Artículo especial
Emission filter design to detect poultry skin tumors using fluorescence hyperspectral imaging¤
Diseño del filtro de emisión para detectar tumores cutáneos en canales de aves usando imagenes de fluorescencia hiperespectral
Desenho de um filtro de emissão para detectar tumores cutâneos em carcaças de aves usando imagens de fluorescência hiperespectral
Taemin Kim ¹*, Computer Scientist, Ph.D; Byoung-Kwan Cho ², Agricultural Engineer, Ph.D; Moon S. Kim ³. Natural Resource Scientist, Ph.D.
¹ Intelligent Robotics Group, NASA Ames Research Center, MS 269-3, Moffett Field, CA 94035, USA. Department of Electrical Engineering and Computer Science, Korea Advanced Institute of Science and Technology, 335 Gwahak-ro, Yuseong-gu, Daejeon 305-701, Republic of Korea. e-mail: tmkim@kaist.ac.kr ² Department of Bioindustrial Machinery Engineering, College of Agricultural and Life Science, Chungnam National University, 220 Gung-Dong, Yusung-Gu, Daejeon 305-764, Republic of Korea ³ Food Safety Laboratory, U.S. Department of Agriculture, Agricultural Research Service, 10300 Baltimore Avenue, Beltsville, MD 20705, USA
(Recibido: 26 enero, 2010; aceptado: 23 febrero, 2010)
Summary
This paper presents an optimal emission filter of the fluorescence imaging system to detect skin tumors on poultry carcasses. The secure production of disease-free meat is crucial in the mass production environment. The fluorescence spectra have been gaining the practical use in many areas because the fluorescence response is very sensitive in detecting trace elements. The spectral features of the specimen are embedded across broad spectral bands and have been analyzed in various methods. We apply the linear discriminant analysis to determine the emission filter of fluorescence imaging system. It provides the optimal attenuation of emission wavelengths in terms of discriminant power. The attenuation values prioritize wavelengths to select significant spectral bands. With the optimal filter, skin tumor parts of chicken carcasses are enhanced saliently in resultant fluorescence images.
Key words: emission filter, hyperspectral imaging model, image enhancement, linear discriminant analysis, poultry skin tumors, spectrofluorimetry.
¤ Para citar este artículo: Kim T, Byoung-Kwan C, Kim M. Detection of poultry skin tumors based on fluorescence hyperspectral Imaging. Rev Colomb Cienc Pecu 2010; 23:9-16
* Autor para correspondencia: Taemin Kim. NASA Ames Research Center, MS 269-3, Moffett Field, CA 94035 . Correo electrónico: taemin.kim@nasa.gov
Resumen
La producción de carne libre de enfermedades es crucial en producción pecuaria intensiva. Los espectros de fluorescencia se han estado usando en forma práctica en muchas áreas, ya que la respuesta de fluorescencia es muy sensible para detectar elementos traza. Este artículo presenta un óptimo filtro de emisión para el sistema de imágenes de fluorescencia utilizado para detectar tumores cutáneos en canales de pollo. Las características espectrales de la muestra --insertas en bandas espectrales amplias- se han analizado por varias metodologías. En este artículo aplicamos el análisis lineal discriminante para determinar el filtro de emisión del sistema de imágenes por fluorescencia, mediante el cual se obtiene la atenuación optima de las ondas de emisión en términos de poder discriminante. Los valores de atenuación priorizan las longitudes de onda para seleccionar las bandas espectrales más significativas. Gracias a la utilización de este filtro optimizado, los tumores cutáneos existentes en la canal de pollo son magnificados, de modo que se alcanzan a diferenciar perfectamente en las imágenes de fluorescencia resultantes.
Palabras clave: análisis discriminante lineal, espectrofluorimetría, filtro de emisión, mejoramiento de imagen, modelo de imagen hiperespectral, tumor cutáneo en aves.
Resumo
A produção de carne livre de doenças é crucial em produção pecuária intensiva. Os espectros de fluorescência temse estado utilizando em forma prática em muitas áreas, já que a resposta da fluorescência é muito sensível para detectar elementos traça. Este artículo apresenta um óptimo filtro de emissão para o sistema de imagens de fluorescência utilizado para detectar tumores cutâneos em carcaças de frangos. As características espectrais da amostra, insertas em bandas espectrais amplas são utilizadas por varias metodologias. Neste artículo aplicamos a análises linear discriminante para determinar o filtro de emissão do sistema de imagens por fluorescência, mediante o qual obtém-se a atenuação óptima das ondas de emissão em termos de poder discriminante. Os valores de atenuação dão prioridade às longitudes de onda para seleccionar as bandas espectrais mais significativas. Graças à utilização do filtro optimizado, os tumores cutâneos existentes na carcaça de frango são magnificados, de fato que são diferenciados perfeitamente nas imagens de fluorescência resultantes.
Palavras chave: análises discriminante lineal, espectrofluorimetria, filtro de emissão, melhoramento de imagem, modelo de imagem hiperespectral, tumor cutâneo.
Introduction
