomando en cuenta variables individuales, familiares y regionales. Los datos empleados son los que proporciona la Encuesta Continua de Hogares del DANE para el segundo trimestre del 2006, para las trece principales áreas metropolitanas de Colombia.
Para analizar los determinantes de la probabilidad de participación de las mujeres casadas y sus cónyuges, se estima un modelo Probit Bivariante o Biprobit corregido por sesgo de selección. Este modelo permite caracterizar las decisiones de los individuos teniendo en cuenta que estos pueden estar en entornos comunes. En la investigación que soporta este artículo, el entorno común corresponde al ámbito familiar en el que se encuentra una pareja y los efectos de dicho entorno en las decisiones de participar en el mercado laboral.
Entre los principales resultados, se tiene que la participación laboral de las mujeres casadas es menor que la de sus cónyuges, y la diferencia en dichas participaciones se va reduciendo a mayor nivel educativo y en los hogares de más altos ingresos. En cuanto a los determinantes y sus efectos, se tiene que un mayor nivel educativo de la mujer aumenta la probabilidad de participar en el mercado laboral, pero la mayor educación del cónyuge disminuye dicha probabilidad; igual sucede para el varón cónyuge: su propia educación aumenta la probabilidad de participar y disminuye la de su pareja. El anterior efecto indica que un mayor nivel educativo de la mujer (hombre) implica mayores remuneraciones, siendo los ingresos masculinos (femeninos) menos necesarios en el hogar.
Entre otros resultados interesantes, se ha encontrado que la presencia de hijos en edad escolar ejerce un importante efecto positivo sobre la probabilidad de participar de la pareja, con mayor efecto sobre el hombre. En cuanto a las variables de demanda de trabajo, se ha encontrado que en regiones con altas tasas de desempleo, las mujeres casadas tienen una mayor presión en emplearse que los esposos, esto para efectos de compensar la caída de los ingresos de los hogares.
El documento está organizado de la siguiente manera: en la sección uno se presenta la revisión de literatura nacional e internacional sobre participación laboral. En la sección dos se realiza un acercamiento al modelo teórico de la participación laboral familiar. En la sección tres se describe la base de datos utilizada y se muestran algunas estadísticas descriptivas. En la sección cuatro se realiza el análisis econométrico de los determinantes de la participación laboral de la mujer casada y del cónyuge. Por último, se presentan las conclusiones.
I. Estudios de participación laboral
El estado del arte acerca de la participación laboral es amplio, tanto a nivel nacional como internacional. En general, las investigaciones relacionadas han estudiado la participación laboral basadas en el modelo de ocio consumo y desde el punto de vista empírico se han estimado modelos de elección discreta, modelos tipo pseudo-panel y panel.
A continuación se presenta una síntesis de los más cercanos al tema objeto de este artículo.
Los análisis empíricos sobre la participación laboral se han basado principalmente en estimar modelos de probabilidad o de elección discreta para determinar los factores que afectan dicha participación. Por ejemplo, los trabajos de (López, 2001; Santamaría y Rojas, 2001; Tenjo y Ribero, 1998) documentan el efecto de la tasa de desempleo y el ingreso sobre la participación laboral, confirmando la hipótesis del trabajador adicional. Arango y Posada (2003); Mora (2008); Ribero y Meza (1997); Tenjo y Ribero (1998), muestran tanto para hombres como para mujeres, que la jefatura del hogar, la edad tanto lineal como cuadrática, que corrobora la teoría del ciclo vital y la educación, aumentan la participación laboral de los casados, especialmente la de las mujeres, y disminuye la de los hombres solteros. De igual forma, encuentran que la presencia de niños menores de seis años y de minusválidos en el hogar disminuye la participación laboral femenina y aumenta la masculina.
Otras variables importantes y con efectos diferenciados sobre la participación laboral son la riqueza y el estado civil. En Arango y Posada (2003); Mora (2008); Tenjo y Ribero (1998) se encuentra que la riqueza disminuye la participación laboral en mujeres y hombres no comprometidos, y en mujeres y hombres comprometidos, pero no es significativa en éste último caso. En cuanto al estado civil, Ribero y Meza (1997) encuentran que la unión libre o estar casado disminuye la participación de los hombres, en tanto que la participación laboral del cónyuge tiene un efecto positivo sobre la participación de los individuos, especialmente en las mujeres.
Siguiendo con los estudios empíricos, cabe resaltar el trabajo de López (1995), quien basado en una estimación lineal, hace un intento importante por recoger los determinantes teóricos esenciales de la tasa de participación, a saber, el trabajador alentado, desalentado, excedente y adicional. López, considerando como variable dependiente la tasa global de participación, y como explicativas a la tasa de participación del empleo, el promedio móvil de los salarios y la tasa de desempleo, encuentra que la participación laboral presenta o tiene una alta y positiva estacionalidad en el mes de marzo, y parece bastante sensible a ciertos cambios de estructura.
