Quinoa malt and blueberry functional beverage: effect of malting and consumer sensory evaluation
DOI:
https://doi.org/10.17533/udea.vitae.v32n1a355890Keywords:
Chenopodium quinoa, malt, phenolic compounds, sensory evaluation, antioxidant activity, Mixture designAbstract
Background: Consumers are looking for functional, natural products, valuing minimally processed, additive-free foods that include ancestral crops such as quinoa for their sustainability, nutritional quality and cultural connection.
Objective: to evaluate the influence of processing on the antioxidant capacity and total phenolic compounds and consumer liking of a functional beverage based on quinoa malt (Chenopodium quinoa Willd.) and blueberry (Vaccinium corymbosum) pulp.
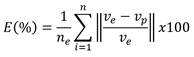
Methods: Total phenolic compounds (TPC) were determined by ultraviolet-visible spectrophotometry (UV-Vis). The antioxidant capacity was determined by the 2,2'-azino-bis(3-ethylbenzothiazoline-6-sulfonic acid (ABTS) and 2,2-diphenyl1-picrylhydrazyl (DPPH) methods were applied. Consumer liking level was determined using a five-point verbal scale on 86 untrained evaluators.
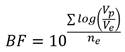
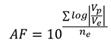
Results: The mixture design was employed with minimum-maximum constraints to obtain the optimized beverage formulation based on the blend of three types of quinoa malt [black quinoa malt (BQM), red quinoa malt (RQM), and white quinoa malt (WQM)]. The response variables were antioxidant activity using the DPPH and ABTS methods. Each of the response variables was maximized and fitted to the quadratic regression model. The optimum formula had 70% black quinoa malt (BQM), 20% red quinoa malt (RQM) and 10% white quinoa malt (WQM). Antioxidant capacity increased from stage to stage from 45.11 ± 0.26 µg TE/g in sprouted quinoa (SQ) to 767.55 ± 4.94 µg TE/g in quinoa malt-based beverage with the inclusion of blueberry pulp (QMB) using the DPPH method and from 271.64 ± 1.23 µg TE/g in SQ to 834.32 ± 2.14 µg TE/g in QMB using the ABTS method. The sensory evaluators rated QMB between "good" and "super good" according to the attributes of odor, color, taste and appearance, evaluated.
Conclusions: Quinoa malting and fruit addition significantly influenced the antioxidant capacity and total phenolic compounds. Furthermore, the sensory characteristics of the beverage were described within the range of "good" to "super good" in the evaluated attributes.
Downloads
References
Pedrali D, Giupponi L, De la Peña-Armada R, Villanueva-Suárez MJ, Mateos-Aparicio I. The quinoa variety influences the nutritional and antioxidant profile rather than the geographic factors. Food Chem [Internet]. 2023 [cited 2023 nov 2]; 402:133531. DOI: https://doi.org/10.1016/j.foodchem.2022.133531
Mohamed Ahmed IA, Al Juhaimi F, Özcan MM. Insights into the nutritional value and bioactive properties of quinoa (Chenopodium quinoa): past, present and future prospective. Int. J. of Food Sci. & Technol. 2021;56(8):3726-3741. DOI: https://doi.org/10.1111/ijfs.15011
Bhinder S, Kumari S, Singh B, Kaur A, Singh N. Impact of germination on phenolic composition, antioxidant properties, antinutritional factors, mineral content and Maillard reaction products of malted quinoa flour. Food Chem [Internet]. 2021 [cited 2023 nov 2];346:128915. DOI: https://doi.org/10.1016/j.foodchem.2020.128915