Automatic inspection systems of live and slaughtered poultry have been requested for food safety as poultry production and consumption increased (Bilgili, 2001; United States Department of Agriculture, 2006). Market forces are encouraging the use of more sophisticated technology for food safety along with an expanded array of food safety practices (Park et al., 2003; Gowen et al., 2007). The use of computer vision, hyperspectral imaging, and optical systems for poultry inspection are prevailing to discriminate wholesome from unwholesome chicken carcasses (Park et al., 2002; Lawrence et al., 2003). In particular, the hyperspectral imaging technique provides powerful process analytical tools for non-destructive food analysis even though this technique is originated from remote sensing (Gowen et al., 2007; Kim et al., 2004). A laboratory−based hyperspectral imaging system which employs a pushbroom method was developed (Kim et al., 2001). Recently, a hyperspectral imaging model and an applied linear discriminant analysis were developed to determine system parameters of hyperspectral inspection system for poultry feces on chicken carcasses (Kim et al., 2008).
Hyperspectral fluorescence imaging offers an instant, noninvasive inspection method for detecting skin tumors (Chao and Chen, 2002; Zhang et al., 1999). Poultry skin tumors are ulcerous lesions that are surrounded by a rim of thickened skin and dermis. Tumorous carcasses often demonstrate swollen or enlarged tissue caused by the uncontrolled growth of new tissue. Tumor is not as visually obvious since its spatial signature appears as shape distortion rather than discoloration.
The objective of this study is to propose a mathematical model of hyperspectral fluorescence imaging system, design its optimal emission fi lter, and synthesize the hyperspectral images into a single-spectral image for poultry skin tumors.
Material and methods
Chickens carcasses
Hyperspectral images of chicken carcasses collected in Du and Kong (2007) were used to design an emission filter and summarized here shortly. Twelve chicken carcasses were collected from a poultry processing plant (Allen Family Foods, Inc., Cordova, MD) in March and May 2002. A Food Safety and Inspection Service veterinarian at the plant identifies the condition of the poultry carcasses.
Hyperspectral fl uorescence images
A laboratory-based line-by-line hyperspectral imaging system capable of reflectance and fluorescence imaging for uses in food safety and quality research was develop by Instrumentation and Sensing Laboratory (ISL) at Beltsville Agricultural Research Center (Beltsville, MD) (Zhang et al., 1999; Kong et al., 2004). The system employs a pushbroom method in which a line of spatial information with a full spectral range per spatial pixel was captured sequentially to cover a volume of spatial and spectral data. The ISL hyperspectral imaging system was equipped with a charge coupled device (CCD) camera, a spectrograph, a sample transport mechanism, and two lighting sources for refl ectance and fluorescence sensing (Figure 1)(Du and Kong, 2007).
Two fluorescent lamp assemblies were installed to provide a near uniform UV-A (365 nm) excitation to the sample area for fl uorescence measurements. A short-pass filter placed in front of the lamp housing were installed to prevent transmittance of radiations greater than approximately 400 nm, and thus eliminate the potential spectral contamination by pseudo-fluorescence. The system acquires the data via line-by-line scans while transporting sample materials via a precision positioning table.
A hyperspectral image of chicken carcasses consists of 460*400 pixels with 65 spectral bands. The spectral band had discrete wavelengths from 425.4 nm to 710.7 nm. The representative emission plot of poultry skin and tumor are shown in Figure 2.
Hyperspectral imaging techniques have been utilized in many scientific disciplines, from microscopic studies to airborne remote−sensing applications. Hyperspectral data are three− dimensional data containing two−dimensional information measured at a sequence of individual wavelengths across a sufficiently broad spectral range. The optimal emission fi lter is designed for poultry skin tumors through linear discriminant analysis (LDA). A mathematical model for a hyperspectral imaging system is proposed and its emission fi lter is optimally determined by LDA. A fast numerical scheme is presented for numerical implementation. Spectrofl uorimetric data of organic materials and feces of chicken carcasses were analyzed by LDA.
The multi-spectral imaging system for spectrofl uorimetry of poultry skin tumors consists of a light source, emission fi lter, and camera as shown i n Figure 3 (Reichman, 2000). The light source is assumed to be fi xed and the camera has the uniform sensitivity for all wavelengths. Spectral signature reveals the characteristics of the different types of tissues. Figure 2 shows the relative fluorescence intensity of hyperspectral image data at each spectral band for normal tissues and tumors (Kim et al., 2004). Suppose that a specimen shows its own hyperspectral response r(v) with random noise n(v). Its spectrofl uorimetric response is:
s(v) = r (v)+n(v)
The noise characteristic of hyperspectral response was investigated. The noise n(v) is assumed to be a Gaussian random noise:
n(v) ~ N (0,σ2 (v)),
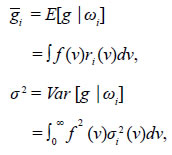
where σ2(v) is variance at v. The intensity g through a filter f(v) is:

where gs = ∫f(v)r(v)dv and gn = ∫f(v)n(v)dv be a signal and a noise of intensity, respectively. The sample mean and variance of intensity are obtained by:

For multiple specimens the sample mean and variance of the intensity of the ith specimen are

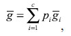
where ωi denotes the ith specimen, ri and σi 2 are mean and variance of spectrofl uorimetric response of ωi. The total mean of intensity is:

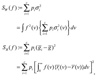
where pi is prior probability of the ith specimen. The within and between variances are obtained by (Duda and Stork, 2001):

The emission filter should be chosen to maximize the discriminant power of specimens. The discriminability in LDA is defined by

The discriminability varies with form of f but not scalar product. Their function space is restricted to positive unit functions:

where B(R+) is a collection of all positive unit functions. The optimal emission fi lters is obtained numerically.
Results
MATLAB software was used to calculate discriminability from spectral data of seven specimens and to obtain the optimal emission fi lter. Continuous f were discretized by the same resolution, initialized with constant functions, and obtained by solving a generalized eigenvalue problem. The relative attenuation of optimal emission filter is shown in Figure 4. The proposed method provides continuous forms, while previous research presented selective bandwidths. A bandpass filter with 425-475 nm bandwidth was most appropriate.
The optimal emission filter of a multispectral was synthesized from all bands of hyperspectral imaging system for poultry skin tumor is consistent fluorescent images (Figure 5). The filtered image with what experts provided in previous research. has much better contrast than all hyperspectral With this emission filter, the fluorescent image images and enhances the part of skin tumors.
Discussion
The resultant spectra can be used, in principle, to characterize and identify any given material, but the hyperspectral imaging system will be downsized by reducing the spectra. The design of optical fi lters is crucial to build a hyperspectral imaging system. Many researchers focus on selecting significant bands for their purposes (Cho and Kim, 2007). Principal component analysis technique was employed to fi nds an effective representation of spectral signature in a reduced dimensional feature space and a support vector machine to makes a decision whether each pixel falls in normal or tumor categories (Fletcher and Kong, 2003). A method for detecting skin tumors on chicken carcasses using hyperspectral fluorescence imaging data was proposed (Kim et al., 2004). A spectral band selection method for feature dimensionality reduction in hyperspectral image analyses was presented for detecting skin tumors on poultry carcasses (Du and Kong, 2007). However, the proposed method estimates the weight of each band according to its discriminability and provides a systematic way to design the emission filter.
The optimal emission filter was designed for poultry skin tumor using linear discriminant analysis. A mathematical model for hyperspectral imaging system was proposed and its system parameter, i.e., emission filter was optimally determined by linear discriminant analysis. The optimal emission filter was obtained by solving a generalized eigenvalue problem from its positive nature. The optimal emission filter was validated to enhance the original hyperspectral images in an effective way. Physical implementation is also important because of limitation in the emission filter.
The proposed method can be use to select significant wavelengths and provides a continuous priority of selected bands. The relative attenuation of the wavelength can be interpreted as its relative significance so that the selection priority is determined by sorting the relative attenuation. Larger number of selected bands always contains the small number of bands while selected bands changes depending on their number in Du and Kong (2007).
