Educación y salud: evidencia de efectos umbral en el crecimiento económico
DOI:
https://doi.org/10.17533/udea.le.n94a342459Palabras clave:
educación, salud, crecimiento, efectos umbral, datos de panelResumen
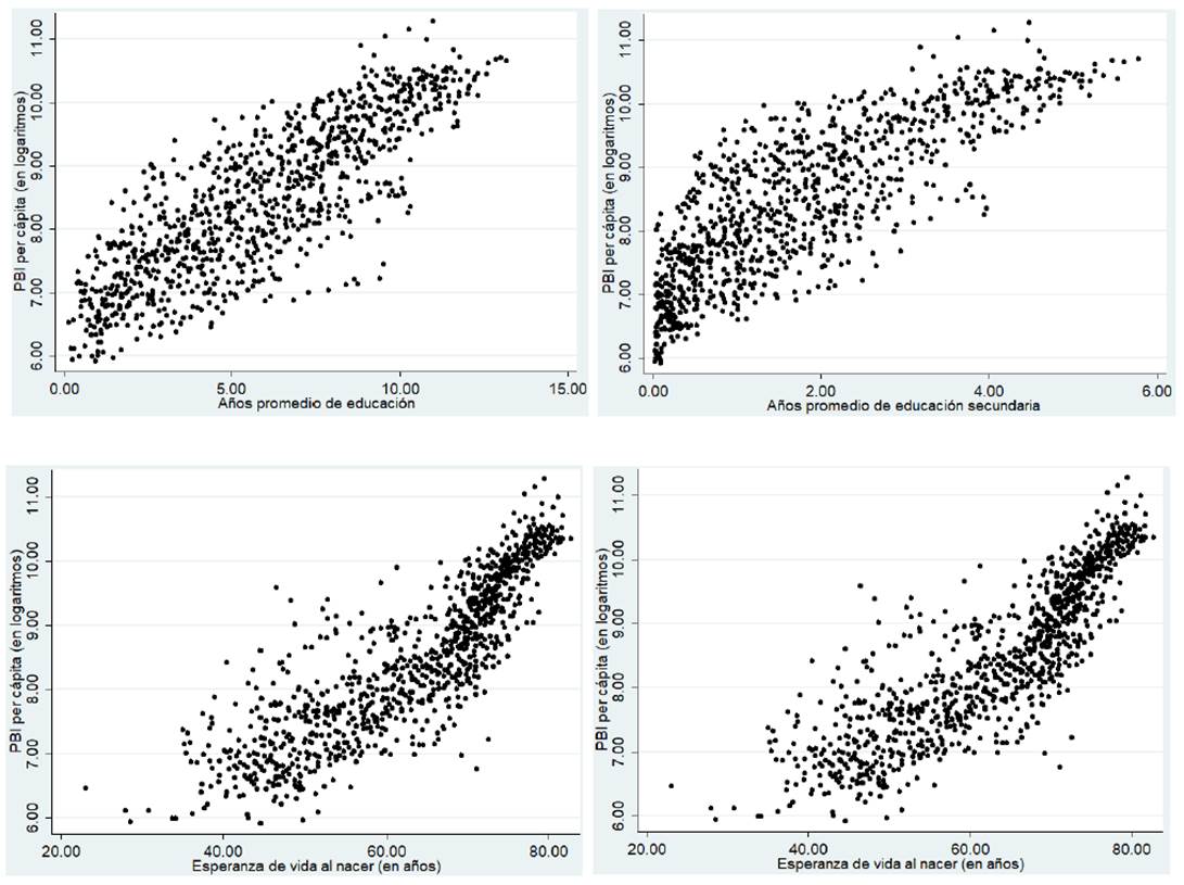
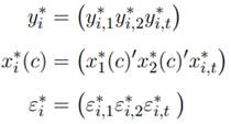
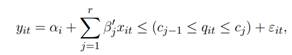
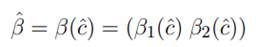
Este trabajo analiza el efecto de la educación y la salud sobre el crecimiento económico mediante una metodología de regresión con efectos umbral para un panel de 86 países en el período 1960-2010. En concordancia con la literatura de no linealidades, el estudio verifica la existencia de dos umbrales de ingreso a partir de los cuales la salud y la educación afectan al crecimiento económico de forma diferente. Si bien la magnitud del efecto de la salud sobre el crecimiento varía, la relación entre ambas variables es siempre positiva. La educación, por su parte, sólo muestra una relación positiva con el crecimiento a partir del segundo umbral de ingresos. La intuición es que una población más saludable implica un mejor desempeño económico, independientemente del nivel de desarrollo. En cambio, un mayor nivel educativo tendrá efectos favorables a partir de un nivel mínimo de ingreso compatible con un stock mínimo de capital físico.