Sekhavatizadeh SS, Karimi A, Hosseinzadeh S, Shaviklo Amir R, Abedi M, Mahmoodianfard H, et al. Nutritional and sensory properties of low-fat milk dessert enriched with quinoa (Chenopodium quinoa Willd) Titicaca protein isolate. Food Sci. & Nutr. 2022;n/a(n/a):1-11. DOI: https://doi.org/10.1002/fsn3.3082
Chaudhary N, Walia S, Kumar R. Functional composition, physiological effect and agronomy of future food quinoa (Chenopodium quinoa Willd.): A review. J. of Food Compos. and Anal. 2023;118:105192. DOI: https://doi.org/10.1016/j.jfca.2023.105192
Xiu-shi Y, Pei-you Q, Hui-min G, Gui-xing R. Quinoa industry development in China. Int. J. of Agric. and Nat. Resources. 2019;46(2):208-19. DOI: http://dx.doi.org/10.7764/rcia.v46i2.2157
Zhang Y, Wang X, Guan X. Effects of adding quinoa flour on the composite wheat dough: a comprehensive analysis of the pasting, farinograph and rheological properties. Int. J. of Food Sci. & Technol. 2022;57(11):7099-106. DOI: https://doi.org/10.1111/ijfs.16049
Bendezu-Ccanto J, Contreras-López E, Lozada-Urbano M. Development and characterization of an optimized novel drink from three varieties of sprouted quinoa. Afr. J. of Food, Agric., Nutr. & Development. 2023;23(7). DOI: https://doi.org/10.18697/ajfand.122.22435
Carciochi RA, Dimitrov K, Galván D´Alessandro L. Effect of malting conditions on phenolic content, Maillard reaction products formation, and antioxidant activity of quinoa seeds. J. of Food Sci. and Technol. 2016;53(11):3978-85. DOI: https://dx.doi.org/ 10.1007/s13197-016-2393-7
Garzón AG, Drago SR. Aptitude of sorghum (Sorghum bicolor (L) Moench) hybrids for brewery or bio-functional malted beverages. J. of Food Biochem.. 2018;42(6):e12692. DOI: https://doi.org/10.1111/jfbc.12692
Song L, Song L, Su H, Ma F, Zhang B. Superfine grinding affects particle size, chemical ingredients, and physicochemical properties of sprouting quinoa. Cereal Chem. 2022;99(3):520-9. DOI: https://doi.org/10.1002/cche.10515
Chandrasekara A, Senanayake I, Kumari D, Shahidi F. Effect of processing on the antioxidant activities of porridges and Pittu prepared from finger millets (Eleusine coracana). Food Prod., Process. and Nutr. 2022;4(1):18. DOI: https://doi.org/10.1186/s43014-022-00097-x
Deželak M, Zarnkow M, Becker T, Košir IJ. Processing of bottom-fermented gluten-free beer-like beverages based on buckwheat and quinoa malt with chemical and sensory characterization. J. of the Inst. of Brew. 2014;120(4):360-70. DOI: https://doi.org/10.1002/jib.166
Chawanda ET, Manhokwe S, Jombo TZ, Mugadza DT, Njini M, Manjeru P. Optimisation of Malting Parameters for Quinoa and Barley: Application of Response Surface Methodology. J. of Food Qual. 2022;2022:5279177. DOI: https://doi.org/10.1155/2022/5279177
Paucar-Menacho LM, Martínez-Villaluenga C, Dueñas M, Frias J, Peñas E. Response surface optimisation of germination conditions to improve the accumulation of bioactive compounds and the antioxidant activity in quinoa. Int. J. of Food Sci. & Technol. 2018;53(2):516-24. DOI: https://doi.org/10.1111/ijfs.13623
Bedoya-Cataño JF, Ramón-Palacio C, Gil-Garzón MA, Ramírez-Sánchez C. Extracción de antioxidantes de los arándanos (Vaccinium corymbosum): efecto de solventes verdes sobre polifenoles totales, capacidad antioxidante y comportamiento electroquímico. TecnoLógicas. 2022;25(53). DOI: https://doi.org/10.22430/22565337.2277
Borowiec K, Stachniuk A, Szwajgier D, Trzpil A. Polyphenols composition and the biological effects of six selected small dark fruits. Food Chemistry. 2022;391:133281.