En este mismo grupo de estudios, pero centrándose en la participación laboral de las mujeres casadas, se encuentran los trabajos de Charry (2003) y Cruz (2008). El primer autor analiza la participación de la mujer no jefe de hogar y el efecto del servicio doméstico, por medio de un Modelo Probit para el periodo 1984:1-2002:2 con base en la Encuesta Nacional de Hogares y Encuesta Continua de Hogares. En este trabajo se encuentra que la educación, la edad, la tasa de desempleo, la riqueza, la presencia de niños menores de 6 años y de servicio doméstico tienen una incidencia positiva en la probabilidad de participar de la mujer no jefe de hogar. Por su parte, en el trabajo de Cruz (2008), se concluye que las mujeres con altos niveles educativos, ubicadas en las ciudades con un mayor PIB per cápita, presentan altas tasas de participación laboral. Así mismo, se encuentra que las mujeres que residen en ciudades con bajos niveles de desarrollo igualmente presentan altas tasas de participación, pero con bajos promedios educativos.
En cuanto al segundo grupo de trabajos, los cuales estiman modelos tipo pseudo-panel se destaca el trabajo de Arango y Posada (2007). En este trabajo se encuentra que tener niños menores de tres años, la presencia de otros miembros del hogar desempleados y la educación son determinantes positivos de la participación laboral de las mujeres casadas.
En el tercer grupo de estudios, donde se utilizan modelos tipo panel, se resalta el trabajo de Segura (2002) en el que analiza la oferta de trabajo de las parejas casadas para el mercado laboral de España. Los resultados encontrados muestran la existencia de una fuerte relación entre las decisiones laborales adoptadas por una pareja, y pone de relieve la complementariedad entre el ocio de los dos cónyuges. Se encuentra también, que las esposas de los desempleados registran tasas de participación mayores que las de la totalidad de mujeres casadas, lo que indica que el efecto del trabajador añadido prevalece sobre el efecto trabajador desanimado.
Siguiendo con otros estudios a nivel internacional, se tiene el trabajo de Browning y Meghir (1991) para el Reino Unido. Estos autores estiman un sistema de demanda condicional para siete bienes y contrastan la separabilidad de los bienes de horas de trabajo de hombres y mujeres para el periodo 19791984. Los resultados muestran una fuerte correlación entre la participación en las decisiones, la demanda de ciertos bienes y las horas de trabajo. También para el Reino Unido, Blundell y Walker (1982 y 1986) encuentran una fuerte evidencia de la relación existente entre la composición de los hogares y la oferta laboral femenina, cuando relacionan el tiempo de ocio femenino y el consumo de bienes necesarios; es decir, alta participación de las mujeres con hijos jóvenes y bajo nivel de participación de las esposas en hogares con hijos menores. Así mismo, con la estimación de la oferta laboral conjunta de los esposos, muestran que las esposas son más sensibles a los cambios del ingreso y el salario marginal, que en el caso de los hombres.
Para los Estados Unidos, Lundberg (1988) por medio de un panel de ecuaciones simultáneas de máxima verosimilitud, estima la oferta laboral conjunta de esposos y esposas. Los resultados de la autora, muestran que cuando en el hogar hay niños menores no hay interacción de decisiones de participación, las decisiones son individuales; en cambio, cuando los chicos son jóvenes las decisiones de participación de los esposos y las esposas se logran de manera conjunta. Igualmente, con datos panel, para los Estados Unidos, Hausman y Ruud (1984), a partir de un modelo Tobit bivariante analizan la decisión que toman los esposos y esposas en cuanto a participar en el mercado laboral, teniendo en cuenta los impuestos que les deducen a sus ingresos. Un resultado relevante es que el matrimonio tiene una deducción impositiva del 10%, y si la esposa participa la deducción disminuye en 3,4%, es decir, que si la esposa participa el recaudo disminuye.
De la anterior revisión de bibliografía se observa que para el caso colombiano, en el análisis de la participación laboral femenina, no se han tenido en cuenta las relaciones con su entorno familiar. En este sentido, este artículo pretende aportar evidencia de la interrelación en las decisiones de participación laboral en el núcleo familiar, analizando no sólo los efectos de las características personales y laborales de las mujeres, sino también las características observadas y no observadas de su cónyugue.
II. Modelo teórico de la participación laboral familiar
El modelo que se describe a continuación es el presentado por Ashenfelter y Heckman (1974), el cual postula la existencia de una unidad decisoria, la familia, que maximiza una función de utilidad conjunta de la forma:

Donde:
Lm: tiempo de ocio del esposo
Lf: tiempo de ocio de la esposa
X: consumo familiar de un bien compuesto.
Sujeta a la restricción de igualdad del total de gastos e ingresos

Wm: el salario del esposo
Wf: el salario de la esposa
P: precio de los bienes de consumo
Y: ingresos no laborales
T: tiempo total disponible de cada miembro por periodo.
Si Ti = Li+ hi(i = m, f)
Donde Lies el tiempo libre y hies el tiempo de trabajo en el mercado de uno de los miembros de la familia.
Entonces la ecuación (2) es equivalente a la forma:

Lo cual equivale a la igualdad del total de gastos e ingresos.
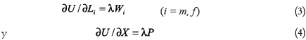
Resolviendo las condiciones de maximización de primer orden de este problema, junto con la restricción presupuestaria, y suponiendo que se cumplan las condiciones de segundo orden y que se alcance una solución interior, se obtienen que:

Donde λ, el multiplicador lagrangiano, es interpretado como la utilidad marginal de la renta para la familia. La ecuación (3) permite soluciones de esquina, esto es, de casos en los que Lies igual a Ti, al menos para algunos de los miembros i de la familia. Resolviendo el sistema de ecuaciones resultante, se obtienen las ecuaciones de demanda de ocio de los i miembros de la familia:

O lo que es lo mismo, teniendo en cuenta que hi = Ti – Li, las funciones de oferta de trabajo:

La importancia de la teoría clásica, siguiendo a Ashenfelter y Heckman, para nuestro propósito, reside fundamentalmente en el análisis de las derivadas parciales de las funciones de la oferta laboral (ecuación 6) con respecto a los salarios y los ingresos no laborales. Estas restricciones están basadas en la descomposición de Slutsky, que indica:

Siendo Sij el efecto sustitución (compensado y cruzado para i ≠ j) y el segundo término corresponde al efecto ingreso.
Se tiene primero,

Supone que un incremento compensado, mediante el ingreso en la tasa salarial de un miembro de la familia, es el resultado de un incremento en el esfuerzo laboral de dicho miembro.
Segundo, como S es simétrica, entonces:

Esto se cumple en un contexto en donde los individuos son homogéneos, sin restricciones ni distinción y no se tiene en cuenta la discriminación ni la segmentación. La unidad de análisis es la familia sin racionamiento de trabajo y ambos con capacidad de trabajar.
Por tanto, la ecuación (9) significa que un cambio compensado mediante el ingreso en la tasa salarial del esposo, tiene un efecto sobre el esfuerzo laboral de la esposa, que es igual al efecto sobre el esfuerzo laboral del esposo de un cambio en la tasa salarial de la esposa compensada mediante el ingreso. En otras palabras, si uno de los miembros de la familia obtiene mayores ingresos, se esfuerza más, entonces, el otro miembro de la familia se esfuerza menos, trabaja menos horas.
Si se supone que la oferta de trabajo de cada uno de los miembros se reduce cuando se da un aumento del ingreso exógeno familiar y se combina esta condición con la de no negatividad del efecto sustitución propio, y además que los efectos sustitución cruzados deben ser iguales y debe cumplirse que:

Se llega a la conclusión de que δhi/δWi, pueden tener cualquier signo, igual que ocurre con el modelo de oferta individual.
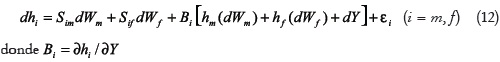
Finalmente, siendo p el precio de los bienes de consumo como se mencionó, si se asume que dp = 0, entonces la derivada total de la función de oferta de trabajo de uno de ellos es:

Sustituyendo la expresión correspondiente a la descomposición de Slutsky (ecuación 7) y adicionando el término de error, ei, se tiene:

Esta ecuación resume las fuentes de variación de las horas ofrecidas de trabajo del núcleo familiar (mujeres y hombres casados, para nuestro caso), las cuales dependen de los salarios de cada unos de los individuos, los cuales son afectados por las características propias y elementos inobservables que pueden ser comunes. La especificación empírica seleccionada para la ecuación (12) se discute en la sección cuatro.
III. Datos y análisis descriptivo
Los datos utilizados para el análisis se toman de la Encuesta Continua de Hogares del segundo trimestre del año 2006, para las 13 principales áreas metropolitanas de Colombia. Del total de 109.077 individuos encuestados se seleccionan las mujeres en edad de trabajar casadas y en unión libre (de ahora en adelante casadas), que son jefes o cónyuges (Tabla 1) y que viven con su esposo.
Las mujeres casadas en edad de trabajar son 17.206, de las cuales 16.873 viven con el esposo (muestra objetivo de este trabajo). La mayoría de estas mujeres casadas son cónyuges (92,5%), el 54,5% participan en el mercado laboral, tienen una tasa de desempleo de 14,4%, con un promedio de edad de 42 años y no alcanzan la secundaria completa. Dichas mujeres están casadas con hombres que en promedio tienen 47 años, no superan los diez años de educación, tienen una tasa de participación laboral de 85,5%, con un nivel de desempleo de 6,1% y son principalmente jefes de hogar.
En lo que sigue de esta sección, se hará una descripción de la población objetivo con mayor énfasis en la participación laboral. Estas cifras se han expandido según los factores que ofrece la Encuesta Continua de Hogares, por lo que hay algunas diferencias con la información reportada en la Tabla 1.
En el Gráfico 1 se muestran las tasas de participación para Colombia, desagregadas por mujer y hombre, y mujeres y hombres casados para el año 2006. Se observa que las mujeres colombianas tienen un menor nivel de participación laboral que los hombres, con una diferencia de 17 puntos porcentuales. En cuanto a la participación de las mujeres casadas, se observa que ésta es de 56%, levemente superior a la participación laboral femenina, mientras que los esposos presentan una elevada tasa de participación, 85%. Estas altas participaciones laborales de la pareja se deben a las mayores responsabilidades por aportar ingresos en el hogar y a la diferencia en los roles dentro del hogar, tal como lo analizan Ribero y Meza (1997).
En la relación de la tasa de participación laboral y la edad (Gráfico 2), se observa que dichas tasas son más altas en edades jóvenes y menores en edades de jubilación, cumpliendose la teoría del ciclo vital (Arango y Posada, 2007; Ribero y Meza, 1997). Se observa también que las tasas de participación son más altas para las mujeres solteras que para las casadas, aunque la diferencia va disminuyendo con la edad. Esta discrepancia puede deberse a las mayores responsabilidades familiares que debe asumir la mujer en el hogar. Por el contrario, el hombre casado presenta mayores tasas de participación laboral que el hombre soltero, lo cual puede ser indicio de las responsabilidades económicas que asume el hombre en el hogar.
Respecto a la educación, se tiene que la participación de la pareja en el mercado de trabajo aumenta con el nivel educativo, y la brecha en la participación laboral se va cerrando a mayor educación (Gráfico 3).
En el Gráfico 4 se muestran los porcentajes de participación laboral de la pareja en presencia de hijos menores de 6 años y entre 6 y 14 años. Se observa que cuando la pareja tiene hijos, la mujer presenta una menor participación laboral que el cónyuge, indicando posiblemente que las mujeres se ausentan del mercado laboral para dedicarse al cuidado de los hijos. Este efecto es consistentemente encontrado en otros estudios, véase por ejemplo Ribero y Meza (1997); Santamaría y Rojas (2001); Tenjo y Ribero (1998).
La distribución de los porcentajes de participación laboral para las mujeres casadas y los cónyuges (Gráfico 5), muestra para las primeras una relación positiva entre mayor riqueza y participación laboral: las mujeres casadas más pobres (quintil 1) tienen una tasa de participación de 46%, mientras que las de ingresos altos (quintil 5) tienen una tasa de participación de 64%. Este resultado puede estar indicando que la mayor capacidad de recursos en los hogares de más altos ingresos permite que las mujeres participen en el mercado laboral con mayor facilidad que en los hogares más pobres. Dichas facilidades están asociadas, por ejemplo, a la posibilidad de contratar servicio doméstico o niñeras que hagan las labores en el hogar y cuidado de los hijos. Como muestra Charry (2003), existe un efecto positivo en la participación laboral de la mujer cuando en el hogar hay servicio doméstico.
Por otro lado, se observa que la participación de los cónyuges varones disminuye con el nivel de riqueza (Gráfico 5), lo que evidencia que en los hogares de más altos ingresos (quintiles 4 y 5) existe una menor presión por ingresos sobre el esposo, cosa contraria en los hogares más pobres (quintiles 1 y 2), donde el cónyuge varón es el perceptor principal de ingresos y, por tanto, el que sostiene económicamente el hogar.
De lo anterior se puede concluir que la participación laboral de las mujeres casadas es menor que las de sus esposos, pero la brecha en dicha participación se va cerrando en los niveles altos de educación y en los hogares con mayores niveles de ingreso.
IV. Determinantes de la participación laboral de la mujer casada y su cónyuge
La especificación empírica propuesta aquí sigue de cerca a la de Segura (2002). En este sentido, la ecuación (12) de la sección dos, además de mostrar la relación que existe entre las horas de trabajo ofertadas por el marido y su esposa, también muestra la interdependencia en las decisiones de participar en el mercado laboral.
Es decir, que la alternativa que se opta es estimar un modelo de participación laboral que tenga en cuenta tal interdependencia en las decisiones en el núcleo familiar, que también son observadas en la oferta de horas trabajadas. Podría pensarse en estimar la ecuación de horas de trabajo a partir de un modelo de selección, teniendo en cuenta las probabilidades del modelo de participación interdependiente y completar el esquema. Sin embargo, dado que este trabajo intenta modelar las relaciones que existen en las decisiones de participar de una pareja casada, sólo nos quedamos en la primera etapa.
Para modelar las decisiones de participación laboral, se sigue el esquema común de comparar el salario de mercado (W) y el salario de reserva (Wr), de manera que un individuo formará parte de la población activa si el primero es mayor que el segundo. El salario de reserva de cualquier persona depende de sus características personales, y de ciertos aspectos inobservables, ν. Expresando Wr como una función lineal de las variables anteriores, como suele hacerse en la literatura, se tiene:

entonces, la probabilidad de que una persona desee trabajar puede escribirse como:

donde Z es el conjunto de variables observables mencionadas, β es el vector de parámetros a estimar y e es un término de perturbación, que recoge las características inobservables que afectan la decisión de participar.
A partir de lo anterior y dado que se intenta estimar las decisiones de participación simultanea entre el marido y su esposa, el modelo en forma reducida queda de la forma:

donde f: esposa y m: esposo con la siguiente regla de observabilidad:

donde Zf y Zm contiene el conjunto de características personales de los integrantes de la unidad familiar considerada, que pueden ser comunes entre las ecuaciones; εf y εm son perturbaciones aleatorias que recogen los efectos inobservables. Si se supone que dichas perturbaciones siguen distribuciones normales estándar independientes, los vectores de parámetros βf y βm pueden estimarse de un modo consistente y eficiente por separado mediante dos probits univariantes. Sin embargo, igual que hay elementos comunes entre los regresores observables de ambas ecuaciones, cabe pensar que los elementos inobservables que afectan la decisión de participar del marido y su esposa pueden estar correlacionados. Si esto es así, los parámetros de las ecuaciones serían ineficientes (Zellner y Huang, 1962).
Para tener en cuenta la posible correlación entre las características inobservables en las decisiones de participar en el mercado laboral de la unidad familiar, se estima un Modelo Probit Bivariado o Biprobit. Este modelo permite, a partir de un sistema de dos ecuaciones con variables dependientes binomiales, estimar probabilidades de forma conjunta, teniendo en cuenta la posibilidad de que los términos de perturbación aleatoria estén correlacionados (Cameron y Trivedi, 2005; Greene, 2003 y Wooldridge, 2002). Esta correlación en los términos de perturbación permite modelar decisiones que impliquen entornos comunes, como es el caso de la participación laboral de la mujer o del hombre, que al estar casados se encuentran en un mismo entorno familiar.
Se supone, entonces, que la función de distribución conjunta de los términos de perturbación de las ecuaciones de participación laboral de la mujer casada y su esposo, sigue una distribución norma bivariante con media cero, varianza unitaria y covarianza nula. Bajo esta estructura la función de verosimilitud a ser maximizada será:

donde Φ2 es la función de distribución normal bivariante; q1 = 1 si D1 = 1 y q1 = –1 si D1 = 0 para l = f, m; y ρ es el coeficiente de correlación entre los términos de perturbación. Sobre este último coeficiente, se tiene que bajo la hipótesis nula de que ρ = 0, el modelo consiste de dos ecuaciones probits univariantes. Si esta hipótesis es rechazada, el Modelo Biprobit es más apropiado.
Ya que la muestra utilizada para la estimación corresponde sólo a las mujeres casadas, se puede incurrir en sesgo de selección (Heckman, 1974). Para evitar sesgos en las estimaciones, dado el potencial problema de selección muestral, se utiliza un Modelo Probit de que la mujer se encuentre casada como ecuación de selección y se hace la correspondiente corrección. La estimación del Probit Bivariante sujeto a selección muestral se hace utilizando el estimador máximo verosímil de información completa1.
En la Tabla 2 se hace una descripción de las variables utilizadas en el análisis de regresión. Las estimaciones del Modelo Biprobit corregido por sesgo de selección se muestran en la Tabla 3. Asimismo, se muestran los resultados de la ecuación de selección y los efectos marginales en las Tablas 1 y 2 del Anexo, respectivamente.
Las estimaciones conjuntas de la probabilidad de participación laboral muestran los signos esperados y significancia estadística. La prueba de hipótesis de que el es igual a cero se rechaza, mostrando que el Modelo Biprobit es más adecuado que las estimaciones de las ecuaciones por separado. Se tiene también que la hipótesis de no significancia conjunta de las estimaciones es rechazada, mostrando la validez conjunta del Modelo. Por último, se ha encontrado que los porcentajes de predicciones correctas que hace el Modelo (Tabla 2 del Anexo) son altas: el modelo predice correctamente la participación de la mujer el 66% de los casos; y respecto a la participación laboral del cónyuge, se tiene un porcentaje de predicción correcta de 90%. En cuanto a la ecuación de selección (Tabla 1 del anexo), se observa una significancia estadística en el coeficiente, lo que indica la necesidad hacer corrección en la ecuación de participación laboral de la mujer casada.
Analizando las estimaciones de la Tabla 3, se observa que un mayor nivel educativo de la mujer casada incrementa la probabilidad de participar de dicha mujer y disminuye la probabilidad de participar del cónyuge. Por su parte, un mayor nivel educativo del varón cónyuge incrementa su propia probabilidad de participar y disminuye la probabilidad de su cónyuge. Este efecto de la educación muestra que un mayor nivel educativo de la mujer (hombre) implica mayores remuneraciones, siendo los ingresos masculinos (femeninos) menos necesarios en el hogar. Estos resultados son consistentes con los encontrados por Arango y Posada (2007) y Charry (2003) en la década de los ochenta, noventa y principios del 2000.
En cuanto al efecto de las variables de edad, se observa un efecto positivo y decreciente en la probabilidad de participación laboral de la mujer casada. Por su parte, la edad del cónyuge presenta un efecto negativo sobre esta última probabilidad, lo que indica que a más edad del esposo la mujer tiende a participar menos. Esto último muestra que la estabilidad económica que logran los hombres en edades mayores afecta negativamente la decisión de participar de la esposa.
En las variables de presencia de hijos en el hogar, se observa que los hijos menores no ejercen ningún efecto sobre la probabilidad de participar en el mercado laboral de la pareja, mientras que los hijos en edades escolares si ejercen un importante efecto positivo sobre dicha probabilidad. Se nota que el efecto es mucho mayor para el esposo que para la mujer, quizás el primero tenga una mayor presión por asumir los costos escolares de los hijos y, por tanto, la necesidad de trabajar.
Respecto a la variable número de desempleados en el hogar, se observa un efecto positivo y significativo en la probabilidad de participar de la pareja, con un mayor efecto en la probabilidad de la mujer. Esto indica que existe una mayor presión sobre la decisión de emplearse en la mujer, de tal forma que se puedan compensar las pérdidas de ingresos por individuos desempleados en el hogar. Este efecto es comúnmente llamado efecto trabajador adicional (Santamaría y Rojas, 2001; Segura, 2002; Tenjo y Ribero, 1998).
En cuanto a las variables regionales, se observa que la tasa de desempleo regional, que trata de recoger efectos de la demanda de trabajo (Martínez-Granado, 2001), sólo resultó estadísticamente significativa en la probabilidad de participar de la mujer. El efecto positivo de esta variable muestra que en regiones con altas tasas de desempleo, las mujeres casadas se ven obligadas a emplearse para compensar la caída de los ingresos en el hogar.
Respecto a la variable ingreso laboral regional, se observa que presenta un efecto positivo sobre la probabilidad de participar de la mujer casada y negativo para el esposo. Estos efectos contrarios muestran que la mujer casada tiene mayores incentivos de participar en mercados laborales con mayores remuneraciones que su esposo. Esto puede indicar que las ciudades con mayores ingresos laborales igualmente remuneran mejor a las mujeres casadas, con lo cual los ingresos del esposo son menos necesarios en el hogar y, por tanto, desincentiva la participación laboral de éste. Esta hipótesis se intenta corroborar a nivel macro en Cruz (2008), pero valdría la pena profundizar más en ella a nivel micro.