Descargas
Citas
Abiad, A., Furceri, D. & Topalova, P. (2015). The Macroeconomic Effects of Public Investment: Evidence from Advanced Economies. IMF Working Paper No. 15/95. International Monetary Fund. https://ideas.repec.org/p/imf/imfwpa/15-95.html
Acemoglu, D. (1997). Training and innovation in an imperfect labour market. The Review of Economic Studies, 64(3), 445-464. https://doi.org/10.2307/2971723
uerbach, A. J. & Gorodnichenko, Y. (2013). Fiscal Multipliers in Recession and Expansion, en A. Alesina y F. Giavazzi Eds., Fiscal Policy After the Financial Crisis, National Bureau of Economic Research Inc.
Azariadis, C. & Drazen, A. (1990). Threshold Externalities in Economic Development. The Quarterly Journal of Economics, 105(2), 501-526. https://doi.org/10.2307/2937797
Azariadis, C. & Stachurski, J. (2005). Poverty traps. Handbook of economic growth, 1, 295-384. https://doi.org/10.1016/S1574-0684(05)01005-1
Barro, R. J. (1991). Economic Growth in a Cross Section of Countries. The Quarterly Journal of Economics, 106(2), 407–443. https://doi.org/10.2307/2937943
Barro, R. J. (1996). Determinants of economic growth: A cross-country empirical study. National Bureau of Economic Research, No. w5698. https://doi.org/10.2307/2937943
Barro, R. J. & Sala-i-Martin, X. (2004). Economic Growth. MIT Press.
Barro, R. J. & Lee, J. W. (2013). A New Data Set of Educational Attainment in the World, 1950-2010. Journal of Development Economics, 104, 184-198. https://doi.org/10.1016/j.jdeveco.2012.10.001
Bartel, A. P. & Lichtenberg, F. R. (1987). The comparative advantage of educated workers in implementing new technology. The Review of Economics and statistics, 69(1), 1-11. https://www.jstor.org/stable/1937894
Becker, G. S. (2007). Health as human capital: synthesis and extensions. Oxford Economic Papers, 59(3), 379-410. https://doi.org/10.1093/oep/gpm020
Bose, N., Haque, M. E. & Osborn, D. R. (2007). Public expenditure and economic growth: A disaggregated analysis for developing countries. The Manchester School, 75(5), 533-556. https://doi.org/10.1111/j.1467-9957.2007.01028.x
Bowles, S., Durlauf, S. N. y Hoff, K. (Eds.). (2016). Poverty traps. Princeton University Press.