Kaur I, Tanwar B. Quinoa beverages: Formulation, processing and potential health benefits. Romanian J. of Diabetes Nutr. and Metabolic Diseases. 2016;23(2):215-25. DOI: https://doi.org/10.1016/j.foodchem.2022.133281
Mayer H, Marconi O, Regnicoli GF, Perretti G, Fantozzi P. Production of a Saccharifying Rice Malt for Brewing Using Different Rice Varieties and Malting Parameters. Journal of Agricultural and Food Chem. 2014;62(23):5369-77. DOI: https://doi.org/10.1021/jf501462a
Brand-Williams W, Cuvelier M-E, Berset C. Use of a free radical method to evaluate antioxidant activity. LWT-Food sci. and Technol. 1995;28(1):25-30. DOI: https://doi.org/10.1016/S0023-6438(95)80008-5
Re R, Pellegrini N, Proteggente A, Pannala A, Yang M, Rice-Evans C. Antioxidant activity applying an improved ABTS radical cation decolorization assay. Free Radic Biol Med. 1999;26(9-10):1231-7. DOI: https://doi.org/10.1016/S0891-5849(98)00315-3
Singleton VL, Rossi JA. Colorimetry of total phenolics with phosphomolybdic-phosphotungstic acid reagents. Am. J. of Enology and Viticulture. 1965;16(3):144-58. DOI: https://doi.org/10.5344/ajev.1965.16.3.144
Meilgaard M, Civille G, Carr B. Sensory evaluation techniques, Fifth edition, Boca Raton: CRC Press; 2016. 588p.
Cornell JA. A primer on experiments with mixtures [Internet]. Wiley Series in Probability and Statistics, New Jersey: John Wiley & Sons; 2011 [cited 2023 Oct 12]. 361p. DOI: https://doi.org/10.1002/9780470907443
Baugreet S, Kerry JP, Allen P, Hamill RM. Optimisation of protein-fortified beef patties targeted to the needs of older adults: a mixture design approach. Meat Sci. 2017;134:111-8. DOI: https://doi.org/10.1016/j.meatsci.2017.07.023
Pellegrini M, Lucas-Gonzales R, Ricci A, Fontecha J, Fernández-López J, Pérez-Álvarez JA, et al. Chemical, fatty acid, polyphenolic profile, techno-functional and antioxidant properties of flours obtained from quinoa (Chenopodium quinoa Willd) seeds. Industrial Crops and Products. 2018;111:38-46. DOI: https://doi.org/10.1016/j.indcrop.2017.10.006
Guevara-Terán M, Padilla-Arias K, Beltrán-Novoa A, González-Paramás AM, Giampieri F, Battino M, et al. Influence of Altitudes and Development Stages on the Chemical Composition, Antioxidant, and Antimicrobial Capacity of the Wild Andean Blueberry (Vaccinium floribundum Kunth). Molecules. 2022;27(21):7525. DOI: https://doi.org/10.3390/molecules27217525
Casati CB, Baeza R, Sánchez V. Physicochemical properties and bioactive compounds content in encapsulated freeze-dried powders obtained from blueberry, elderberry, blackcurrant and maqui berry. J. of Berry Res. 2019;9:431-47. DOI: https://doi.org/10.3233/JBR-190409
Rojas-Ocampo E, Torrejón-Valqui L, Muñóz-Astecker LD, Medina-Mendoza M, Mori-Mestanza D, Castro-Alayo EM. Antioxidant capacity, total phenolic content and phenolic compounds of pulp and bagasse of four Peruvian berries. Heliyon. 2021;7(8):e07787. DOI: https://doi.org/10.1016/j.heliyon.2021.e07787
Busso Casati C, Baeza R, Sánchez V. Comparison of the kinetics of monomeric anthocyanins loss and colour changes in thermally treated Blackcurrant, Maqui Berry and Blueberry pulps from Argentina. J. of Berry Res. 2017;7:85-96. DOI: https://doi.org/10.3233/JBR-170151
Rudnykh SI, Ríos VIL. Elección de la función de deseabilidad para diseños óptimos bajo restricciones. Revista EIA. 2018;15(30):13-24. DOI: https://doi.org/10.24050/reia.v15i30.903
Rößle C, Ktenioudaki A, Gallagher E. Inulin and oligofructose as fat and sugar substitutes in quick breads (scones): a mixture design approach. Eur. Food Res. and Technol. 2011;233(1):167-81. DOI: https://doi.org/10.1007/s00217-011-1514-9
Mahdi SA, Astawan M, Wulandari N, Muhandri T, Wresdiyati T, Febrinda AE. Formula Optimization and Physicochemical Characterization of Tempe Drink Powder. Curr. Res. in Nutr. and Food Sci. J. 2022;10(3):1178-95. DOI: https://dx.doi.org/10.12944/CRNFSJ.10.3.31
Ribeiro LdO, Santos JGCd, Gomes FdS, Cabral LMC, Sá DdGCF, Matta VMd, et al. Sensory evaluation and antioxidant capacity as quality parameters in the development of a banana, strawberry and juçara smoothie. Food Sci. and Technol. 2017;38:653-60. DOI: https://doi.org/10.1590/1678-457X.12017
Lan Y, Zhang W, Liu F, Wang L, Yang X, Ma S, et al. Recent advances in physiochemical changes, nutritional value, bioactivities, and food applications of germinated quinoa: A comprehensive review. Food Chem. 2023;426:136390. DOI: https://doi.org/10.1016/j.foodchem.2023.136390