Lighting sources are also important design parameters to improve the discriminability of the fluorescence imaging system. Experts and experienced researchers often determine light sources by intuition. For example, in many cases fluorescent lamps of UV-A (365 nm) are used to provide excitation to the sample for fluorescence measurements. The discriminability of the classes can be derived by the excitation fi lter and maximized in a similar way that develop ed in 2.3.
The study suggests that a systematic method to determine the optical filters of fluorescence hyperspectral imaging systems to maximize the discriminability of poultry skin and tumor. The resultant image through the optical filter has the larger contrast than any other single band images. The proposed method is applicable for other agricultural products which are distinguishable by their spectral properties.
References
Bilgili, SF. Poultry meat inspection and grading. Poultry Meat Processing 2001; 47-71.
Chao K, Mehl PM, Chen YR. Use of hyper-and multispectral imaging for detection of chicken skin tumors. Applied Engineering in Agriculture 2002; 18:113-120.
Chen YR, Hruschka WR, Early H. A chicken carcass inspection system using Visible/near-infrared reflectance: In-plant trials. Journal of Food Process Engineering 2000; 23:89-100.
Cho B, Kim MS. Study on optimal fluorescence excitation and emission bands for poultry surface inspection. Journal of the Korean Society for Agricultural Machinery 2007; 12:438-441.
Duda RO, Hart PE, Stork DG. Pattern classifi cation. Wiley Interscience 2001; 2da edn.
Du Z, Jeong MK, Kong SG. Band selection of hyperspectral images for automatic detection of poultry skin tumors. IEEE Transactions on Automation Science and Engineering 2007; 4:332-339.
Fletcher JT, Kong SG. Principal component analysis for poultry tumor inspection using hyperspectral fluorescence imaging. in International Joint Conference on Neural Networks 2003.
Gowen AA, O’Donnell CP, Cullen PJ, et al. Hyperspectral imaging-an emerging process analytical tool for food quality and safety control. Trends in Food Science & Technology 2007; 18:590-598.
Kim I, Kim MS, Chen YR, et al. Detection of skin tumors on chicken carcasses using hyperspectral fluorescence imaging. Transactions of the American Society of Agricultural Engineers 2004; 47:1785-1792.
Kim MS, Chen YR, Mehl PM, et al. Hyperspectral reflectance and fluorescence imaging system for food quality and safety. Transactions of the American Society of Agricultural Engineers 2001; 44: 721-729.
Kim MS, Lefcourt AM, Chen YR. Optimal fluorescence excitation and emission bands for detection of fecal contamination. Journal of Food Protection&# 2003; 174: 66: 1198-1207.
Kim T, Cho BK, Kim MS, et al. Optimal optical filters of fluorescence excitation and emission for poultry fecal discrimination. in ASABE Annual International Meeting 2008.
Kong SG, Chen YR, Kim I, et al. Analysis of hyperspectral fluorescence images for poultry skin tumor inspection. Applied optics 2004; 43: 824-833.
Lawrence KC, Windham WR, Park B, et al. A hyperspectral imaging system for identification of faecal and ingesta contamination on poultry carcasses. Journal of Near Infrared Spectroscopy 2003; 11: 269-282.
Park B, Lawrence KC, Windham WR, et al. Hyperspectral imaging for detecting fecal and ingesta contamination on poultry carcasses. Transactions of the American Society of Agricultural Engineers 2002; 45: 2017-2026
Park B, Lawrence KC, Windham WR, et al. Assessment of hyperspectral imaging system for poultry safety inspection. in SPIE 2003.
Park B, Lawrence KC, Windham WR, et al. Detection of cecal contaminants in visceral cavity of broiler carcasses using hyperspectral imaging. Applied Engineering in Agriculture 2005; 21:627-635.
Reichman J. Handbook of optical fi lters for fluorescence microscopy. Chroma Technology Corporation: 2000. United States Department of Agriculture. Review of the pathogen reduction; hazard analysis and critical control point systems final rule pursuant to section 610 of the regulatory flexibility act. Washington, D.C. 2006.
Windham WR, Lawrence KC, Park B, et al. Visible/nir spectroscopy for characterizing fecal contamination of chicken carcasses. Transactions of the American Society of Agricultural Engineers 2003; 46:747-751.
Zhang J, Chang CI, Miller SJ, et al. Optical biopsy of skin tumors. in Annual International Conference of the IEEE Engineering in Medicine and Biology Society 1999.