Bucci, A., Prettner, K. & Prskawetz, A. (2019). Human Capital and Economic Growth. Springer. https://doi.org/10.1007/978-3-030-21599-6
Dabús, C. & Laumann, Y. (2006). Determinantes del Crecimiento: Evidencia Comparada de Países con Diferente Nivel de Desarrollo. Estudios de Economía Aplicada, 24(1), 165-180. https://www.redalyc.org/articulo.oa?id=30113179007
Delgado, M. S., Henderson, D. J. & Parmeter, C. F. (2014). Does education matter for economic growth? Oxford Bulletin of Economics and Statistics, 76(3), 334-359. https://doi.org/10.1111/obes.12025
Durlauf, S. N. & Johnson, P. A. (1995). Multiple regimes and cross-country growth behavior. Journal of Applied Econometrics, 10, 365–384. https://doi.org/10.1002/jae.3950100404
Durlauf, S. N., Johnson, P. A. & Temple, J. R. (2005). Growth econometrics. Handbook of Economic Growth, 1(A), 555-677. https://doi.org/10.1016/S1574-0684(05)01008-7
Durlauf, S. N., Kourtellos, A. & Minkin, A. (2001). The local Solow growth model. European Economic Review, 45(4-6), 928-940. https://doi.org/10.1016/S0014-2921(01)00120-9
Feenstra R., Inklaar, R. & Timmer, M. (2015). The Next Generation of the Penn World Table. American Economic Review, 105(10), 3150-3182. https://doi.org/10.15141/S50T0R
Fournier, J. M. (2016). The Positive Effect of Public Investment on Potential Growth. OECD Economic Department Working Papers No. 1347, OECD Publishing. https://doi.org/10.1787/15e400d4-en
Gemmell, N., Kneller, R. & Sanz, I. (2011). The timing and persistence of fiscal policy impacts on growth: evidence from OECD countries. The Economic Journal, 121(550), F33-F58. https://doi.org/10.1111/j.1468-0297.2010.02414.x
Griliches, Z. (1969). Capital-skill complementarity. The review of Economics and Statistics, 51(4), 465-468. https://www.jstor.org/stable/1926439
Hansen, B. E. (1999). Threshold effects in non-dynamic panels, Estimation, testing and inference. Journal of Econometrics, 93(2), 345-368. https://doi.org/10.1016/S0304-4076(99)00025-1
Hansen, B. E. (2000). Sample splitting and threshold estimation. Econometrica, 68(3), 575-603. https://doi.org/10.1111/1468-0262.00124
Henderson D. J., Papageorgiou, C. & Parmeter, C. F. (2012). Growth empirics without parameters. The Economic Journal, 122(559), 125-154. https://doi.org/10.1111/j.1468-0297.2011.02460.x
Johnson, P. & Papageorgiou, C. (2020). What Remains of Cross-Country Convergence? Journal of Economic Literature, 58(1), 129-75. 10.1257/jel.20181207
Kalaitzidakis, P., Mamuneas, T. P., Savvides, A. & Stengos, T. (2001). Measures of Human Capital and Nonlinearities in Economic Growth. Journal of Economic Growth, 6, 229-254. https://doi.org/10.1023/A:1011347816503
Kourtellos, A. (2011). Chapter 13: Modeling Parameter Heterogeneity in Cross-Country Regression Models, en O. La Grandville (Ed.), Economic Growth and Development (Frontiers of Economics and Globalization, Vol. 11), Emerald Group Publishing Limited, Bingley. https://doi.org/10.1108/S1574-8715(2011)0000011018
Kourtzidis, S., Tzeremes, P. & Tzeremes, N. G. (2019). Conditional time-dependent nonparametric estimators with an application to healthcare production function. Journal of Applied Statistics, 46(13), 2481-2490. https://doi.org/10.1080/02664763.2019.1588234
Levine R. & Renelt, D. (1992). A Sensitivity Analysis of Cross-Country Growth Regressions. American Economic Review, 82(4), 942-963. https://www.jstor.org/stable/2117352
Liu, Z. & Stengos, T. (1999). Non-linearities in cross country growth regressions: a semiparametric approach. Journal of Applied Econometrics, 14, 527–538. https://doi.org/10.1002/(SICI)1099-1255(199909/10)14:5<527::AID-JAE528>3.0.CO;2-X
Lucas, R. E. (1988). On the Mechanics of Economic Development. Journal of Monetary Economics, 22(1), 3-42. https://doi.org/10.1016/0304-3932(88)90168-7
Maasoumi, E., Racine, J. & Stengos, T. (2007). Growth and convergence: A profile of distribution dynamics and mobility. Journal of Econometrics, 136(2), 483-508. https://doi.org/10.1016/j.jeconom.2005.11.012
Mamuneas, T. P., Savvides, A. & Stengos, T. (2006). Economic Development and the Return to Human Capital: A Smooth Coefficient Semiparametric Approach. Journal of Applied Econometrics, 21, 111–132. https://doi.org/10.1002/jae.813
Mankiw, N. G., Romer, D. & Weil, N. D. (1992). A Contribution to the Empirics of Economic Growth. The Quarterly Journal of Economics, 107(2), 407-437. https://doi.org/10.2307/2118477
Masanjala, W. H. & Papageorgiou, C. (2004). The Solow model with CES technology: nonlinearities and parameter heterogeneity. Journal of Applied Econometrics, 19(2), 171-201. https://doi.org/10.1002/jae.722
Nafukho, F. M., Hairston, N. & Brooks, K. (2004). Human capital theory: Implications for human resource development. Human Resource Development International, 7(4), 545-551. https://doi.org/10.1080/1367886042000299843
Peiró‐Palomino, J. (2016). Social capital and economic growth in Europe: Nonlinear trends and heterogeneous regional effects. Oxford Bulletin of Economics and Statistics, 78(5), 717-751. https://doi.org/10.1111/obes.12131
Pritchett, L. (1999). Where has all the education gone? Policy Research Working Paper. The World Bank. https://doi.org/10.1596/1813-9450-1581.