Una forma de cuantificar los efectos antes descritos son los efectos marginales. En la Tabla 2 del anexo se presentan todos los efectos marginales que resultan del modelo, tomando el promedio de las variables. Otra forma, más informativa en términos cuantitativos, consiste en predecir la probabilidad de participación para una mujer y un cónyuge de referencia y ver cómo varía dicha probabilidad ante cambios en las variables explicativas. En la Tabla 4 aparece recogido el anterior ejercicio. En dicha tabla se puede apreciar que la probabilidad de participar en el mercado laboral de la mujer disminuye en un 3% si en el hogar hay hijos en edad preescolar, mientras que aumenta en casi 8% con hijos en edad escolar. Se tiene también que cuando la mujer tiene educación universitaria, en comparación a tener educación primaria, la probabilidad de participar aumenta en un 39%, mientras que en el cónyuge los cambios en los niveles educativos no generan grandes impactos sobre la probabilidad de participar. Al parecer la educación es un determinante más importante para la mujer que para el cónyuge.
En cuanto a variaciones en la variable edad, se nota que la probabilidad de participar de una mujer de 50 años, con las mismas características de una mujer de 40 años, se reduce en cerca de 14%, mientras que la probabilidad de participar del cónyuge sólo se reduce en 2%. Respecto al número de desempleados en el hogar, se nota que cuando hay dos desempleados la probabilidad de participar de la mujer aumenta en 50%, mostrando que en las mujeres recae la mayor responsabilidad en captar ingresos adicionales cuando hay desempleados en el hogar. Por último, se observa a nivel regional que en Ibagué se genera el mayor efecto positivo en la probabilidad de participar, siendo el aumento en dicha probabilidad de 14%.
Conclusiones
En este trabajo se han analizado los determinantes de la participación laboral de las parejas casadas (casadas o en unión libre) bajo las restricciones de pertenecer a un mismo grupo familiar. Este análisis se realiza con los datos de la Encuesta Continua de Hogares del DANE para el segundo trimestre del 2006, para las trece principales áreas metropolitanas de Colombia, por medio de un modelo Probit Bivariado o Biprobit.
El análisis descriptivo muestra que las mujeres casadas tienen una tasa de participación laboral de 56%, levemente superior a las tasa de participación laboral femenina global, mientras que sus cónyuges presentan una elevada tasa de participación, 85%. Estas altas participaciones laborales de la pareja se deben a las mayores responsabilidades por aportar ingresos en el hogar, y la diferencia en las tasas de participación en la pareja puede deberse a la diferencia en los roles dentro del hogar.
En cuanto a las diferencias en participación laboral por sexo, se ha encontrado que la participación de las mujeres casadas es menor que las de sus cónyuges, pero la brecha en dicha participación es menor en los niveles altos de educación y en los hogares de mayores ingresos.
Por su parte, las estimaciones econométricas corroboran la existencia de interdependencia en las decisiones de participar en el mercado laboral de la mujer y su cónyuge. Existen, por tanto, efectos tanto observables como inobservables que afectan dicha decisión, y es necesario tenerlos en cuenta para lograr predicciones más precisas.
Entre los resultados se tiene que un mayor nivel educativo de la mujer casada incrementa los niveles de participación laboral de dicha mujer y disminuye la participación del esposo. Por otro lado, un mayor nivel educativo del esposo incrementa su propia probabilidad de participar y disminuye la de su cónyuge. Los efectos negativos sobre la participación laboral pueden estar relacionados con un efecto renta: un mayor nivel educativo de la mujer (hombre) implica mayores remuneraciones, siendo los ingresos masculinos (femeninos) menos necesarios en el hogar.
En cuanto al efecto de las variables de edad se observa un efecto positivo, pero decreciente en la probabilidad de participar de la mujer casada, corroborando la hipótesis del ciclo vital. Por su parte, la edad del cónyuge genera un efecto negativo en la probabilidad de participar en el mercado laboral de la mujer, lo cual puede mostrar que la estabilidad económica que logran los hombres en edades mayores afecta negativamente la decisión de participar de la esposa.
La presencia de hijos en edades preescolares no ejercen ningún efecto en la probabilidad de participación laboral de la pareja, caso contrario a los hijos mayores, los cuales al estar en edades escolares demandan mayor dinero para su sostenimiento, con lo cual la pareja presenta una mayor presión para emplearse, sobre todo para el hombre.
Del lado de las variables que intentan recoger efectos demanda, se ha encontrado que en regiones con altas tasas de desempleo las mujeres casadas se ven obligadas a emplearse para compensar la caída de los ingresos en el hogar. De igual forma, en ciudades con mayores remuneraciones laborales, existen más incentivos para que las mujeres participen en el mercado laboral. Por su parte, en la probabilidad de participación laboral del cónyuge varón, la primera variable no es un determinante importante mientras que la segunda presenta un efecto negativo, lo cual puede deberse a que en ciudades con mayores ingresos labores las cónyuges sean mejor remuneradas, de tal forma que los ingresos del esposo sean menos necesarios en el hogar y, por tanto, desincentiva la participación laboral de éste. Esta hipótesis podría ser corroborada con más precisión en futuras investigaciones.