Ozkan G, Ercisli S, Zeb A, Agar G, Sagbas HI, Ilhan G. Some Morphological and Biochemical Characteristics of Wild Grown Caucasian Whortleberry (Vaccinium arctostaphylos L.) Genotypes from Northeastern Turkey. Notulae Botanicae Horti Agrobotanici Cluj-Napoca. 2018;47(2):378-83. DOI: https://doi.org/10.15835/nbha47111288
Maruyama S, Streletskaya NA, Lim J. Clean label: Why this ingredient but not that one? Food Qual. and Preference. 2021;87:104062. DOI: https://doi.org/10.1016/j.foodqual.2020.104062
Downloads
Published
How to Cite
Issue
Section
License
Copyright (c) 2025 Eliana Gabriela Contreras López, Tatiana Rojas-Ayerve, Elizabeth Fuentes-Campos, Erika Lizet Chaiña Mamani, Alessandra Arosena-Chao, Ana María Muñoz Jauregui

This work is licensed under a Creative Commons Attribution-NonCommercial-ShareAlike 4.0 International License.
Copyright Notice and Open Access Statement
The Journal Vitae works under the Open Access license, and the published manuscripts remain available for the public, both on the Journal's website and in databases, under the Creative Commons license, "Noncommercial Attribution" and "Share alike" systems, adopted in Colombia. Hence, when the authors agree to publish in the Journal Vitae, they will not have the right to economic retributions on publications and reproductions through different diffusion media. The documents are freely available to the internet public, permitting users to read, download, copy, distribute, print, search, or link to the full texts and pass them as data to software. The only constraint on reproduction and distribution, should be to give authors control over the integrity of their work and the right to be appropriately acknowledged and cited.
Authors declare that:
-
They are the intellectual property owners and are responsible for all the information stated in the article.
-
This manuscript has not been submitted or published in other printed or digital media. They accept the responsibility for the judgments, opinions, and points of view expressed in the published article and, therefore, they exonerate Universidad de Antioquia and Journal Vitae from any process.
-
They exempt Universidad de Antioquia and Journal Vitae from settling conflicts or disputes related to the authorship of the referred article.
-
They accept the revision of the original manuscript by suitable personnel, and they bind themselves to perform the corrections appointed or suggested by the assessors.
-
Therefore, they know the editorial process and will not bind the Editorial Board of the Journal to assume any obligations regarding the volume and issue in which the article is published.
-
They transfer the rights of publication, reprinting, and distribution of the article from the moment of its approval, in print and digital format, without the right to economic rewards, and under the licensing conditions considered relevant by Journal Vitae.
-
They fully authorize Universidad de Antioquia and Journal Vitae to submit the published material to the diverse databases and indexing systems where the Journal can be found to comply with the requirements of the regulatory authorities to maintain the national classification of journals.
-
They will assume the article publication costs established for the current issue, and they will make the payment as soon as they are informed about the volume and the issue in which the final version of the article is published.
-
After the article is published, you can share digital or printed copies in a noncommercial manner. You will be able to use the paper in your institution or company for educational or research purposes, including the use in course programs.
Conflict of interest: Authors are responsible for recognizing and disclosing any financial or other benefits that could be perceived to bias their work, acknowledging all financial support and any personal connections with potential sponsors. Examples of such conflicts include receiving research funds or honoraria, serving on advisory boards, stock ownership, or employment and consulting arrangements. Authors without such connections should clearly state that they have no financial support or personal relationships that could be perceived to bias their work. All conflicts of interest should be disclosed on the author's identification page of the manuscript.
(1)
(2)
(3)
(4)
(5)
(6)
(7)