Rojas, M. L. (2012). Capital humano y cambios en la estructura productiva: análisis teórico en un modelo de crecimiento. Papeles de población, 18(71), 187-212. http://www.scielo.org.mx/pdf/pp/v18n71/v18n71a7.pdf
Rojas, M. L., Monterubbianesi, P. D. & Dabús, C. (2019). No linealidades y efectos umbral en la relación capital humano-crecimiento económico. Cuadernos de Economía, 38(77), 425-459. https://doi.org/10.15446/cuad.econ.v38n77.67984.
Romer, P. M. (1990). Human Capital and Growth: Theory and Evidence. Carnegie-Rochester Conference Series on Public Policy, 32(1), 251-286. https://doi.org/10.1016/0167-2231(90)90028-J
Sanso‐Navarro, M. & Vera‐Cabello, M. (2015). Non‐linearities in regional growth: A non‐parametric approach. Papers in Regional Science, 94(S1), S19-S38. https://doi.org/10.1111/pirs.12112
Schultz, T. W. (1961). Investment in human capital. The American Economic Review, 51(1), 1-17. https://www.jstor.org/stable/1818907
Seo, M. H. & Shin, Y. (2016). Dynamic panels with threshold effect and endogeneity. Journal of Econometrics, 195(2), 169-186. https://doi.org/10.1016/j.jeconom.2016.03.005
Sunde, U. & Vischer, T. (2015). Human capital and growth: Specification matters. Economica, 82(326), 368-390. https://doi.org/10.1111/ecca.12116
Temple, J. R. (2001). Generalizations that aren't? Evidence on education and growth. European Economic Review, 45(4-6), 905-918. https://doi.org/10.1016/S0014-2921(01)00116-7
UNData. (2019). United Nations Statistics Division. http://www.un.org/es/databases/
Vandenbussche, J., Aghion, P. & Meghir, C. (2006). Growth, distance to frontier and composition of human capital. Journal of economic growth, 11(2), 97-127. https://doi.org/10.1007/s10887-006-9002-y
Wang, Q. (2015). Fixed-effect panel threshold model using Stata. The Stata Journal, 15(1),121-134. https://doi.org/10.1177/1536867X1501500108
Zidan, M. (2019). Understanding the Sources of Growth Heterogeneity [Doctoral dissertation, Department of Economics, University of Wisconsin-Madison]. ProQuest Dissertations Publishing.
Publicado
Cómo citar
Número
Sección
Licencia
Derechos de autor 2021 Pablo Daniel Monterubbianesi, Mara Leticia Rojas, Carlos Darío Dabús

Esta obra está bajo una licencia internacional Creative Commons Atribución-NoComercial-CompartirIgual 4.0.
Este sitio web, por Universidad de Antioquia, está licenciado bajo una Creative Commons Attribution License.
Los autores que publiquen en esta revista aceptan que conservan los derechos de autor y ceden a la revista el derecho de la primera publicación, con el trabajo registrado con una Licencia de Atribución-NoComercial-CompartirIgual de Creative Commons, que permite a terceros utilizar lo publicado siempre que mencionen su autoría y a la publicación original en esta revista.
Los autores pueden realizar acuerdos contractuales independientes y adicionales para la distribución no exclusiva de la versión del trabajo publicada en la revista (por ejemplo, incluirla en un repositorio institucional o publicarla en un libro) siempre que sea con fines no comerciales y se reconozca de manera clara y explícita que el artículo ha sido originalmente publicado en esta revista.
Se permite y recomienda a los autores publicar sus artículos en Internet (por ejemplo, en páginas institucionales o personales), ya que puede conducir a intercambios provechosos y a una mayor difusión y citación de los trabajos publicados.