En el análisis de los cambios en probabilidad, se ha obtenido que la probabilidad de participar de la mujer casada aumenta en un 39%, si en lugar de tener educación primaria tiene educación universitaria, mientras que en el cónyuge se notan leves reducciones en la probabilidad de participar. Esto muestra que la educación es un factor importante para aumentar el grado de inserción de la mujer en el mercado laboral y es un mecanismo para disminuir las brechas por sexo que existen.
Bibliografía
1. Arango, Luis Eduardo y Posada, Carlos (2003). ''La participación laboral en Colombia'', Borradores de Economía, No. 217, pp. 1-26.
2. Arango, Luis Eduardo and Posada, Carlos (2007). ''Labor Participation of Married Women in Colombia'', Revista Desarrollo y Sociedad, No. 60, pp. 93-126.
3. Ashenfelter, Orley and Heckman, James (1974). ''The Estimation of Income and Substitution Effects in a Model of Family Labor Supply'', Econometrica, Vol. 42, No. 1, pp. 3-85.
4. Becker, Gary (1987). Tratado sobre la familia. Madrid, Alianza.
5. Blundell, Richard; Ham, John and Meghir, Costas (1998). ''Unemployment, Discouraged Workers and Female Labour Supply'', Research in Economics, Vol. 52, No. 2, pp. 103-131.
6. Blundell, Richard and Walker, Ian (1982). ''Modelling the Joint Determination of Household Labour Supply and Commodity Demands'', Economic Journal, Vol. 92, No. 366, pp. 351-364.
7. Blundell, Richard and Walker, Ian (1986). ''A Life-Cycle Consitent Empirical Model of Family Labour Supply Ussing Cross-Section Data'', The Review of Economics Studies, Vol. 53, No. 4, pp. 539-558.
8. Browning, Martin y Meghir, Costas (1991). ''The Effects of Male and Female Labor Supply on Commodity Demands'', Econometrica, Vol. 59, No. 4, pp. 925-951.
9. Cameron, Colin and Trivedi, Pravin (2005). Microeconometrics: Methods and Applications, New York, Cambridge University Press.
10. Charry, Alejandro (2003). ''La participación laboral de las mujeres no jefes de hogar en Colombia y el efecto del servicio doméstico'', Borradores de Economía, No. 262, pp. 1-41.
11. Cruz Aparicio, Jenny Lorena (2008). Desarrollo económico y participación laboral de las mujeres casadas-unidas en Colombia (2006), Tesis para optar el título de Economista, Departamento de Economía, Universidad del Valle, Cali, Colombia.
12. DANE. Encuesta Continua de Hogares 2006.
13. Greene, William (2003). Econometric Análisis, New Jersey, Ed. Prentice Hall.
14. Hausman, Jerry and Ruud, Paul (1984). ''Family Labour Supply with Taxes'', American Economic Review, Vol. 74, No. 2, pp. 242-248.
15. Heckman, James (1974). ''Effects of Child-Care Programs on Women's Work Effort'', Journal of Political Economy, Vol. 82, No. 2, pp.136-163. Reprinted in T.W. Schultz (ed.), Economics of the Family: Marriage, Children, and Human Capital, [online] http://www.nber.org/chapters/c2976.pdf.
16. L ópez, Hugo (1995). ''Participación laboral y desempleo en las cuatro principales ciudades: un modelo econométrico''. En: López, Hugo (1996), Ensayos sobre Economía Laboral Colombiana, FONADE y Carlos Valencia Editores. pp. 36-44.
17. L ópez, Hugo (2001). ''Características y determinantes de la oferta laboral colombiana y su relación con la dinámica del desempleo'', Seminario sobre aspectos teóricos y experiencias internacionales en materia de empleo y desempleo, Banco de la República, Bogotá, Colombia.
18. Lundberg, Shelly (1988). ''Labor Supply of Husbands and Wives: A Simultaneous Equations Approach'', The Review of Economics and Statistics, Vol. 70, No. 2, pp. 224-235.
19. Martínez-Granado, Maite (2001). ''Oferta de trabajo femenina en España: un modelo empírico aplicado a mujeres casadas'', Cuadernos Económicos de I.C.E., No. 66, pp. 129-152.
20. Mincer, Jacob (1962). ''Labor-Force Participation of Married Women: A Study Labor Supply''. In: H. Gregg Lewis (ed.), Aspects of Labor Economics. Princeton, NJ: Princeton University Press, pp. 3-35
21. Mora, John James (2008). ''La relación entre la participación laboral y las remesas en Colombia'', Borradores de Economía y Finanzas, No. 17. pp. 1-23
22. Ribero, Rocío y García, Carmen (1996). ''Estadísticas descriptivas del mercado laboral masculino y femenino en Colombia: 1976-1995'', Archivos de Macroeconomía, No. 48, DNP, Colombia, pp. 1-38.
23. Ribero, Rocío y Meza, Claudia (1997). ''Determinantes de la participación laboral de los hombres y mujeres en Colombia: 1976-1995'', Archivos de Macroeconomía No. 63, DNP, Colombia, pp. 1-30.
24. Roodman, David (2009). ''Estimating Fully Observed Recursive Mixed-Process Models with CMP'', Working Paper, No. 168, Center for Global Development, Washington, DC.
25. Santamaría, Mauricio y Rojas, Norberto (2001). ''La participación laboral: ¿Qué ha pasado y qué podemos esperar?'', Archivos de Macroeconomía, No. 146, DNP, Bogotá, Colombia, pp. 1-23.
26. Segura, Marta (2002). ''Comportamiento (condicionado) de las parejas casadas en materia laboral: una evidencia para el caso español'', Cuadernos Económicos de ICE, No. 66, pp. 153-181.
27. Tenjo, Jaime y Ribero, Rocío (1998). ''Participación, desempleo y mercados laborales en Colombia'', Archivos de Macroeconomía, No. 81, DNP, Bogotá, Colombia, pp. 1-52.
28. Wooldridge, Jeffrey M. (2002). Econometric Analysis of Ccross-Section and Panel Data, Cambridge, The MIT Press.
29. Velez, Eduardo and Winter, Carolin (1992). ''Women's Labor Force Participation and Earnings in Colombia'', In: Psacharopolous, George and Tzannatos, Zafiris (Eds), Women Employment and Payin Latin America, Report 10 (Vol. II), Washington, D.C., World Bank.
30. Zellner, Arnold and Huang, David (1962). ''Further Properties of Efficient Estimators for Seemingly Unrelated Regression Equations'', International Economic Review, Vol. 3, No. 3, pp. 300-313.
ANEXOS
NOTAS
1 Se utilizó el paquete cmp de Stata para hacer la estimación (Roodman, 2009).